摘要
这是一篇关于时钟(CLK)信号质量的应用笔记,介绍如何测量抖动和相位噪声,包括周期抖动、逐周期抖动和累加抖动。本文还描述了周期抖动和相位噪声谱之间的关系,并介绍如何将相位噪声谱转换成周期抖动。
几乎所有集成电路和电气系统都需要时钟(CLK)。在当今世界中,人们以更快的速度处理和传送数字信息,而模拟信号和数字信号之间的转换速率也越来越快,分辨率越来越高。这些都要求工程师更多地关注时钟信号的质量。
时钟信号的质量通常用抖动和相位噪声来描述。抖动包括周期抖动,逐周期抖动和累计抖动,最常用的是周期抖动。时钟的相位噪声用来说明时钟信号的频谱特性。
本文首先简单介绍用来测量时钟抖动和相位噪声的装置。然后介绍周期抖动和相位噪声之间的关系,最后介绍将相位噪声谱转换成周期抖动的简单公式。
周期抖动和相位噪声:定义和测量
周期抖动
周期抖动(JPER)是实测周期和理想周期之间的时间差。由于具有随机分布的特点,可以用峰-峰值或均方根值(RMS)描述。我们首先定义门限为VTH的时钟上升沿位于时域的TPER(n),其中n是一个时域系数,如图1所示。我们将JPER表示为手册:

其中T0是理想时钟周期。由于时钟频率固定,随机抖动JPER的均值应该为零,JPER的RMS可以表示为:

式中的<•>是所要求的运算符。从图1时钟波形可以看出JPER和TPER之间的关系。
相位噪声测量
为了理解相位噪声谱L(f)的定义,我们首先定义时钟信号的功率谱密度SC(f)。将时钟信号接频谱分析仪,即可测得SC(f)。相位噪声谱L(f)定义为频率f处的SC(f)值与时钟频率fC处的SC(f)值之差,以dB表示。图2说明了L(f)的定义。
相位噪声谱L(f)的数学定义为:

注意L(f)代表的是fC和f处谱值的比,L(f)将在下文介绍。
周期抖动(JPER)测量
有许多设备可以测量周期抖动。通常人们会用高精度数字示波器测量抖动。当时钟抖动大于示波器触发抖动的5倍时,时钟抖动可用时钟上升沿触发,然后测量另一个上升沿。图3给出了示波器从被测时钟产生触发信号的方法。该方法可消除数字示波器内部时钟源抖动。
由于示波器的触发时延可能会大于一个高频时钟周期。因此,必须在信号通路上加入一个延时单元才能在屏幕上显示被触发的第一个上升沿。
当然还有一些更精确的抖动测量方法,但大多数都是对高速数字示波器采集的数据进行后处理,按1或2式的定义计算抖动。后处理可以得到更精确的结果,但需要使用高端数字示波器[2, 3]。
相位噪声谱L(f)测量
如式3所示,L(f)可通过频谱仪直接测量时钟信号的频谱SC(f)获得。但实际上由于L(f)通常大于100dBc,超过了大多数频谱仪的动态范围,这种方法不太现实。另外,fC有时还会超过频谱仪的输入频率限制。实际上,测量相位噪声的装置需要将fC的谱能量滤掉。这一方法类似于将通带信号解调到基带。图4为一个实际的相位噪声测量装置,以及不同位置的频谱变换。
图4所示架构通常称为载波抑制解调器,图4中的n(t)为频谱仪输入。我们可以通过正确调整n(t)频谱获得L(f)的dBc值。
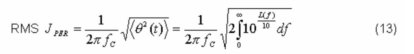
周期抖动均方根值和相位噪声之间的关系
通过傅立叶级数,可以看出时钟方波信号与其基频正弦波信号的抖动特性基本相同。这使得时钟信号的抖动分析大大简化,一个具有相位噪声的正弦波时钟信号可以描述为:

而周期抖动可表示为:

式4可以看出正弦波经过了相位噪声Θ(t)调相。由于相位噪声比π/2小很多,因此式4可简化为:

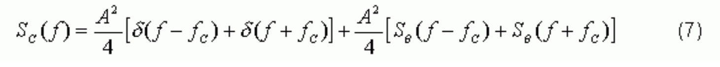
频谱C(t)可以表示为:

其中SΘ(f)是q(t)的频域表示。根据L(f)的定义,我们可以得到:

可以看出L(f)是以dB表示的SΘ(f)。这实际上也揭示了L(f)的真正含义。
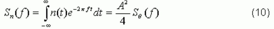
通过图4所示装置可以测量L(f),C(t)与cos(2πfCt)混频后经过低通滤波器滤波,然后输入频谱仪,输入频谱仪的信号n(t)可以表示为:

频谱仪的输出为:

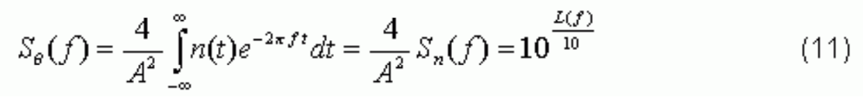
由此可以得到相位噪声SΘ(f)和L(f):

通过将n(t)的频谱按比例缩减A2/4,可以直接得到以dBc表示的L(f)。
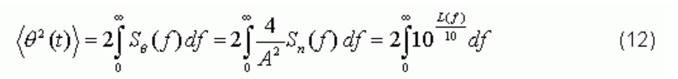
通过式11可以推导出Θ(t)的均方值(MS):

从式5开始,最终推导出了周期抖动JPER和相位噪声谱L(f)之间的关系:

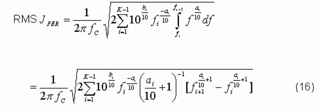
在一些类似SONET和10Gb应用中,工程师仅关心特定频段的抖动。在特定频段内的RMS JPER可以表示为:

通过L(f)近似得到RMS JPER
当L(f)频率轴为对数坐标时,相位噪声通常可通过分段线性法近似得到。此时的L(f)可以表示为:

其中K-1为分段函数的线段数,而U(f)为阶跃函数,如图5所示:
将式15中的L(f)带入式14,可以得到:

表1是fC = 155.52MHz的L(f)列表,可用于分段函数参数计算。
| Frequency (Hz) | 10 | 1000 | 3000 | 10000 |
| L(f) (dBc) | -58 | -118 | -132 | -137 |
下面计算ai和bi:

结果列于表2。
| i | 1 | 2 | 3 | 4 |
| fi (Hz) | 10 | 1000 | 3000 | 10000 |
| ai (dBc/decade) | -30 | -29.34 | -9.5 | N/A |
| bi (dBc) | -58 | -118 | -132 | -137 |
将表2中的数值带入式16,可以得到:

利用图4所示装置测同一时钟在同一频段内的RMS抖动为4.2258ps,因此从相位噪声到抖动的近似转换结果非常精确,本例中的误差小于4%。
如果给定相位噪声谱的包络,式16还可用来估计所需的抖动上限。
一个简单的数据表文件给出了示例的公式。
总结
本文揭示了在时域测量的抖动和在频域测量的相位噪声之间的数学关系。许多关心信号完整性和系统时钟的工程师都会关注这一关系。本文结果清楚回答这一问题。基于上述数学关系,我们提出了一种用相位噪声谱估计周期抖动的方法。工程师可以利用这一方法快速实现两种测量之间的量化转换,这对于系统电路的设计和应用有很大帮助。




