摘要
长期以来, 模拟比较器的使用一直处在它的“同伴”—运算放大器的阴影之中。设计人员发表了大量针对运算放大器的应用笔记, 而关于比较器的应用笔记较少。正是由于缺少比较器的应用资料, 很多用户希望Maxim应用部能够在如何建立比较器滞回电压方面提供帮助。本文针对这一需求, 介绍在一些常用的比较器电路中建立滞回电压的方法, 并且讨论了提高噪声抑制能力和系统稳定性有关措施。
关于比较器滞回的讨论需要从“滞回”的定义开始,与许多其它技术术语一样,“滞回”源于希腊语,含义是“延迟”或“滞后”,或阻碍前一状态的变化。工程中,常用滞回描述非对称操作,比如,从A到B和从B到A是互不相同。在磁现象、非可塑性形变以及比较器电路中都存在滞回。
绝大多数比较器中都设计带有滞回电路,通常滞回电压为5mV到10mV。内部滞回电路可以避免由于输入端的寄生反馈所造成的比较器输出振荡。但是内部滞回电路虽然可以使比较器免于自激振荡,却很容易被外部振幅较大的噪声淹没。这种情况下需要增加外部滞回,以提高系统的抗干扰性能。
首先,看一下比较器的传输特性。图1所示是内部没有滞回电路的理想比较器的传输特性,图2所示为实际比较器的传输特性。从图2可以看出,实际电压比较器的输出是在输入电压(VIN)增大到2mV时才开始改变。

图1. 理想比较器的传输特性

图2. 实际比较器的传输特性
运算放大器在开环状态下可以用作比较器,但是一旦输入信号中有少量的噪声或干扰,都将会在两个不同的输出状态之间产生不期望的频繁跳变(图3)。用带有内部滞回电路的比较器代替开环运算放大器能够抑制输出的频繁跳变和振荡。或在比较器的正反馈电路中增加外部滞回电路,正反馈的作用是确保输出在一个状态到另一个状态之间快速变化,使比较器的输出的模糊状态时间达到可以忽略的水平,如果在正反馈中加入滞回电路可减缓这种频繁跳变。

图3. 无滞回电路时比较器输出的模糊状态和频繁跳变
举个例子,考虑图4所示简单电路,其传输特性如图5所示。比较器的反相输入电压从0开始线性变化,由分压电阻R1、R2构成正反馈。当输入电压从1点开始增加(图6),在输入电压超过同相阈值VTH+ = VCCR2/(R1 + R2)之前,输出将一直保持为VCC。在阈值点,输出电压迅速从VCC跳变为VSS,因为,此时反相端输入电压大于同相端的输入电压。输出保持为低电平,直到输入经过新的阈值点5,VTH- = VSSR2/(R1 + R2)。在5点,输出电压迅速跳变回VCC,因为这时同相输入电压高于反相输入电压。

图4. 具有滞回的简单电路

图5. 图4电路的传输特性

图6. 图4电路的输入/输出电压波形
图4所示电路中的输出电压VOUT与输入电压VIN的对应关系表明,输入电压至少变化2VTH时,输出电压才会变化。因此,它不同于图3的响应情况(放大器无滞回),即对任何小于2VTH的噪声或干扰都不会导致输出的迅速变化。在实际应用中,正、负电压的阈值可以通过选择适合的反馈网络设置。
其它设置可以通过增加不同阈值电压的滞回电路获得。图7电路使用了两个MOSFET和一个电阻网络调节正负极性的阈值。与图4所示比较器不同,电阻反馈网络没有加载到负载环路,图8给出了输入信号变化时的输出响应。

图7. 通过外部MOSFET和电阻构成滞回电路

图8. 图7电路的输入/输出电压波形
比较器内部的输出配置不同,所要求的外部滞回电路也不同。例如,具有内部上拉电阻的比较器,可以在输出端和同相输入端直接加入正反馈电阻。输入分压网络作用在比较器的同相输入端,反相输入电压为一固定的参考电平(如图9)。

图9. 在带有上拉电阻的比较器中加滞回电路
如上所述,具有内部滞回的比较器提供两个门限:一个用于检测输入上升电压(VTHR),一个用于检测输入下降电压(VTHF),对应于图8的VTH1和VTH2。两个门限的差值为滞回带(VHB)。当比较器的输入电压相等时,滞回电路会使一个输入迅速跨越另一输入,从而使比较器避开产生振荡的区域。图10所示为比较器反相输入端电压固定,同相输入端电压变化时的工作过程,交换两个输入可以得到相似波形,但是输出电压极性相反。

图10. 图9电路的输入/输出电压波形
根据输出电压的两个极限值(两个电源摆幅),可以很容易地计算反馈分压网络的电阻值。
内部有4mV滞回和输出端配有上拉电阻的比较器—如Maxim公司的MAX9015、MAX9017和MAX9019等。这些比较器设计用于电压摆幅为VCC和0V的单电源系统。可以按照以下步骤,根据给定的电源电压、电压滞回(VHB)和基准电压(VREF),选择并计算需要的元件:
第1步
选择R3,在触发点流经R3的电流为(VREF - VOUT)/R3。考虑到输出的两种可能状态,R3由如下两式求得:
R3 = VREF/IR3和R3 = (VCC - VREF)/IR3
取计算结果中的较小阻值,例如,VCC = 5V,IR3 = 0.2µA,使用MAX9117比较器(VREF = 1.24V),则计算结果为6.2MΩ和19MΩ,选择R3为标准阻值6.2MΩ。
第2步
选择滞回电压(VHB)。在本例中,选择滞回电压为50mV。

第3步
R1可按下式计算。
对于这个例子,R1的值为:

第4步
输入VIN上升门限(VTHR)的选择,例如:

在该门限点,当输入电压VIN超过阈值时,比较器输出由低电平变到高电平。本例中,选择VTHR = 3V。
第5步
计算R2,R2可按下式计算:

本例中,R2的标准值为44.2kΩ。
第6步
按如下步骤验证电压和滞回电压:VIN上升门限 = 2.992V,等于VREF乘以R1,除以R1、R2和R3并联后的阻值。

VIN下降门限 = 2.942V。因此,滞回电压 = VTHR - VTHF = 50mV。

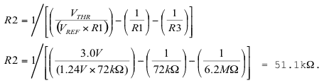
最后,开漏结构的比较器内部滞回电压为4mV (MAX9016、MAX9018、MAX9020),需要外接上拉电阻,如图11所示。外加滞回可以通过正反馈产生,但是计算公式与上拉输出的情况稍有不同。滞回电压 = VTHR - VTHF = 50mV。
按如下步骤计算电阻值:
第1步
选择R3,在IN_+端的输入偏置电流小于2nA,所以通过R3的电流应至少为0.2µA,以减小输入偏置电流引起的误差。在触发点流经R3的电流为(VREF - VOUT)/R3。考虑到两种可能的输出状态,R3可由以下两个公式求得:
R3 = VREF/IR3或R3 = [(VCC - VREF)/IR3] - R4
取上述结果的较小值。例如,VCC = 5V,IR3 = 0.2μA,R4 = 1MΩ,使用MAX9118比较器(VREF = 1.24V),计算结果为6.2MΩ和18MΩ,则R3选6.2MΩ。
第2步
选择需要的滞回电压(VHB)。
第3步
选择R1,R1可按下式计算:

在此例中,R1为:

第4步
选择VIN上升门限(VTHR),如下式:

在该门限点,当输入电压VIN超过阈值时,比较器输出由低电平变到高电平。本例中,选择VTHR = 3V。
第5步
计算R2,如下式:

本例中,R2的标准值为49.9kΩ。
第6步
按如下步骤验证触发电压和滞回电压:


图11. 在输出为开漏结构的比较器中加滞回电路