AN-1366: 使用ADP5070/ADP5071在 VOUT < VIN的情况下创建正电压和负电压供电轨
简介
ADP5070/ADP5071 是双通道高性能DC-DC稳压器,可产生独立调节的正供电轨和负供电轨。器件的输入电压范围为2.85 V至15 V,可广泛地应用。启动时序、精密使能、同步开关频率的能力以及提供一个电源开关转换率可选引脚以降低开关噪声等特性使ADP5070/ADP5071成为一款非常灵活的器件。ADP5070/ADP5071数据手册详细说明了如何在升压拓扑结构中设计正供电轨以及如何在反相降压/升压拓扑结构中设计负供电轨。然而,有时候需要在输入电压低于输出电压的情况下生成正电压。幸运的是,在单端初级电感转换器(SEPIC)拓扑结构中很容易配置成正供电轨,从而最大限度地灵活获得低于、等于或高于输入的输出电压。该应用笔记为将ADP5070/ADP5071配置成SEPIC提供设计准则和考虑因素。
SEPIC拓扑结构说明
SEPIC是大家了解得最少,但却很常用的DC-DC转换器拓扑结构之一。对于SEPIC,Q1和Q2开关以相反的相位工作。图1显示了两种不同开关状态下的电流流向。
虽然并不十分明显,但传输电容(C1)的电压约为恒定的VIN (带很小的纹波)。图2所示为SEPIC的理想波形。当Q1导通时,SN2的电压等于−VIN。因此,在Q1导通(Q2断开)期间,L1a和L1b上的电压为VIN;当Q1断开(Q2导通)时,L1a和L1b上的电压为VOUT。使用公式1并应用电感伏秒平衡原理,可以计算稳态直流转换比。D为转换器的占空比(开关周期中Q1导通时间所占的比例)。

Q2由二极管取代,因为这些电源一般是低功率模拟电源,适合使用异步控制器。
L1a和L1b耦合,降低了电感中2倍的电流纹波(见参考文献部分的Ćuk-Middlebrook论文),大幅降低了小信号模型的复杂程度,并通过公式2计算消除SEPIC谐振而实现更高的带宽。

耦合系数的限制
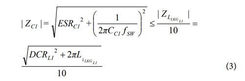
虽然耦合电感具有突出的优势,但并不希望耦合太紧,以至于有大量能量通过铁芯传输。为避免这种情况,设计人员必须确保C1在开关频率下的复阻抗小于泄漏电感(LLKG)的阻抗加上单一绕组直流电阻(DCR)构成的复阻抗的十分之一。
公式3表示了该不等式。泄漏电感 L1(LLKG)可以通过公式4计算获得和耦合电感数据手册中提供的耦合系数(K)。LM是 ADP5070/ADP5071数据手册中提供的自感测量值。


小信号分析和环路补偿
SEPIC的完整小信号分析超出了本应用笔记的范围;不过,利用本应用笔记提供的方程式,设计人员便可正确设计补偿。ADP5070/ADP5071设计工具使用的模型比本应用笔记所提供的更完整、更精确,也更复杂。
Ćuk和Middlebrook的论文(参见“参考文献”部分)表明:无论是小信号还是大信号,耦合电感是单绕组电感值得两倍、且无SEPIC谐振。因此,本应用笔记的分析使用有效电感值,即耦合电感数据手册提供的单绕组电感值的两倍。
补偿SEPIC的第一步是选择可实现的目标交越频率。就像大部分升压和降压/升压拓扑结构,SEPIC具有一个右半面零点(RHP),其计算如公式5所示。RHP具有双重作用,既能像零点一样提高增益,也能像极点一样降低稳定裕度。因此,必须用最大为RHP频率((fRHP)五分之一的频率来补偿转换器的交越频率。
SEPIC还有一个谐振频率 fRES,它由泄漏电感(LLKG)和传输电容(C1)引起。该谐振一般会被电感的DCR很好地消除,但可能引起较大的相位滞后。因此,交越频率应不超出其十分之一。此外,使用采用标准Type II补偿的电流模式控制器,因此最大可实现的交越频率约为开关频率的十分之一。所以,选择目标fC,使其等于这三种约束条件下的最小值,如公式7所示。



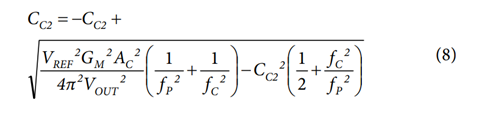
图3中的补偿值计算见公式8。由于假设使用陶瓷输出电容,因而可以将 CC2选为10 pF。


其中,fp为电流模式转换器的大致主极点。

AC为开环转换器在交越频率 fc 时的增益:

MC和FM是Ridley关于电流模式控制的论文(参见参考文献部分)中导出的项。


其中:
VRAMP_SLOPE和 ACS 是芯片内的固定常数。
VRAMP_SLOPE = 300000 (ADP5070)
VRAMP_SLOPE = 600000 (ADP5071)
ACS = 0.1538 (ADP5070)
ACS = 0.072 (ADP5071)
功率器件选型要点
电感中的30%纹波一般会产生合理的值(见公式15),这是通常情况。然而,当降压比较大时,将输入电感中的纹波百分比提高到50%或60%会更佳。





图4显示FET开关(Q1)和Q2的电流。它还显示了开关电流的直流成分。峰值电流取决于公式15中选择的纹波。
主开关Q1中的开关损耗计算超出了本应用笔记的范围。注意,在许多情况下,开关损耗可能相当大,因为开关得到的电压摆幅很大(~VIN + VOUT),而且电流也很大(参见图4)。输出的峰峰值输出电压纹波(ΔVRIPPLE_SEPIC)可通过下列公式近似计算:

流经电容的电流值(IRMS_COUT_SEPIC)为:

取C1上的纹波约为 VIN的5%:


选择C1时,考虑 IRMS额定值很重要,因为流经C1的电流很大。
由于Q2是二极管,因此选择器件时需要考虑多个事项。 VDS_MAX的额定值至少应为VIN+ VOUT。连续电流至少须为所见峰值电流的1/3。正如预期的那样,流过二极管的平均电流为 IOUT。此外,在应用的热环境下,封装必须能够承受 IOUT。
输出滤波器
ADP5070/ADP5071作为双轨转换器通常用于模拟电源,往往要求输出纹波极低。不同于降压转换器的输入电流,SEPIC输出电流是非连续的。这导致流入输出电容的电流发生阶跃变化。即便使用陶瓷电容,由于其电感影响,这些开关尖峰也不能得到很好的衰减。ADP5070/ADP5071具有引脚可选压摆率。降低开关转换速度有助于减少开关尖峰。然而,常常需要在SEPIC绕组的输出端放置一个小的阻尼输出pi滤波器。
虽然该滤波器会影响小信号模型,但本应用笔记不再详细讨论这一问题。只要根据公式23和公式24选择阻尼电阻,并且将转换器的交越设计在em>ωo的十分之一或更低,则pi滤波器不会引起电路不稳定。
选择 COUT1为输出纹波的2%左右,COUT2至少等于 COUT1值。LFILT的合理值一般是1 μH;Qo应当设为1。



ADP5070/ADP5071设计工具
ADP5070/ADP5071 ADIsimPower™设计工具是一款基于Microso Excel®的完全集成设计器,用于ADP5070/ADP5071器件。对于正输出,该工具可自动选择升压或SEPIC拓扑结构。负供电轨始终使用反相降压/升压拓扑结构。一旦用户启用宏(可能需要更改Excel的安全设置),就会出现Basic Setings(基本设置) 对话框。还可通过点击 Find Solution(查找解决方案)按钮找到该对话框。在对话框中,输入设计所要求的电压和电流,并选择是否优化成本、损耗或尺寸。
点击 View Solution(查看解决方案)按钮,设计工具将输出一个完整的优化设计。包括带价格和补偿值的物料清单(BOM)、精确并经过测试的效率-负载曲线、功率损耗-负载曲线、满载波特图、性能参数、器件应力以及每个器件的功耗。此外,Build Your Design(构建设计) 选项卡提供同 样的BOM,只是将放置在空白演示板上的元器件在BOM中列出, 包括配置演示板的所有其它元器件。
Advanced Settings(高级设置) 对话框提供其他定制工具。用户可以选择输出电压纹波、电流、瞬态响应、可选输出滤 波器使用、外部欠压关断(UVLO)等参数指标。关于这些 选项功能的详细说明,请点击Basic Setings(基本设置) 对 话框中的 Program Details(程序详情)按钮,可打开 Program Details(程序详情)对话框。
该工具最强大的功能之一是 User Interface(用户接口) 选项卡中的器件按钮。利用该功能,用户可以更改各个器件,全面定制设计。
先从成千上万器件组成的数据库中预选出下拉列表中的各 器件,产生一个功能设计;然后根据 Basic Settings(基本设置)对话框中选择的优化条件进行排序。不同器件之间存在关联,因此必须从上至下依次选择器件。
结论
总之,ADP5070/ADP5071器件提供了一种低成本的可靠途 径,可以仅用一个控制器来产生两个供电轨。ADIsimPower设计工具支持完全定制设计,能够迅速构建鲁棒的双轨 设计。
参考文献
1 Ćuk,Slobodan和R.D. Middlebrook,“新型最优拓扑开关 DC-DC转换器的耦合电感和其他扩展功能”。开关模式电源转换的发展,第I卷和第II卷。Irvine,CA: Tesla Co.,1983年。
2Ridley,Dr. Ray,“用于电流模式控制的新型连续时间模 型”。Bradenton,FL:Ridley Engineering,1990年。






