アナログ・ダイアログの2017年12月号から、アクティブ・ラーニング・モジュール「ADALM1000」について紹介しています。今回も引き続き、このSMU(ソース・メジャー・ユニット)モジュールを使用し、小規模かつ基本的な測定を行う方法を説明します。ADALM1000に関する以前の記事は、こちらからご覧になれます。

目的
この実験の目的は、以下の2つです。
- ローパス・フィルタとハイパス・フィルタを組み合わせて、バンドストップ・フィルタを構成します。それにはLC直列回路を使用します。
- ボーデ・プロッタというソフトウェア・ツールを使用し、フィルタの周波数応答を取得します。
背景
バンドストップ・フィルタ(以下、BSF)は、帯域除去フィルタあるいはノッチ・フィルタとも呼ばれるフィルタ回路です。特定範囲の周波数成分を遮断して出力に現れないようにする一方で、その範囲より低域/高域の周波数成分はほとんど減衰させることなく通過させます。つまり、2つのカットオフ周波数の間の周波数成分を除去(ノッチ)し、2つのカットオフ周波数の外側の周波数成分は通過させるということです。
BSFの典型的なアプリケーション領域としては、オーディオ用の信号処理が挙げられます。ノイズやハムのような特定範囲の不要な周波数成分(音)を除去し、それ以外の帯域は減衰させずに通過させるということです。別のアプリケーション例としては、通信システムにおいてある範囲の信号から特定の信号を除去するというものがあります。
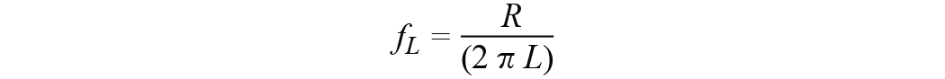
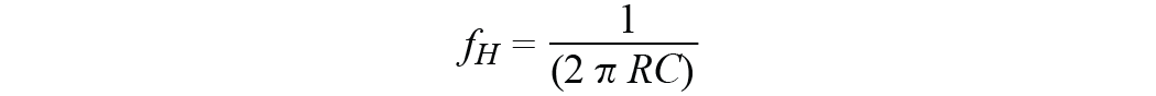
BPFは、ロールオフ周波数(カットオフ周波数)がfHで、RL(抵抗、インダクタ)で構成したハイパス・フィルタと、ロールオフ周波数がfLで、RC(抵抗、コンデンサ)で構成したローパス・フィルタを組み合わせることによって構成できます。このとき、2つのロールオフ周波数は、以下の条件を満たす必要があります。

高い方のカットオフ周波数fHは次式で決まります。

低い方のカットオフ周波数fLは次式で決まります。

除去される周波数の帯域幅は次式によって与えられます。

このように設計することで、fLより低い周波数とfHより高い周波数成分はすべて通過させ、その間の周波数成分を減衰させることができます。BSFは、図2に示すように、LとCを直列に組み合わせることにより構成することが可能です。

LC並列共振について説明した以前の記事で、LCによる共振周波数を表す式を紹介しました。その式を使うことで、BSFの中心周波数を求めることができます。共振角周波数ωoは次式で表されます。

したがって、共振周波数foは以下のようになります。

周波数応答
フィルタ回路は、必要な周波数応答が得られるように設計されます。フィルタ回路の周波数応答は、出力電圧の振幅を周波数の関数としてプロットすることで得ることができます。周波数応答を確認すれば、回路の設計が適切であるか否かを把握することが可能です。図3に示したのは、BSFの標準的な周波数応答です。

準備するもの
- ADALM1000
- 抵抗R1:1.0kΩ
- コンデンサC1:0.1μF(表示は104)
- インダクタL1:20mHのインダクタを1個、10mHのインダクタを2個直列に接続
手順
- 1kΩの抵抗R1、0.1μFのコンデンサC1、20mHのインダクタL1を使用し、ソルダーレス・ブレッドボード上に、図4に示すようにしてフィルタ回路を構成します。

図4 . B S F を構成するためのブレッドボード上の接続 - チャンネルAの「AWG Min」の値を0.5に設定し、「Max」の値を4.5Vに設定します。これにより、回路の入力電圧として、2.5Vを中心とする4Vp-pのサイン波が得られます。次に「AWG A Mode」ドロップダウン・メニューで「SVMI」モードを選択します。続いて「AWG A Shape」ドロップダウン・メニューで「Sine」を選択します。更に「AWG B Mode」ドロップダウン・メニューで「Hi-Z」モードを選択します。
- 「ALICE Curves」ドロップダウン・メニューから、表示のために「CA-V」と「CB-V」を選択します。また「Trigger」ドロップダウン・メニューでは、「CA-V」と「Auto Level」を選択します。そして「Hold Off」を2ミリ秒に設定します。画面のグリッド上に約2サイクル分のサイン波が表示されるまで、時間基準を調整してください。「Meas CA」ドロップダウン・メニューから、「CA-V」の下の「P-P」を選択します。「CB」についても同様の設定を行います。更に、「Meas CA」メニューで「A-B Phase」を選択します。
- 低い周波数(この例では100Hz)からスタートし、スコープ画面を使って、出力電圧「CB-V」のピークtoピーク値を測定します。これは、チャンネルAの出力とほぼ同じになるはずです。続いて、チャンネルBのピークtoピーク電圧がチャンネルAのピークtoピーク電圧の約0.7倍になるまで、チャンネルAの周波数を少しずつ上げていきます。Vp-pの70%を計算し、オシロスコープ上でその値になる周波数の位置を確認します。それが、構成したBSFにおいてRCの時定数で決まるカットオフ周波数になります。
- 引き続き、チャンネルBのピークtoピーク電圧が最小になるまで、チャンネルAの周波数を上げていきます。その値になったところで、オシロスコープ上で周波数を確認します。その周波数が、BSFにおいて、LCによって決まる直列共振部の中心周波数になります。BSFでは、振幅が70%になるカットオフ周波数が、低域側と高域側にそれぞれ1つずつ存在することに注意してください。
ALICEのボーデ・プロッタによる周波数応答のプロット
デスクトップ・ソフトウェアであるALICEを使えば、対象とする回路が、周波数成分の振幅、位相に対してどのような影響を及ぼすのかを確認することができます。つまりは、ボーデ線図を表示することが可能です。ここでは、 構築したBSF回路に対し、500Hzから12kHzまでの範囲で入力周波数の掃引を行います。そして、チャンネルAとチャンネルBの両方の信号の振幅と、チャンネルBとチャンネルAの間の相対位相角をプロットできるようにします。その手順は以下のとおりです。
- BSF回路をADALM1000に接続した状態で、デスクトップ・ソフトウェアであるALICEを起動します。
- 続いてボーデ・プロッタを起動します。「Curves」メニューの下で「CA-dBV」、「CB-dBV」、「Phase B-A」を選択します。
- 「Option」ドロップダウン・メニューの下で、ゼロスタッフィング(zero-stuffing) の設定を2に変更します。
- 「AWG Channel A Min」の値を1.086に設定し、「Max」の値を3 . 9 1 4 に設定します。それにより、アナログ入力範囲の中央値である2.5Vを中心とする1Vrms(0dBV)の振幅が得られます。「AWG A」モードを「SVMI」に設定し、「Shape」を「Sine」に設定します。続いて「AWG Channel B」を「Hi-Z」モードに設定します。ここで「Sync AWG」チェック・ボックスがチェックされていることを確認してください。
- 「Start Frequency」を使い、100Hzから周波数掃引を開始するように設定します。また「Stop Frequency」を使って20kHzで掃引を終了するようにします。「Sweep Gen」を使用し、掃引するチャンネルとして「CH-A」を選択します。また「Sweep Steps」を使用し、周波数のステップ数として200を設定します。
ここで、緑色の「Run」ボタンを押して、周波数の掃引を実行します。掃引の終了後(200ポイントの処理には数秒かかることがあります)、図5のような画面が表示されるはずです。プロットが画面のグリッドにフィットするようにしたい場合は、「LVL」と「dB/div」ボタンを使って最適化してください。
結果を記録すると共に、ボーデ線図をスクリーン・ショットとして保存します。

問題
- 本稿の冒頭で示した式を使って、構成したBSFのカットオフ周波数を求めてください。計算によって得た値と実験によって得られた値を比較し、なぜ違いが生じるのか的確に説明してください。
答えはStudentZoneで確認できます。
注記
アクティブ・ラーニング・モジュールを使用する記事では、本稿と同様に、ADALM1000に対するコネクタの接続やハードウェアの設定を行う際、以下のような用語を使用することにします。まず、緑色の影が付いた長方形は、ADALM1000が備えるアナログI/Oのコネクタに対する接続を表します。アナログI /Oチャンネルのピンは「CA」または「CB」と呼びます。電圧を印加して電流を測定するための設定を行う場合、「CA-V」のように「-V」を付加します。また、電流を印加して電圧を測定するための設定を行う場合には、「CA-I」のように「-I」を付加します。1つのチャンネルをハイ・インピーダンス・モードに設定して電圧の測定のみを行う場合、「CA-H」のように「-H」を付加して表します。
同様に、表示する波形についても、電圧の波形は「CA-V」と「CB-V」、電流の波形は「CA-I」と「CB-I」のように、チャンネル名とV( 電圧) 、I( 電流)を組み合わせて表します。
本稿の例では、ALICE(Active Learning Interface for Circuits and Electronics)のRev 1.1を使用しています。
同ツールのファイル(alice-desktop-1.1-setup.zip)は、こちらからダウンロードすることができます。
ALICEは、次のような機能を提供します。
- 電圧/電流波形の時間領域での表示、解析を行うための2チャンネルのオシロスコープ
- 2チャンネルのAWG(任意波形発生器)の制御
- 電圧と電流のデータのX/Y軸プロットや電圧波形のヒストグラムの表示
- 2チャンネルのスペクトル・アナライザによる電圧信号の周波数領域での表示、解析
- スイープ・ジェネレータを内蔵したボーデ・プロッタとネットワーク・アナライザ
- インピーダンス・アナライザによる複雑なRLC回路網の解析、RLCメータ機能、ベクトル電圧計機能
- 既知の外付け抵抗または50Ωの内部抵抗に関連する未知の抵抗の値を測定するためのDC抵抗計
- 2.5Vの高精度リファレンス「AD584」を利用して行うボードの自己キャリブレーション。同リファレンスはアナログ・パーツ・キット「ADALP2000」に含まれています
- ALICE M1Kの電圧計
- ALICE M1Kのメータ・ソース
- ALICE M1Kのデスクトップ・ツール
詳細についてはこちらをご覧ください。
注) このソフトウェアを使用するには、PC にADALM1000を接続する必要があります。

