要約
多数の要因がランダムタイミングジッタに影響を及ぼします。その中には、スルーレートおよび帯域幅はもちろん、位相ノイズ、広帯域ノイズ、およびスプリアスなどのノイズ源も含まれます。この記事ではこれらの原因を探究し、さらにノイズをタイミングジッタに変換するための式を提示します。
はじめに
タイミングジッタとノイズは、その重要性についての認識レベルが極めて低い設計概念ですが、アナログおよびディジタルの設計において最も重要なパラメータの一部です。特に高速通信システムにおいて当てはまることですが、ジッタ性能が悪いと、ビットエラー率が悪化し、システムの速度が制限される可能性があります。タイミングジッタは一般に、ある瞬間のディジタル信号がその理想的な時間的位置から短期的に変動する量と定義されています。ランダムタイミングジッタを生み出す要因は数多くあり、その中には広帯域ノイズ、位相ノイズ、スプリアス、スルーレート、および帯域幅が含まれています。位相ノイズと広帯域ノイズがどちらもランダムであるのに対して、スプリアスは、クロストークや電源カップリングなどの、特定可能なさまざまな干渉信号によって引き起こされる確定的な応答です。この記事で後述するように、スルーレートと帯域幅もジッタに影響します。図1は、3つのノイズ源を含んだ理想的ではない正弦波を示しています。図2は、時間の経過につれてジッタが累積していくディジタル信号を示しています。
この記事の目的は、タイミングジッタとこれら3つのノイズ源の間の直接的な関係を説明し、また実証することです。
タイミングジッタの要因となる広帯域ノイズ
正弦波におけるジッタ
すべての電子部品、特にアンプとロジックデバイスは、広帯域ノイズを発生します。広帯域ノイズはノイズフロアとも呼ばれ、ショットノイズと熱雑音とが結合したものです。一般にダイオードやトランジスタに見られるショットノイズは、半導体接合部の内部にある電位障壁を電荷がランダムにホッピングすることによって生じます。これに対して熱雑音は、電流の流れには影響されません。熱雑音は、たとえばMOSFETのゲートやチャネル抵抗の内部で、キャリアのランダムな熱運動によって生じます。熱雑音の電力は、抵抗と温度に正比例します。
タイミングジッタに対する広帯域ノイズの影響は、現代の部品の動作帯域幅が数十GHzの範囲に突入するにつれて大きくなっています。たとえば、40GHzの帯域幅、10dBのノイズ指数、20dBの小信号利得、および0dBmの出力電力を備えた広帯域アンプドライバは、-38dBmのノイズ出力(-174dBm + 10dB + 20dB + 10log10(40GHz))を生成します。これは38dBの信号対ノイズ比(SNR)になります。このSNRレベルでは、広帯域ノイズはタイミングジッタの大きな要因となります。2乗平均平方根(RMS)の全ノイズ電圧は、帯域幅にわたるノイズフロアの積分値になります。図3は、RMSノイズがタイミングジッタに変換される様子を示しています。
数学的に、次の式を用いて広帯域ホワイトノイズを含んだ正弦波を表すことができます。

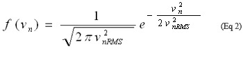
ここで、Aは振幅、ωは角周波数、およびvn(t)は時間tにおけるノイズ電圧です。ランダムノイズvn(t)はガウス(正規)分布です。ノイズ電圧 (vn)の確率分布ƒ(vn)は次のとおりです。

ここで、 (vnRMS)はRMSのノイズ電圧です。ノイズ電圧がどのようにタイミングジッタに変換されるかを理解するため、ヒストグラム機能の付いたサンプリングオシロスコープなどのジッタ測定器の入力にy(t)を加えるものとします。y(t)が0Vのスレッショルドを超えるたびに、データポイントがヒストグラムに追加されます。図3で示したとおり、時間Δtにおいて、ノイズを含んだ信号Δyがスレッショルドに到達する可能性があるため、予想されるサンプリングポイントよりもΔtだけ早い時刻または遅い時刻にてジッタがヒストグラムに追加されます。タイミングジッタΔtの関数として表す確率密度は、式2のvn = Δy = Asin(2πƒΔt)を設定することによって計算されます。この結果は、ヒストグラムに示されているようにジッタの分布関数となります。
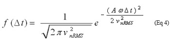
式3は、正弦波の周期と比較してΔtが小さいと仮定することによって簡素化することができます。したがって、Asin(2πƒΔt ≅ A(2πƒΔt = AωΔtとなります。

したがって式3は次のようになります。

式4内の各項の分子と分母をAωで除算することによって、次式が得られます。

式5は、スケール係数1/Aωを除けば、式2に示したガウス分布によく似たジッタ分布関数です。したがって、RMSジッタは、次式で求まります。

図4に示したテストのセットアップを使用して式6を検証しました。きれいな正弦波と広帯域ノイズ信号の両方を結合してサンプリングオシロスコープに入力し、このゼロクロッシングにてジッタを測定しました。意味のある結果を確保するため、入力広帯域ノイズはオシロスコープのノイズフロアより高く設定しました。図5および図6に、実験の結果を示しています。図5は、RMSノイズを一定にした状態で、周波数の関数としてジッタを表示しています。一方、図6は、周波数を一定にした状態で、RMSノイズ電圧の関数としてジッタを表示しています。測定によるジッタ曲線と計算によるジッタ曲線はよく一致しており、式6を使用して広帯域ノイズをタイミングジッタに変換可能であることが実証されます。
一般的な波形におけるジッタ
わずかな変更によって、式6は他の波形のジッタ変換にも対応することができます。定義では、式6に示したAAωの項は0VのスレッショルドにおけるスルーレートSになります。このスレッショルドにおいてスルーレートが既知であるいずれの波形を使用しても、ΔtとΔyを関連付けることができます。それはvn = Δy = SΔt (図3)であるからです。これを式2に代入すると、式7が得られます。

式7内の各項の分子と分母をSで除算することによって、次式が得られます。

式8は、スケール係数1/Sを除けば、式2に示したガウス分布によく似ています。したがって、RMSジッタは、次式で求まります。

図4に示したテストのセットアップを再度使用して式9を検証しました。正弦波は可変スルーレートの方形波に置き換えています。ジッタは、方形波の立上りエッジの50%ポイントにおいて測定しました。図7に示した結果は、式9の正当性を示しています。
図7を見ると、興味深いことがわかります。スルーレートが速い波形の方が、ジッタが少ないということです。ただし、スルーレートが速くなると、動作帯域幅を高くすることが必要となるため、システムのRMSノイズが増加します。RMSノイズは帯域幅に正比例しているため、システム設計者は慎重にスルーレートと帯域幅を選択してジッタを最小限に抑える必要があります。
タイミングジッタの要因となる位相ノイズ
位相ノイズはあらゆるアクティブ部品と抵抗部品に存在しますが、発振器において最も深刻です。これらの発振器としては、クロックリカバリアプリケーションにおける自走水晶発振器や位相ロック発振器があります。位相ノイズは、スペクトルの純度の特性を規定するものです。たとえば、発振器の出力は、理想的には、周波数領域内の1つの周波数に配置された1本の垂直線として表されるきれいな正弦波でなければなりません。ただし、実際には、発振器内のノイズ源によって出力周波数が理想的な位置から逸脱する可能性があり、キャリア(基本)周波数の近辺にある他の周波数の「裾」が生成されます(図8)。位相ノイズと呼ばれるこれらの周波数は、ノイズ源が発振器を変調することによって生じるものです。これらの周波数はほとんどの場合、ノイズフロアよりも高くてキャリア周波数に近いところに現れます。位相ノイズは通常、キャリアから離れたオフセット周波数におけるノイズ電力とキャリア電力の比として規定されます(帯域幅は1Hz)。ノイズ源の周波数が信号を変調して位相ノイズを生成するため、位相ノイズはスルーレートには影響されません。
ほとんどのジッタ測定機器には制限があるため、低ノイズ信号の純度の特性は、時間領域でジッタを測定するよりも、周波数領域内のその信号の位相ノイズを測定して規定するほうが往々にして容易です。たとえば、ほとんどのジッタ測定オシロスコープは、1psRMSまでのジッタしか測定できません。また、最新のリアルタイムオシロスコープには、ほとんどの場合、7GHzまでの帯域幅しかありません。一方、位相ノイズ機器は、入手可能な最良の低ノイズ発振器のノイズレベル(時間領域で1psよりはるかに小さい)を測定することが可能で、しかも最大40GHzの帯域幅を備えています。
位相ノイズとタイミングジッタとの間の変換は、以前の記事[1-2]で考察しています。位相ノイズとジッタを関連付けるための必要な式を得るため、位相ノイズを含んだ正弦波として式10を考えます。

ここで、Aは振幅、foは公称周波数、およびΦ(t)は位相ノイズです。一般にジッタは、2もしくはそれ以上の周期間の0Vクロッシングにおいて測定されます。0Vクロッシングにおいて、式10の括弧内の項は2πNになります。


ここで、t1は最初のゼロクロッシング、t2はN番目のゼロクロッシングです。この2つの式を減算することによって次式が得られます。

2つのゼロクロッシングの間の時間は、周期の数にジッタを加えたものです。

Toは周期すなわち1/foであり、ΔtはN周期後に累積されたジッタです。式14を式13に代入することによって、次式が得られます。

式15を整理して2πN項を相殺すると、次のジッタが得られます。

RMSジッタの2乗は、次のようになります。

Φ(t)は、定常プロセスのため、次のようになります。

ここで、SΦ(ƒ)はΦ(t)のスペクトル密度で、fはオフセット(フーリエ)周波数です。式17の中間項は次のようになります。

ここで、RΦ(τ)はΦ(ƒ)の自己相関関数で、 τ ≅ NToはN番目の周期の後の時間です。時刻τにおけるN番目の周期後のRMSジッタの2乗は次のようになります。

代数恒等式1 - cos(22Φƒτ = 2sin²(Φƒτ)を使用し、また位相ノイズがキャリアに接近していて対称である(すなわち-fOFFSETから0までの積分は0から+fOFFSETまでの積分に等しい)と仮定すると、式20は次のように書き直すことができます。

SΦ(ƒ)は、近接位相ノイズの位相ノイズL(ƒ)とほぼ等しくなります[3]。つまり、フーリエオフセット周波数はキャリア周波数よりもはるかに小さくなります。すなわち、fOFFSET << fO。

図9に示されているテストのセットアップの一部として位相変調回路[4]を使用し、式22を検証しました。位相変調回路は、スプリアスのない可変位相ノイズ信号を生成するのに便利な方法です。回路の出力は最初に、サンプリングオシロスコープを使用してタイミングジッタ用に測定し、次にスペクトルアナライザ(図示されていません)を使用して位相ノイズ用に測定しました。図10は回路の位相ノイズのプロファイルを示しています。これは位相ロック発振器のノイズプロファイルに似ています。この場合、位相ノイズはループ帯域内で一定となり、帯域外で減衰します。数値積分法を使用して式22を積分することによって得られた累積ジッタ(周期を基準)を図11にプロットしました。図11に示した曲線は、式22の正当性を示しています。
タイミングジッタの要因となるスプリアスノイズ
スプリアスノイズも、特に発振器においてタイミングジッタの要因となります。スプリアスは、位相ロックループのリファレンススプリアス、電源カップリング、隣接する回路からのクロストーク、およびソースによって引き起こされます。図1に示すように、これらのスプリアスは通常、キャリア周波数の近くに小さなスパイクとして現れます。式22が、スプリアスをタイミングジッタに関連付けるのに役立つ場合があります。スプリアスは特定の周波数でのみ発生するため、次のように、式22の積分関数を総和に置き換えることができます。

この場合も、τ ≅ NToはN番目の周期の後の時間です。式23はスプリアスが対称であることを仮定していないため、8倍ではなく4倍されています。キャリアの両側のスプリアスをジッタの計算に含める必要があります。L(fn)はキャリア(所望信号)を基準としたスプリアスの振幅であり、通常はdBcで与えられます。fnはn番目のスプリアスのオフセット周波数です。 図12は、100kHzのオフセットで-40dBcの振幅におけるキャリアの両側のスプリアスを使用して式23をプロットしたものです。参考資料1は、式23を検証するため、正弦波を用いて電圧制御水晶発振器を変調し、キャリアの両側にスプリアスを生成しています(図示されていません)。
総ジッタ
前述したように、広帯域ノイズ、位相ノイズ、およびスプリアスは、タイミングジッタを生じる3つの要因です。広帯域ノイズはまったくランダムで相関性はありません。したがって広帯域ノイズが生成するジッタは累積されません。一方、後者の2つは通常、累積するジッタを生成します。総タイミングジッタの2乗は、3つの2乗されたジッタの合計です。

結論
実験データと計算データの相関性は、3つの主要なノイズ源とタイミングジッタとの間の関係を実証するものです。高速システムの設計者は、式9、22、および23を使用してノイズをタイミングジッタに変換することができます。
補足:RMSノイズ電圧の計算
電子デバイスについて、1つまたは複数の従来型のノイズ仕様を知っているのであれば、いくつかの方法によって電子デバイスの総RMSノイズ電圧を求めることができます。表1は、部品製造業者が通常提供するノイズ仕様のリストです。
| Component | Noise Specification | Unit |
| Amplifier | Residual noise-floor power density | dBm/Hz |
| Noise figure | dB | |
| Input referred noise density | ||
| Oscillator | Phase noise floor | dBc/Hz |
ノイズ密度が与えられている場合、次の式で示すように、有効帯域幅についてノイズ密度を積分することによって総RMSノイズを推定することができます。

システムの負荷インピーダンスZoは一般に50Ωです。PRMSはRMSノイズ電力、BWは帯域幅、およびNOISE-FLOORはノイズフロア密度(dBm/Hz)です。たとえば、-150dBm/Hzの出力ノイズ密度と10GHzの帯域幅を備えたアンプは、以下に示すように、707µVRMSの総RMSノイズ電圧を生成します。

ノイズ指数(NF)は、低ノイズアンプとパワーアンプのノイズ性能の特性を測定する場合によく使用します。次の式に示すように、50Ω抵抗の熱雑音およびシステム利得と、ノイズ指数を合計することによって、ノイズ指数からノイズフロア密度を得ることができます。

たとえば、10dBのノイズ指数と20dBの小信号利得を備えたアンプは、次のように-144dBm/Hzのノイズフロア密度を持ちます。

ノイズ密度を知ることによって総ノイズ電圧を導出することができます。
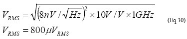
一方、オペアンプのノイズ性能は通常、入力換算ノイズの形式()で与えられます。ノイズ電流がごくわずかで、ソースインピーダンスがアンプの入力インピーダンスよりはるかに小さいと仮定すると、総RMSノイズは、次式で計算することができます。

たとえば、の入力換算ノイズ密度、20dBの小信号利得、および1GHzの帯域幅を備えたオペアンプは、以下に示すように、800µVRMSのノイズ電圧を生成します。

発振器の位相ノイズは通常、dBc/Hzで表されます。単位dBcは、所望の信号電力に対する出力ノイズの正規化を示します。次式を使用して総RMSノイズ電圧を得ることができます。

ここで、PSIGは発振器の出力電力です。たとえば、10dBmの出力電力50Ω、-150dBc/Hzの出力位相ノイズフロア、および100MHzの有効帯域幅を備えた発振器の出力ノイズ電圧は、以下に示すように、224mVRMSになります。












