アナログ・ダイアログの2017年12月号から、アクティブ・ラーニング・モジュール「ADALM1000」について紹介しています。今回も、引き続き同モジュールを使用して、小規模かつ基本的な測定を行う方法を説明します。ADALM1000に関する以前の記事は、こちらからご覧になれます。

目的
この実験では、RLC回路で生じる共振について学びます。サイン波に対する振幅応答に基づき、回路の共振周波数と帯域幅を計測します。
背景
共振回路は、同調回路とも呼ばれます。インダクタとコンデンサに加え、電圧源または電流源で構成されます。共振回路は、電子機器で使用される重要な回路の1つだと言えます。実際、共振回路には多くの種類があり、様々な機器で使われています。常に周囲に存在する膨大な数の信号の中から、所望のラジオ局やテレビ局を選局できるのは、共振回路のおかげです。
共振回路は、その入力端子の電圧と電流が同相で、入力インピーダンスが抵抗成分のみである場合に共振状態になります。

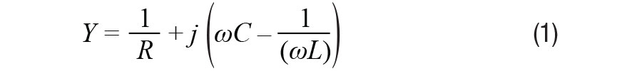
ここでは、図2の並列RLC回路を例にとります。この回路によって与えられる定常状態のアドミタンスは、次式のようになります。

上述したように、共振は、入力端子の電圧と電流が同相のときに発生します。この状況は、アドミタンスが実数である場合に生じます。そのため、必要条件は次式で与えられます。

L、C、またはωを調整することによって、共振の条件が成立します。LとCを一定にすると、共振周波数ωoは以下のようになります。

あるいは、以下のように表現することもできます。

他の種類の回路と同様に、共振回路についても、その出力電圧の振幅を周波数の関数としてプロットすると、周波数応答が得られます。この応答(振幅)はゼロから始まり、共振周波数の付近で最大値に達し、ωが無限大まで増大させていくに従いゼロまで低下します。図3に示したのが周波数応答の例です。

- 図3には、ω0の他にω1とω2も示されています。これらはハーフパワー周波数と呼ばれています。これらの周波数は、電圧が最大値の1/√2倍(0.707倍)になる点に位置しています。ハーフパワー周波数は、応答曲線の帯域幅を測定するために使用されます。共振回路のハーフパワー帯域幅は、次式のように定義されます。


準備するもの
- ADALM1000
- 抵抗:100Ω、1kΩ
- コンデンサ:1μF、0.01μF
- インダクタ:20mH
手順
- ソルダーレス・ブレッドボード上で、図5に示すRLC回路を作成します。各部品の値は、RSが100Ω、R1が1kΩ、C1が1μF、L1が20mHとします。

図5 . 作成する並列共振回路。電源に対して直列に抵抗を接続しています。 
図6 . 並列共振回路を構成するためのブレッドボード上での接続 - 「Channel A AWG Min」の値を0.5に設定します。また、「AWG Max」の値を4.5Vに設定します。これにより、回路の入力電圧として、2.5Vを中心とする4Vp-pのサイン波が得られます。続いて「AWG A Mode」ドロップダウン・メニューで「SVMI mode」を選択します。そして「AWG A Shape」ドロップダウン・メニューでは「Sine」を選択します。更に「AWG B Mode」ドロップダウン・メニューでは「Hi-Z mode」を選択します。
- 「ALICE Curves」ドロップダウン・メニューから、表示のために「CA-V」と「CB-V」を選択します。また「Trigger」ドロップダウン・メニューでは、「CA-V」と「Auto Level」を選択します。そして「Hold Off」を2ミリ秒に設定します。画面のグリッド上に約2サイクルのサイン波が表示されるまで、時間基準を調節します。「Meas CA」ドロップダウン・メニューから、「CA-V」の下の「P-P」を選択します。「CB」についても同様に設定します。更に、「Meas CA」メニューで「A-B Phase」を選択します。
- 「AWG A」メニューを使い、サイン波の周波数を500Hzから2.5kHzまで、100Hzステップで変化させるように設定します。各周波数に対して、チャンネルAとチャンネルBのピークtoピーク電圧およびチャンネルAとチャンネルBの間の位相差を記録します。回路のチャンネルBの出力に注目し、電圧が最大になる周波数を特定します。つまり、回路の共振周波数付近を把握するということです。その周波数では位相はほぼ0°になるはずです。CBのピークtoピーク電圧が最大値になるポイントの付近で、チャンネルAとチャンネルBの間の位相が完全にゼロになるまで、周波数を10Hzずつ高めて調整を行います。

図7. 共振周波数付近の入出力波形 - 図4に示した直列共振回路を使って、実験を繰り返します。各部品の値はL1が20mH、C1が0.01μF、R1が1kΩとします。抵抗にかかる電圧Voは、直列RLC回路を流れる電流の値に比例します。
ALICE-Bode Plotterで周波数応答をプロット
「ALICE-Bode Plotter」というソフトウェアを使えば、周波数応答と位相応答を簡単にプロットすることができます。例えば、図5の並列共振回路を使用し、入力周波数を10Hzから5000Hzまで掃引するとします。その際、チャンネルAとチャンネルBの信号の振幅と、チャンネルBとチャンネルAの間の相対位相角をプロットするといったことが行えます。
- 図5のように回路をADALM1000に接続した上で、ALICEのメイン・インターフェースからALICE-Bode Plotterを起動します。
- 「Curves」ドロップダウン・メニューで、「CA-dBV」、「CB-dBV」、「Phase B-A」を選択します。
- 掃引結果をリニア表示するために「Lin F」を選択します。
- 「Options」ドロップダウン・メニューで「Cut-DC」をクリックします。
- AWGの「Channel A Min」を1.086に設定し、「Max」を3.914に設定します。それにより、アナログ入力範囲の中央値である2.5Vを中心とする1Vrms(0dBV)の振幅が得られます。「AWG A」モードを「SVMI」に設定し、「Shape」を「Sine」に設定します。また「AWG Channel B」を「Hi-Z Mode」に設定します。ここで「Sync AWG」チェック・ボックスがチェックされていることを確認してください。
- 「Sweep Gen」メニューの「Startfreq」を使い、10Hzから掃引を開始するように周波数を設定します。また、「Stopfreq」を使って5000Hzで掃引を停止するように設定を行います。掃引するチャンネルとしては「CH-A」を選択します。その上で、「Sweep Steps」を使って周波数のステップ数を入力します。ここでは100に設定します。
- 緑色の「Run」ボタンを押して、周波数掃引を実行します。掃引が終了したら、図8のような画面が表示されるはずです。「LVL」および「dB/div」ボタンを使えば、画面のグリッドに合うようにプロットを最適化することができます。

図8 . 10Hz~5000Hzで掃引を実施した結果
問題
- 式(1)を使って共振周波数ωoを求め、2つの実験結果と比較してください。
- この回路の電圧応答をプロットしてください。その上で、式(3)を使用して、ハーフパワー周波数を基に帯域幅を算出してください。
Appendix:

答えはStudentZoneで確認できます。
注記
アクティブ・ラーニング・モジュールを使用する記事では、本稿と同様に、ADALM1000に対するコネクタの接続やハードウェアの設定を行う際、以下のような用語を使用することにします。まず、緑色の影が付いた長方形は、ADALM1000が備えるアナログI/Oのコネクタに対する接続を表します。アナログI /Oチャンネルのピンは「CA」または「CB」と呼びます。電圧を印加して電流の測定を行うための設定を行う場合には、「CA-V」のように「-V」を付加します。また、電流を印加して電圧を測定するための設定を行う場合には、「CA-I」のように「-I」を付加します。1つのチャンネルをハイ・インピーダンス・モードに設定して電圧の測定のみを行う場合、「CA-H」のように「-H」を付加して表します。
同様に、表示する波形についても、電圧の波形は「CA-V」と「CB-V」、電流の波形は「CA-I」と「CB-I」のように、チャンネル名とV( 電圧) 、I( 電流)を組み合わせて表します。
本稿の例では、ALICE(Active Learning Interface for Circuits and Electronics)の Rev 1.1 を使用しています。同ツールのファイル(alice-desktop-1.1-setup.zip)は、こちらからダウンロードすることができます。
ALICEは、次のような機能を提供します。
- 電圧/電流波形の時間領域での表示、解析を行うための2チャンネルのオシロスコープ
- 2チャンネルのAWG(任意信号発生器)の制御
- 電圧と電流のデータのX/Y軸プロットや電圧波形のヒストグラムの表示
- 2チャンネルのスペクトル・アナライザによる電圧信号の周波数領域での表示、解析
- スイープ・ジェネレータを内蔵したボーデ・プロッタとネットワーク・アナライザ
- インピーダンス・アナライザによる複雑なRLC回路網の解析、RLCメーター機能、ベクトル電圧計機能
- 既知の外付け抵抗、または50Ωの内部抵抗に関連する未知の抵抗の値を測定するためのDC抵抗計
- 2.5Vの高精度リファレンス「AD584」を利用して行うボードの自己キャリブレーション。同リファレンスはアナログ・パーツ・キット「ADALP2000」に含まれている
- ALICE M1Kの電圧計
- ALICE M1Kのメーター・ソース
- ALICE M1Kのデスクトップ・ツール
詳細についてはこちらをご覧ください。
注) このソフトウェアを使用するには、PC にADALM1000を接続する必要があります。

