アナログ・ダイアログの 2017 年 12 月号から、アクティブ・ラーニング・モジュール「ADALM1000」について紹介しています。今回も、引き続き同モジュールを使用して、小規模かつ基本的な測定を行う方法を説明します。ADALM1000 に関する以前の記事は、こちらからご覧になれます。.

それでは、実験を始めましょう。
目的
この実験では、RC 直列回路の過渡応答について学びます。パルス信号を用いて時定数についての考え方を理解することを目標とします。
背景
今回の実験では、RC 回路にパルス信号を印加し、その回路の過渡応答を解析します。RC 回路の時定数により、回路の応答であるパルスの幅にどのような影響が及ぶのかを明らかにします。
時定数 τ とは、RC 回路や RL 回路において、電圧や電流がある一定の値に達するまでに要する時間のことです。一般に、時定数の 4 倍(4τ)を超えると、RC 回路のコンデンサは完全に充電されたと見なされます。そのときコンデンサ両端の電圧は、最大値の約 98 % になります。一般に、この時間内の電圧の変化が回路の過渡応答として扱われています。そして、スイッチングが生じてから時定数の 5 倍(5τ)以上の時間が経過したとき、電流と電圧は最終値に達します。この状態は定常応答とも呼ばれています。
表 1 は、時定数の何倍かの時間が経過したときに、RC回路のコンデンサがどのような状態になるのかをまとめたものです。電圧と電流の値が、最大値に対してどの程度の割合まで達するのかを示しています。
| 時間〔τ〕 | 最大値に対する割合 | |
| 電圧 | 電流 | |
| 0.5 τ | 39.3% | 60.7% |
| 0.7 τ | 50.3% | 49.7% |
| τ | 63.2% | 36.8% |
| 2 τ | 86.5% | 13.5% |
| 3 τ | 95.0% | 5.0% |
| 4 τ | 98.2% | 1.8% |
| 5 τ | 99.3% | 0.7% |
実際には、コンデンサが 100 % まで充電されることはありません。そのため、実用上は、時定数の5倍の時間が経過したとき、コンデンサはフルに充電されたと見なしています。
RC 回路の時定数は、等価容量の値と、等価容量の片端から見たときのテブナン抵抗の値の積で求められます。

パルス信号というのは、あるレベルから別のレベルまで両方向に変化する電圧または電流のことです。波形において、高いレベルに保持される時間と低いレベルに保持される時間が等しい場合には、方形波と呼ばれます。その場合、パルスのサイクル(高いレベルと低いレベルの対)の長さを周期 T と呼びます。
理想的な方形波のパルス幅 tp は、周期の 1/2 になります。
パルス幅と周波数の関係は、次式によって表すことができます。


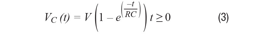
キルヒホッフの法則から、コンデンサの両端の充電電圧VC(t) は、次式のようになります。

ここで、V は t = 0 のときに回路に印加する電源電圧、RC( = τ)は時定数です。
図 3 に示すように、応答曲線は時間とともに増加していきます。

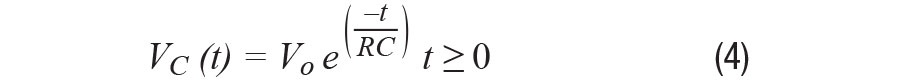
このコンデンサの放電電圧は次式で表されます。

ここで、Vo は t = 0 におけるコンデンサの初期電圧、RC( = τ)は時定数です。応答曲線は、図 4 に示すように指数関数的に低下していきます。

準備するもの
- ADALM1000
- 抵抗: 2.2 kΩ 、10 kΩ
- コンデンサ: 1 μF 、0.01 μF
手順
- ソルダーレス・ブレッドボード上に R1(2.2 kΩ)、C1(1 μF)を差し込んで、図 5 に示す回路を構成します。そのうえで、「ALICE」のオシロスコープ・ソフトウェアを起動します。
- チャンネル A の AWG(任意信号発生器)の「Min」を 0.5 V に設定し、「Max」を 4.5 V に設定します。そして、2.5 V を中心値とする 4 Vp-p の方形波を入力電圧として回路に印加します。AWG A の「Mode」ドロップダウン・メニューで「SVMI」モードを選択します。また、AWG A の「Shape」ドロップダウン・メニューで「Square」を選択します。さらに、AWG B の「Mode」ドロップダウン・メニューでは「Hi-Z」モードを選択します。

図 5 . ブレッドボードを使って構成した RC 回路 
図 6 . RC 回路の外観。ブレッドボードに R1(2.2 kΩ)、C1(1 μF)を接続して構成しました。 - ALICE の 「Curves」ドロップダウン・メニューで、表示を行うために「CA-V」と「CB-V」を選択します。また「Trigger」ドロップダウン・メニューで「CA-V」と「Auto Level」を選択します。約 2 サイクル分の方形波がグリッド上に表示されるように、時間のスケールを調節します。
この構成は、オシロスコープのチャンネル A によって回路の入力を観測し、チャンネル B によって回路の出力を観測するというものです。「Sync AWG」セレクタがチェックされていることも確認してください。
図 7. オシロスコープの構成 - 以下に示す 3 つの条件下で回路の応答を観測し、結果を記録します。
- パルス幅が 5τ よりかなり長い場合: 方形波の各サイクル内でコンデンサを完全に充放電できるだけの時間を確保します。それが可能になるように、AWG A の出力周波数を設定します。パルス幅を 15τ とし、式(2)に従って周波数を設定してください。周波数の値を求めると約 15 Hz になるはずです。可能であれば、画面上で、得られた波形を基にして時定数を測定してください。時定数を容易に測定できない場合には、考えられる理由を説明してください。
- パルス幅が 5τ の場合: パルス幅が 5τ になるように周波数を設定します(周波数は約 45 Hz になるはずです)。この条件では、各パルスのサイクルでちょうどコンデンサの充放電が完了するはずです(図 3、図 4)。

図 8 . 時定数の測定。マス目の数を数えることにより、おおよその値を把握することができます。 - パルス幅が 5τ よりかなり短い場合: この条件下では、放電に切り替わる前にコンデンサを十分に充電(またはその逆) できるだけの時間はありません。ここではパルス幅を 1.0 τ とし、それに基づいて周波数を設定してみてください。
- R1 を 10 kΩ、C1 を 0.01 μF として上記の手順を繰り返し、測定結果を記録します。
問題
- 式(1)を使って時定数 τ を算出し、4-b で得られた測定値と比較してください。
- R を 10 kΩ、C を 0.01 μF に変更し、時定数の算出、測定値との比較を行ってください。
答えは StudentZone で確認できます。
注記
アクティブ・ラーニング・モジュールを使用する記事では、本稿と同様に、ADALM1000 に対するコネクタの接続やハードウェアの設定を行う際、以下のような用語を使用することにします。まず、緑色の影が付いた長方形は、ADALM1000 が備えるアナログ I /O のコネクタに対する接続を表します。アナログ I/O チャンネルのピンは「CA」または「CB」と呼びます。電圧を印加して電流の測定を行うための設定を行う場合には、「CA-V」のように「-V」を付加します。また、電流を印加して電圧を測定するための設定を行う場合には、「CA-I」のように「-I」を付加します。1 つのチャンネルをハイ・インピーダンス・モードに設定して電圧の測定のみを行う場合、「CA-H」のように「-H」を付加して表します。
同様に、表示する波形についても、電圧の波形は「CA-V」と「CB-V」、電流の波形は「CA-I」と「CB-I」のように、チャンネル名と V(電圧)、I(電流)を組み合わせて表します。
本稿の例では、ALICE(Active Learning Interface for Circuits and Electronics)の Rev 1.1 を使用しています。
同ツールのファイル(alice-desktop-1.1-setup.zip)は、こちらからダウンロードすることができます。
ALICE は、次のような機能を提供します。
- 電圧/電流波形の時間領域での表示、解析を行うための 2 チャンネルのオシロスコープ
- 2 チャンネルの AWG(任意信号発生器) の制御
- 電圧と電流のデータの X/Y 軸プロットや電圧波形のヒストグラムの表示
- 2 チャンネルのスペクトル・アナライザによる電圧信号の周波数領域での表示、解析
- スイープ・ジェネレータを内蔵したボーデ・プロッタとネットワーク・アナライザ
- インピーダンス・アナライザによる複雑な RLC 回路網の解析、RLC メーター機能、ベクトル電圧計機能
- 既知の外付け抵抗または 50 Ωの内部抵抗に関連する未知の抵抗の値を測定するための DC 抵抗計
- 2.5 V の高精度リファレンス「AD584」を利用して行うボードの自己キャリブレーション。同リファレンスはアナログ・パーツ・キット「ADALP2000」に含まれている
- ALICE M1K の電圧計
- ALICE M1K のメーター・ソース
- ALICE M1K のデスクトップ・ツール
詳細についてはこちらをご覧ください。
注) このソフトウェアを使用するには、PC にADALM1000 を接続する必要があります。

