高精度で整合した抵抗ネットワークにより、差動アンプ回路のCMRRを高める
多くのアプリケーションでは、図1に示すような差動アンプ回路が必須のアナログ技術として使用されています。その一例としては、計測アプリケーションが挙げられます。この種のアプリケーションでは、極めて高いレベルの測定精度が求められることが少なくありません。求められる精度を達成するには、オフセット誤差やゲイン誤差のほか、ノイズ、許容誤差、ドリフトといった代表的な誤差要因を最小化する必要があります。そのため、多くの計測アプリケーションでは、高精度のオペアンプが使用されます。また、オペアンプ回路に外付けする部品も、非常に重要な要素です。特に、抵抗には十分に注意を払う必要があります。無作為に選んだものではなく、高い精度で値が整合したものを選択して使用すべきです。

図1. 標準的な差動アンプ回路
理想的には、差動アンプ回路の抵抗は、値の比率が同じ(R2/R1 = R4/R3)になるように選択したいところです。しかし、現実にはその比率にはズレがあり、コモンモード誤差が発生することになります。差動アンプのコモンモード誤差を除去する能力は、同相ノイズ除去比(CMRR)と呼ばれています。CMRRは、入力電圧(コモンモード電圧)が同じである場合の出力電圧の変化を表します。理想的な状態が実現されていれば、出力電圧に変化は現れません。出力電圧は2つの入力電圧の差によって生じるものだからです。しかし、現実は理想どおりにはなりません。CMRRは差動アンプ回路の重要な特性であり、通常はdB単位の数値で表されます。
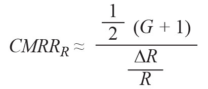
図1に示した差動アンプ回路全体のCMRRは、アンプの性能と外付け抵抗の誤差によって決まります。外付けの抵抗に依存するCMRRRは、以下の式で求められます。

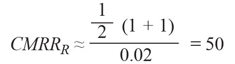
例えば、差動アンプ回路のゲインGが1で、単体での許容誤差が1%で整合誤差が2%となる抵抗を使用した場合、CMRRRは以下のようになります。

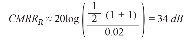
これをdB単位で表すと次式のようになります。

CMRRRが34dBというのは、望ましいことではありません。この場合、オペアンプ単体のCMRRがどれだけ優れていたとしても、差動アンプ回路として高い精度を得ることはできません。鎖の強度が、最も弱い部分の強度に支配されるのと同じことです。つまり、高い精度が求められる計測回路では、抵抗についてもかなり高精度なものを選択しなければならないということです。
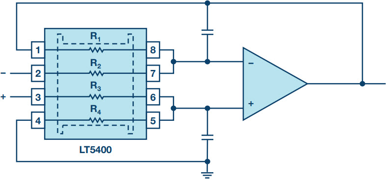
現実の抵抗の値は、不変だというわけではありません。機械的な負荷や温度の影響による変動は避けられないからです。要件によっては、許容誤差の異なる抵抗や、値の整合がとれた抵抗のペア/ネットワーク製品が使われることがあります。そうした抵抗のほとんどは、薄膜技術を使って製造され、レシオメトリックかつ優れた安定性を提供します。抵抗ネットワーク製品の例としては、アナログ・デバイセズの「LT5400」が挙げられます。これは、整合のとれた4本の抵抗を備える製品です。このような製品を使用することにより、差動アンプ回路全体のCMRRを飛躍的に改善することができます。LT5400は、特に差動アンプ回路と組み合わせて使用した場合に、全温度範囲にわたって非常に優れた整合性を発揮します(図2)。ディスクリートの抵抗を使用する場合と比べて、最大2倍のCMRR性能を達成することが可能です。

図2. LT5400を使って構成した差動アンプ回路
LT5400は0.005%の整合性を提供するので、CMRRRは86dBになります。
アンプ回路全体の性能であるCMRRTotalは、抵抗のCMRRRと、オペアンプのCMRROPの組み合わせによって決まります。差動アンプ回路のCMRRTotalは、以下の式で表されます。

例えば、オペアンプIC「LT1468」の場合、標準的には単体で112dBのCMRROPが得られます。これとLT5400を組み合わせてゲインGが1の差動アンプ回路を構成した場合、CMRRTotalの値は85.6dBになります。
他の方法として、「LTC6363」のような差動アンプICを使用することもできます。この種の製品は、オペアンプに加え、最適な整合性を実現した抵抗を集積しています。そのため、上述したほぼすべての問題が解消されています。CMRRは90dB以上にも達し、最高の精度が得ることができます。
まとめ
差動アンプ回路を構成するための外付け抵抗は、高いシステム性能を実現できるように選択する必要があります。差動アンプ回路全体に求められる精度の要件に基づいて、慎重に選ばなければなりません。
外付け抵抗を使う以外にも、有効な手段があります。それは、整合性のとれた抵抗もチップ状に集積するLTC6363のような差動アンプICを使用する方法です。