ミックスドシグナルチップを使用するPCBの適切なグランド処理 - 最小インピーダンスの経路をたどる

2013年01月20日

Figure 1

   

要約

このチュートリアルでは、ミックスドシグナル設計用の適切なプリント基板(PCB)のグランド処理について解説します。ほとんどのアプリケーションの場合、グランドプレーンの切れ目のない単純な手法によって、この種のICを使用したPCBのレイアウトを成功させることが可能です。この文書では、電流がどこを流れるかという基本から説明を始めます。その後、クロストークの問題を最小限に抑えるための部品の配置および信号トレースの配線方法を説明します。最後に、電源電流について考えたあと、ここで学んだ内容を複数のミックスドシグナルICを備えた回路に拡張する方法について解説します。

同様の記事が2012年8月27日2012年9月11日、および2012年9月17日の3回にわたり「EDN」に掲載されました。

はじめに

基板レベルの設計者は、多くの場合、個別のアナログとデジタルのグランドを備えた集積回路(IC)のグランドの適切な処理について頭を悩ませます。その2つは完全に分離し、絶対に接触しないようにすべきでしょうか?両者を単一の点で接続し、グランドプレーンに切れ目を入れて強制的にこの単一点または「メッカ」グランドを通るようにすべきでしょうか?アナログとデジタルのグランドを必要とするICが複数存在する場合は、どうやってメッカグランドを実装すれば良いでしょうか?

このチュートリアルでは、ミックスドシグナル設計用の適切なプリント基板(PCB)のグランド処理について解説します。ほとんどのアプリケーションの場合、グランドプレーンの切れ目のない単純な手法によって、この種のICを使用したPCBのレイアウトを成功させることが可能です。次に、クロストークの問題を最小限に抑えるための部品の配置および信号トレースの配線方法を学びます。最後に、電源電流について考えたあと、ここで学んだ内容を複数のミックスドシグナルICを備えた回路に拡張する方法について解説します。

電流の追跡

接続された電気部品または電子部品の集合を「回路」と呼ぶのは、電流が常に供給源から負荷に流れたあとリターン経路を通って戻るという、一種の輪になっているためだということを思い出してください。あらゆるアナログ回路において、目的の動作を行うための方向と、結果として発生するリターン電流の両方について、電流がどこを流れるかを常に念頭に置くことは、正常な動作のための基本です。そして、まさに、すべてのデジタル回路はアナログ回路であり、2つの状態のみに意味を割り当てたサブセットです。トランジスタやその他の部品、および回路内の電流と電圧も、やはり他のアナログ回路と同様に物理法則によって動作します。他のすべての回路と同じように、リターン電流が発生します。

図1. 1つのICから別のICへの直接接続という単純な接続例

図1. 1つのICから別のICへの直接接続という単純な接続例

図1は、1つのチップから別のチップへの直接接続という、設計の中で最も単純な接続を示しています。理想世界の理想回路として考えると1、IC1の出力インピーダンスはゼロで、IC2の入力インピーダンスは無限大です。そのため、電流の流れは発生しません。しかし現実世界では、IC1からIC2に電流が流れるか、またはその逆に流れます。この電流はどうなるのでしょうか?単にIC2またはIC1が電気で満たされているのでしょうか?これは答えを必要としない冗談です。

実際には、IC1からIC2に流れた電流がIC1に戻ること(およびその逆の流れ)ができるように、IC1とIC2間にもう1つの接続が必要となります。この接続は通常はグランドであり、多くの場合、回路図のデジタル部分には示されません(図1)。せいぜい、図2Aに示すようにグランド記号の使用によって暗示される程度です。図2Bは、電流が流れるための完全な回路を示します。

図2. 図1の単純な回路にグランドを示したもの(2A)およびグランド電流経路を示したもの(2B)

図2. 図1の単純な回路にグランドを示したもの(2A)およびグランド電流経路を示したもの(2B)

もちろん、IC自体は電流の供給源ではありません。回路の電源が供給源です。話を単純にするために、単一電源レールで、電源はバッテリだとしましょう。説明すると、ICへの給電はコンデンサでバイパスします。

すべてのDC電流は、結局は電源から始まって電源で終了します。図3は、IC1が電流を供給する場合のDC電流の流れを表した完全な回路を示しています。

図3. IC1がDC電流を供給する場合

図3. IC1がDC電流を供給する場合

高周波数信号の場合(「高」かどうかは、ほぼバイパスコンデンサの容量と電源のインピーダンスで決まります)、電流はバイパスコンデンサから始まってバイパスコンデンサで終了します。図4は、高周波数信号の電流の流れを示しています。

図4. IC1が高周波数信号の電流を供給する場合

図4. IC1が高周波数信号の電流を供給する場合

忘れてはならない重要な点は、出力が常に電流の供給源とは限らないということです。たとえば、IC1の出力が、VDDへのプルアップ抵抗を備えたIC2の入力に接続されている場合を考えてください。図5はその状況での過渡(高周波数)電流の流れを示したもので、C2からの電流はIC2のプルアップを介してIC1のローサイドFETに流れ(FETはオンです)、さらにIC1のグランドリードを介してC2のグランドリードに流れます。IC1は「駆動側」デバイスですが、FETでグランドに短絡することによりその出力端子で電流をシンクしており、電流供給源はC2からIC2経由となります。

図5. IC2が高周波数の電流を供給する場合

図5. IC2が高周波数の電流を供給する場合

図5で、IC1の出力端子が長時間にわたりローのままの場合、そこに流れる静的電流は電源から直接供給されます(図6)。

図6. IC2がDC電流を供給する場合

図6. IC2がDC電流を供給する場合

ここまでの基本的な説明では、少し極端に簡素化したモデルを使用してきました。便宜上、信号を低周波数と高周波数に分け、まるで両者の間に明確な境界があるかのように扱いましたが、実際には常に両方の経路が存在します。図6で、IC1の出力が最初にロー状態に遷移するとき、電流はIC2のバイパスコンデンサから供給されます。これは、IC1の出力がIC2の入力端子に対してほぼ瞬時の電流を「要求」し、IC2の入力端子はこの電流をその電源端子から取得するためです。

まさにこの高速な電流の要求に対応するために、IC2のバイパスコンデンサはその電源およびグランド端子に対して非常に短い接続となるように配置されています。電源はそれほどICに近い位置ではないため、この過渡電流を供給することができません。このように、電源とIC2の電源端子間には、かなりの抵抗と(さらに重要な問題として)インダクタンスが存在します。電源では不可能な過渡(高周波数)電流を供給することこそ、ICにバイパスコンデンサを配置する理由です。過渡が落ち着くにつれて、より多くの電流が電源から供給され、バイパスコンデンサからの電流は減少して行きます。

この概念をさらに簡素化すると、DC電流は電源から供給され、AC電流はバイパスコンデンサから供給されるということになります。もちろん、実際にはこの説明よりも少し複雑です。

より動的な状況を考えると、すべての電流が上記の4つの経路の組み合わせを通って流れることが分かります。どちらの方向にも共通する経路は、供給源の部品(IC1またはIC2)の電源端子で始まり、その部品内を通過して相互接続されたもう一方の部品(IC2またはIC1)を通って進み、さらに第2の部品を通過してそのグランド端子に至ります。グランドから供給源部品の電源端子までの回路を電流がどのように完結させるかは、信号の速度に依存します。DC電流はすべて電源のグランドリードに戻り、電源の電源リードから供給源の部品の電源端子に流れます。高周波数信号の電流は、代わりに供給源の部品のバイパスコンデンサのグランドリードに戻り、それが電源端子への電流の供給も行います。現実には、両方の経路が常に関与し、低周波数信号の場合はDC経路が主になります。たとえデジタル信号が低レートで遷移する場合(たとえば、1Hzの方形波)であっても、過渡電流の原因となる状態遷移は、はるかに高い周波数の信号と同様に高速であることを忘れないでください。単に、高周波数ほど頻繁に遷移が発生しないに過ぎません。

もちろん、ここで取り上げているのは優れた設計であるため、バイパスコンデンサとICの電源およびグランド端子は非常に接近しています。このような適切なバイパス処理により、設計者の仕事は大幅に容易になります。PCB上の信号電流の流れを考える場合、通常はバイパスコンデンサとICを1つの実体と考えることができます。

最後に、高速AC信号の電源電流が移動するのは、バイパスコンデンサからそれがバイパスするICまでの非常に短い距離であることに注意してください。IC自体を通る経路も、もちろん短距離です。電流ループの距離の大部分は、1つのチップの出力からもう1つのチップの入力への相互接続およびグランドリターン経路が占めます。もう一度図4および図5を参照して、IC間を隔てる距離がより大きい場合にはどうなるかを考えてください。バイパスコンデンサはそれぞれのICに近い位置のままで、すべての距離は相互接続とグランドリターンに追加されます。高速信号電流の場合、問題が発生するとしたら、ここです。

デジタルおよびアナログ電源とグランド

上記の回路図では、ICおよび信号がデジタルかアナログかを特定しませんでした。IC1は出力段の低位側としてローサイドFETを備えたオペアンプで、IC2の端子はアナログ-デジタルコンバータ(ADC)への入力かも知れません。IC1は標準入出力端子用のプッシュプル出力を備えたマイクロコントローラで、IC2の入力はデジタル-アナログコンバータ(DAC)の制御端子という場合も良くあります。

ADCとDACを例に出したのは、これらの部品が一般的にアナログとデジタルの両方の信号にとってグランドの問題が発生する原因になるためです。

アナログ回路は、よりスムーズで連続的に変化する信号に使用される場合が多く、そこでは電圧または電流のわずかな変化が意味を持ちます。デジタル回路は、1つの状態から別の状態に突然遷移する場合が多く、電流のパルスが生成されます。1つの状態に対応する電圧の範囲も広くなります。デジタル信号とアナログ信号が相互に適切に分離されていない場合、遷移中のデジタル電流のこれらの相対的に大きく鋭いパルスによって、精密なアナログ信号が圧倒される可能性があります。

最小インピーダンスの経路

電流は最も抵抗が低い経路を流れるという法則は広く理解されており、日常的な表現として使われるほどです。残念ながら、これが成り立つのはDC電流の場合のみです。この法則をより完全かつ正確に表すと、電流は最もインピーダンスが低い経路を流れるということになります。

DCにとっては、インピーダンスの抵抗成分のみが問題になります。ソリッドグランドプレーンの場合、上記の格言では直線が最小抵抗値の経路となります。実際には、電流はより遠回りの経路も流れます。グランドプレーンの単位距離当りの抵抗は非常に均一であるため、特定の経路を経由する電流の量は距離に反比例します。したがって、ほとんどの電流は最小抵抗値の直線経路を流れ、その直線経路から離れた経路ほど次第に流れる電流が少なくなります。簡単にすれば、電流はかなり広い範囲に拡散し、最大の電流がその直線に沿って移動することを理解した上で、DC電流は直線経路を流れるものとして表します。

ここで我々にとって最も重要な信号、すなわちある程度の速度のAC信号では、インピーダンスのリアクタンス成分も考慮する必要があります。

グランドプレーン層が信号層に隣接しているPCBの場合、インピーダンスは明確に定義され、トレースの寸法、トレースとグランドプレーンを隔てる基板層の厚さ、基板の材質、および信号の周波数によって決定されます。これらの既定条件に対するすべての数学的詳細は、このチュートリアルの範囲を超える話題です。幸い、すべての計算を理解しなくても、これらの概念を使用して十分な結果を得ることができます。このチュートリアルの最後に記載されている参考文献で詳細が解説されています。

最初に示した、2つのIC間が1本のトレースで接続されている非常に単純な例を考えてみます(図1)。今回は、それらがPCB上に配置され、遠回りの経路でトレースが引かれている状態を示します(図7)。

図7. 単純な遠回りのトレース

図7. 単純な遠回りのトレース

ここでは、各ICのグランド接続が、トレースの接続点の近くに配置されたソリッドグランドプレーンだと想定します。リターン電流は、1つのICのグランド接続からもう1つのICのグランド接続に流れる必要があります。ソリッドグランドプレーンを使用しているため、最小抵抗値の経路(したがってDC電流の経路)は直線になります(図8の青い矢印)。高周波数では、トレースとその下のグランドプレーン間の相互インダクタンスにより、最小インピーダンスのグランド経路はトレースの真下になります(図8の赤いトレース)。

図8. グランドリターン電流経路が示す最小抵抗値の経路(青)と最小インピーダンスの経路(赤)

図8. グランドリターン電流経路が示す最小抵抗値の経路(青)と最小インピーダンスの経路(赤)

しかし、「高周波数」とは何でしょうか?一般的なガイドライン2として、数百kHz以上の周波数では信号トレースの真下の経路をリターン電流が流れます。実際に我々がどのくらいの周波数から上を「高」と考えるかは、トレース、基板の各種寸法(トレースの太さ、層間の間隔)、および基板の材質(誘電率)で決まります。リターン電流がトレースに従うかどうかに関して、ほとんどの一般的な場合ではその周波数の正確な値について気にする必要はありません。

この現象の数学的な取り扱いは非常に複雑で、(筆者にとっては)非常に難解です。幸い、Bruce Archambeault博士がこの問題についての発表を行っており3、親切にも以下の図を提供してくれています。これらの図は、ページを埋め尽くす数式よりもはるかに分かりやすく視覚的にこの問題を示してくれます。

図9は、グランドプレーンの上に「U」型のトレースを配置した例の寸法を示します。

図9. この例の物理的寸法(図はBruce Archambeault博士の好意により転載)

図9. この例の物理的寸法(図はBruce Archambeault博士の好意により転載)

Archambeault博士はさまざまな周波数の信号の電磁的シミュレーションを行い、どの経路で電流が流れるかを調べました。もちろん、それぞれの場合の順方向の信号電流はトレースに束縛されます。しかし、リターングランド電流はグランドプレーン上のどこでも流れることができます。

図10は、1kHzの信号の場合に電流がどう流れるかを示しています。グランド電流は、細い黄色の線が示すように、主として負荷から供給源まで直線状に流れます。少量のグランド電流が信号経路に沿って流れ(水色)、プレーンの大半を占める濃い青が示すように、さらに少量がこれらの2つの経路の中間を流れます。

図10. 負荷から供給源へと直線状に流れる1kHzのグランド電流(図はBruce Archambeault博士の好意により転載)

図10. 負荷から供給源へと直線状に流れる1kHzのグランド電流(図はBruce Archambeault博士の好意により転載)

図11は、50kHzの信号が主として信号トレースに沿って流れ(トレースの経路に沿った幅の広い緑色の線)、より少量が負荷から供給源への直線上(トレースの両端を結ぶ、よりかすかな、幅の広い、緑色の線)および中間を流れます。中間の領域は、最小の電流の流れを示す濃い青ではなく水色になっています。

図11. いたるところを流れる50kHzのグランド電流(図はBruce Archambeault博士の好意により転載)

図11. いたるところを流れる50kHzのグランド電流(図はBruce Archambeault博士の好意により転載)

最後に、図12は1MHzの信号による電流経路を示しています。ほぼすべてのリターングランド電流が、信号トレースの経路に沿って流れています。

図12. 信号トレースに沿って流れる1MHzのグランド電流(図はBruce Archambeault博士の好意により転載)

図12. 信号トレースに沿って流れる1MHzのグランド電流(図はBruce Archambeault博士の好意により転載)

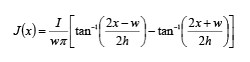
予想されるように、リターン電流はプレーン上でトレース自体よりも広範囲に拡散します。これらの高周波数での電流の分布は、次式によって与えられます。4

式1.

ここで、
J(x)は電流密度、
Iは総電流、
wはトレース幅、
hは基板層の厚さ(プレーンからトレースまでの高さ)、
xはトレースの真下からどこまで電流を測定するかを示します(図13を参照)。

図13. 基板の断面

図13. 基板の断面

注目すべき重要な点として、式1は周波数に依存しません(前述のように、この場合も周波数が十分に高いと仮定します)。式1を評価すると、トレースの中心の真下にピークがあるガウス分布に近い分布が得られます。x = −h ~ x = hの範囲の電流を合計すると、総電流の50%がこの範囲にあることが分かります。さらに、電流の80%はx = −3h ~ x = 3hの間にあります。直観的に予想されるように、基板層が薄いほど(すなわち、トレースがプレーンに近いほど)、電流の分布は狭い範囲に集中します。

バイパスコンデンサが重要

このチュートリアルですでに説明したように、どんな回路でも電流の流れをより完全に説明すると各ICおよび電源にバイパスコンデンサが含まれます。ここでは図8で示した2つのICによる簡略化された回路例からスタートします。次に、図14でバイパスコンデンサを含めます。この図は、IC1を供給源とする電流経路を示しています。この例では、信号層に隣接した層にソリッドグランドプレーンが存在し、信号層は部品層であると想定しています。電力はこの表面層上の灰色で示す太いメタルトレースを使用して分配されます。グランドプレーンへの接続は、信号層の緑色のメタルセクションからグランドプレーンへのビアによって行われます。

図14. 完全な電流経路(IC1が供給源)

図14. 完全な電流経路(IC1が供給源)

信号/部品層の信号電流は破線で示されています。それらは我々が配置を決める信号トレースに厳密に束縛されるため、最も容易に理解することができます。リターン電流はプレーン全体にわたり流れることができます。DC電流は最小抵抗の経路を通って流れるため、DCリターン経路は負荷デバイス(この場合はIC2)のグランド端子から電源のグランド接続に最短距離の直線状で流れることが分かります。高周波数(過渡)電流は信号トレースの下を流れ、周囲への分布はトレースと基板の寸法で決まります。

中間的な信号の場合について、さらに詳しく電流の流れを考えてみましょう。最初に、十分に周波数が低いため、ほぼすべての電流がコンデンサから流れるのではなく、電流のかなりの部分が電源から流れる場合について考えます。この場合も相互インダクタンスが存在するため電流は信号トレースの下を通って戻りますが、分布はもちろん大幅に広くなります。また、トレースの下を流れるリターン電流がICに到達したあと、そのすべてがコンデンサのグランドに戻るわけではありません。代わりに、コンデンサから供給される電流のうち一定の割合がそのグランドに戻り、残りは電源のグランドに戻ります。最後に、周波数が低くなるほど相互インダクタンスの影響が減少し、より多くの電流がDC経路を通って流れることになります。

幸い、この中間的な場合については、高周波数とDCの場合を扱うための作業によってすでに対処されていますが、ICのバイパス処理と電力の分配の両方についても適切な作業を行うことが条件です。この後者の2つの項目は、実際には同じ作業の2つの側面です。電源を給電対象のICから遠ざけて配置するほど、両者の間のインピーダンス(抵抗とインダクタンスの両方)が増大します。また、両者を接続するトレースの幅を細くした場合にも同じことが発生します。相互接続によって示される電源とIC間のインピーダンス(リターンインピーダンスを含めるのを忘れないこと)が大きいほど、低周波数の電流の供給をバイパスコンデンサに依存する割合が大きくなります。そのため、電源インピーダンスが大きいほど、より大きい容量が必要になります。

繰り返しになりますが、ICでの適切な電源バイパスの要件を満たす必要があります。

完全を期するために、IC2が供給源の場合の電流の流れを図15に示します。

図15. 完全な電流経路(IC2が供給源)

図15. 完全な電流経路(IC2が供給源)

信号/部品層の相互接続トレースに注目してください。信号電流とACリターン電流の矢印の方向のみが変わっています。この場合、IC2のVDD端子を介してIC2の信号端子にAC信号電流を供給するのはC2 (IC2のバイパスコンデンサ)です。IC1に届いた信号電流はIC1のグランド端子を介してグランドに流れます。AC部分は信号経路の下のグランドプレーン上を戻り、DC部分は直線で電源に戻ります。

グランドは等電位ではない

この段階で、EE101コースで教わった内容に反して、グランドプレーンは等電位ではないことを理解しておくことが重要です。まず、グランドプレーンの銅がどれだけ厚くても、必ず抵抗が存在します。そのため、アナログとデジタルのリターン電流(または任意の2つの電流)がグランドプレーンの一部を共有する場合(すなわち、それらの電流が同じ金属を通って流れる場合)、銅の抵抗によってIR電圧降下が発生するため、両者の間にクロストークが存在することになります。2つの異なる部品のグランド端子がほぼ同じ位置でグランドプレーンに接続され、それぞれの電流が基板の反対側で1つのポイントに戻る場合を考えてください。この経路に沿ったプレーンの銅抵抗を0.01Ωとし、部品Aが1Aを供給するのに対して部品Bからの電流は1µAであるとします。これらの部品が接続されている側のグランド電圧は、電流が戻る位置のグランド電圧より10mV高くなります。わずか1µAを出力する部品Bでさえ、リターンポイントにかけて10mVの上昇が発生します。部品Aからの電流が1A~0Aで交番する場合、部品Bを基準とするすべての電圧はこの電流とともに10mVだけ上下に変動します。

デジタル回路とアナログ回路が併存する場合、リターン経路の共有はしばしば問題を引き起こします。共有により、高精度アナログ回路の適切な動作が妨害されます。

グランドプレーンの電圧が不均一になるもう1つの原因は、電気長です。周波数が高くなると、プレーンを通る電流経路の長さが基板上を伝播する信号の波長に対してかなりの割合になる可能性があります。このチュートリアルでは、この事実については追求しません。短いほど良いと考えれば十分です。

知識をひとつに

PCB上での電流の流れの基本を理解したところで、この知識を使ってミックスドアナログ-デジタルICの適切なグランド処理に着手することができます。究極的には、デジタルとアナログの電流が同じリターン経路のさまざまな部分を共有しないようにすることが目標になります。

ここまでの説明から、デジタル信号とアナログ信号のリターン経路の共通部分を最小限に抑えれば良いのではないかと気づくはずです。実際、それが目標です。これができれば、「汚い」デジタル信号によって「きれいな」アナログ信号が汚されるという問題の主な原因を排除することができます。

一般的には、グランドプレーンをデジタル区画とアナログ区画に切り分けることが想定されます。これは出発点として妥当です。あとで分かるように、すべてを適切にレイアウトした場合、性能を変化させることなく切れ目を埋めることができます。

グランドプレーンの切断...暫定的に

最初に、アナログとデジタルの両方の回路を備えた唯一の部品として一般的なADCが基板に実装された状態を考えます。次に、一点グランドとするためにグランドプレーンに切れ目を入れる位置を決定します。

図16は、そのADCチップの端子接続を示します。電源およびグランド端子のみに明確なラベルが付けられています。他のラベルは単にその接続がアナログ端子用かデジタル端子用かを示すもので、それらの具体的な機能は重要ではありません。アナログ端子は、いくつかの信号入力端子の1つである場合や、リファレンス入力または出力の場合もあります。デジタル端子には、シリアルまたはパラレルインタフェースの一部、制御端子、またはチップセレクトなどがあります。以下の解説では、それぞれの固有の機能に関係なくすべて同様に扱います。

図16. ADCのIC

図16. ADCのIC

デジタル端子同士が隣接しており、アナログ端子も同様で、アナログとデジタルのグランドが隣接していることに注意してください。チップの設計者も基板の設計者と同じ現実に対処する必要があるため、これは珍しいことではありません。また、デジタルグランド端子が2つあることにも注意してください。これは、チップ内のグランド電流がチップの端から端に流れることで問題が発生するのを防ぐために必要な場合があります。

この場合はアナログとデジタルの端子がうまくグループ分けされているため、(暫定的な)グランドプレーンの切れ目を入れる場所を非常に容易に決定することができます。

図17. 切れ目を入れたグランドプレーン上のADC

図17. 切れ目を入れたグランドプレーン上のADC

図17ではグランドプレーンが青で示されており、隣接するアナログおよびデジタルのグランド端子の位置がそのまま一点グランドになっています。一般に、切れ目の入ったグランドプレーンをこのように使用する場合、設計者はすべてのデジタルチップおよび関連部品を切れ目の一方の側に配置し、すべてのアナログチップおよび関連部品を反対の側に配置します。こうすることにより、それぞれのグランド端子がグランドプレーンの適切な部分に接続されます。この例の場合は、ADCがアナログとデジタルの両方の端子および信号を備えた唯一のデバイスだということを思い出してください。

この作業をしっかり行い、すべてのデジタル部品が完全にグランドプレーンのデジタル部分に配置され、すべてのアナログ部品がもう一方の部分に配置されたとします。まだ終わりではありません。信号トレースの配線について考える必要があります。

信号トレースの配線

まず、この設計で使用する他のICから図18に示すようにデジタル信号を配線した場合を考えます。

図18. 不適切なデジタルトレースの配線

図18. 不適切なデジタルトレースの配線

このトレースはかなりの長さにわたってアナログ区画に配線されており、2カ所でグランドの切れ目をまたいでいます。デジタルトレースがアナログ領域を通る結果になり、それによってアナログ信号が汚される可能性があるため、ほとんどの設計者はこれが不適切な形だと分かるはずです。それは正しいのですが、多くの場合、それがどれほど問題になるかは十分に理解されません。AC電流がどこを戻るか考えてみましょう。

図19. 不適切なデジタルトレースのグランドリターン

図19. 不適切なデジタルトレースのグランドリターン

図19は、リターン電流をオレンジで示しています。切れ目に出会うまでは、信号トレースに従っていることに注意してください。そこから切れ目の反対側に到達するには、一点グランドを通るしかありません。その結果、高周波数成分を含んだデジタル電流がアナログ回路のグランドを通ることになる(我々が避けようとしていたことです)のみでなく、これらの信号を放射する2つの見事なループアンテナを作ってしまったことになります。

このグランドに切れ目を入れる方法が効果を発揮するためには、デジタルとアナログの部品が切れ目のそれぞれの側から出ないようにするにともに、トレースもはみ出さないようにする必要があります。

この要件を満たした場合はどうなるでしょう?図20は、すべての信号トレースがグランドの切れ目をまったく横切ることなく配線された状態を示します。リターン電流は信号トレースの下を流れ、信号トレースとグランドプレーンを隔てるものはPCB自体の厚さのみであるため、ループ領域が最小限に抑えられます。

図20. すべてのトレースが適切な側に配線された状態

図20. すべてのトレースが適切な側に配線された状態

図20のグランド電流を詳しく見てみましょう。どの電流もグランドプレーンの切れ目を横切ることを「欲求」しません。これは、すべての接続が(デジタルもアナログも)それぞれのグランド領域の上になるように、我々が注意深く部品を配置したためです。その後、すべてのトレースが適切な領域から出ないように配線したためです。どの電流も切れ目を横切らないため、切れ目は何の役割も果たさなくなり、除去することができます(すなわち、金属で埋めることができます)。

電源はどうなるか?

どの信号リターン電流も切れ目を横切ることを「欲求」しないため、この例のレイアウトからグランドの切れ目を除去することに決めました。しかし、電源接続について考慮する必要があります。アナログとデジタルの両方の電力がまったく同じ電源から供給される場合、電源とそのリターンは切れ目のどちらか一方の側に存在する必要があります(図20)。この場合、切れ目の反対側からのすべてのDCリターン電流(および周波数が十分に低いためかなりの電流がバイパスコンデンサではなく電源から供給される場合)は、電源のリターン接続にまっすぐ向かうのではなく、狭いグランドブリッジを漏斗状に通過する必要があります。これによって経路が長くなり、遭遇する抵抗が大きくなるため、電圧降下が増大します。

ADCの端子が信号電流をシンクする際のリターングランド電流にとっては、このレイアウトで問題ありません。これらの電流はグランド端子から戻りますが、それらの端子はどちらもブリッジに位置しているためです。しかし、他の部品のグランド端子からの電流は、遠回りの経路をたどる必要があります。図21は、これらの電流を示します。

図21. 切れ目がある場合のDCグランド電流

図21. 切れ目がある場合のDCグランド電流

切れ目の除去

切れ目を除去した場合、DCリターン電流はより直線的に流れることが可能になり、抵抗が小さくなるため、電圧降下も減少します。図22は、同じグランド電流が切れ目を除去した場合にどうなるかを示します。

図22. 図21の回路からグランドの切れ目を除去した状態

図22. 図21の回路からグランドの切れ目を除去した状態

これと同じ考え方を、複数のレールが存在する状況にも拡張することができます。単一レールの場合とまったく同様に、リターン電流がどこを流れるかを念頭に置き、複数のレールを考慮に入れる必要があるに過ぎません。

複数のミックスドシグナルICのグランド処理の難しさ

切れ目を入れたグランドプレーンの問題は、アナログとデジタルの両方のグランドを必要とするICが2つ以上存在する設計を考える場合により明白になります。上記と同じADCが2つあると想定しましょう。図23はこの構成を示しており、目的の一点グランドの実現が難しいことを示しています。

図23. 切れ目を入れたグランドプレーン上の2つのADC

図23. 切れ目を入れたグランドプレーン上の2つのADC

この状況に対して即座に思いつく対策は、ADCの一方を180°回転させ、両者を合体させて一点グランドにするというものです。しかし、それでは一方の回路のデジタル部分はICの上の方、アナログ区画はICの下の方になり、もう一方の回路では配置が反転することになります。その結果は、アナログ信号とデジタル信号が互いに邪魔をし合う混乱状態です。たとえそれを何とかすることができたとしても、アナログとデジタルの両方のグランドを備えたチップが3つ以上の場合には問題の解決になりません。

幸い、1つのミックスドシグナルICの場合と同じグランド処理の原則を適用することが可能です。そこに切れ目があると想像するか、もし想像力が足りないなら、一時的に切れ目を入れます。次に部品を配置し、トレースが切れ目を横切らないように配線します。また、ADC1のアナログ信号がADC2のアナログ信号とグランド経路を共有しないようにする必要があるかも知れません。各ADCの回路用の部品は隣のADCよりもそのADC自身の近くに配置するのが当然であるため、通常は容易にこれを行うことができます。図24はその結果の例を示しており、信号電流を赤い線で、ACリターン電流をオレンジの線で表しています。

図24. すべてのトレースが切れ目の適切な側に配線された状態

図24. すべてのトレースが切れ目の適切な側に配線された状態

1つのミックスドシグナルICの例と同様、どの電流も切れ目を横切ることを「欲求」しないため、切れ目を除去することが可能です。

これと同じ考え方を、さらに複雑な状況にも拡張することができます。一般に、どんな信号についても電流がどこを流れるか考え、同じメタルを流れる他の電流を妨害する(あるいは乱される)可能性を検討するのは良いことです。ほとんどのアプリケーションにはそれで十分です。

切れ目が有効な場合

目的とするコネクタ配置などのさまざまな機械的制約によって、保護すべき回路から電流の流れ(特に低周波数またはDC電流)を遠ざけておくことが困難な状況があります。それらの場合、慎重にグランドプレーンに切れ目を配置するという手段が必要になる可能性があります。

そのような面倒な事態を回避したいという思いは、プロジェクトの初期段階でPCBの部品配置および配線とともにコネクタの機械的配置を検討する十分な動機になります。設計の最初からレイアウトを意識してコネクタが配置されていると、最終的なレイアウトが大幅に容易になり、きれいになり、そして最も重要な点として、適切に動作します。

機械的配置と信号の流れの相互作用を慎重に考慮したとしても、外的な要件によって、一部の電流が望ましくない場所に流れるのを防ぐことが困難になるような位置にインタフェースを配置せざるをえなくなる状況は容易に発生します。

図25は、デジタル、アナログ、および電源の各インタフェースがシステム要件によって特定の位置に決められている基板を示します。巧みな作業によって、ノイズの多いデジタル成分が敏感なアナログ回路に隣接して、しかし分離して配置されています。上記のように、アナログとデジタルの両方を備えたチップは境界線となる領域に慎重に配置されています。

図25. 外部インタフェースの位置が固定されたデジタルおよびアナログ基板

図25. 外部インタフェースの位置が固定されたデジタルおよびアナログ基板

電源レギュレータについても優れた作業が行われており、アナログとデジタルの高周波数のグランドリターンが経路を共有しにくくなっています。しかし、DCおよび低周波数の電源電流はすべて最小抵抗の経路である直線を通って左下角にある電源グランドに戻ることを思い出してください。

その結果、デジタル区画の右下の領域からのDCおよび低周波数の大電流が、敏感なアナログ回路を通過することになります。これを修正するには、アナログとデジタルの回路区画間に基板右端まで続く水平の切れ目を配置する方法があります。しかし、この切れ目を横切ってデジタル区画とアナログ区画間にインタフェース信号を配線するのは望ましくありません。切れ目を迂回してこれらのトレースを配線すると、長い、遠回りの経路をたどることになるため、特に配線の数が多い場合や非常に高速な信号の場合、ほとんど非現実的です。

もう1つの方法は、アナログ回路とアナログレギュレータ間に垂直の切れ目を配置し、デジタル電源のリターン電流がアナログ回路から離れた位置を流れるようにするというものです。その場合は、切れ目を迂回してアナログ電源を配線することも必要になります。図26は、この方法を使用した場合を示します。

図26. グランドに切れ目を入れたアナログおよびデジタル基板

図26. グランドに切れ目を入れたアナログおよびデジタル基板

こうすると、デジタル回路から電源グランドへの最小抵抗のDC経路は、もう直線ではなくなります。代わりに、切れ目の上部を通る経路になるため、アナログ回路を(その純粋さを汚すことなく)迂回します。この配置が妥当な場合もあります。しかし、図のように複数のアナログ電源レールが存在する場合は、この方法も大変になる可能性があります。

場合によってはアナログレギュレータ自体が敏感で、アナログ回路を正常に動作させるために低ノイズを必要とする場合があります。図27は、別の配置を示します。概念としては、アナログレギュレータが切れ目に対してアナログ回路と同じ側にあること以外、図26の場合と同じです。

図27. 同じ基板でアナログレギュレータを移動した状態

図27. 同じ基板でアナログレギュレータを移動した状態

ノイズの多いスイッチングレギュレータのあとに、フィルタおよびアナログ回路用のローノイズリニアレギュレータが続く場合があります。電流がどこを流れるかを常に考慮しながら、同様の考え方でノイズの多いスイッチングレギュレータの配置を決定することができます。

基板レベルの設計者が遭遇することが増えているもう1つの状況は、高周波数信号の信号完全性です。周波数が高くなってGHzの範囲に入ると、相互に近接して並行するトレース間にクロストークが発生します。そのために、話がより複雑になります。すでにグランドプレーン上に1つのトレースがある単純な場合で学習し、Archambeault博士による1MHzの信号のシミュレーション(図12)で見たように、リターン電流は信号トレースの真下の領域には収まらず、はるかに広い範囲を流れます。近接した平行なトレースのリターン電流が混じり合うことは容易に想像が付きます。周波数が高くなり、トレースが波長に対してより大きい割合になるほど、信号が相互に妨害し合う可能性が高くなります。5

結論—電流がどこを流れるかに注意すること

ミックスドシグナルPCB設計の問題の多くは、「電流がどこを流れるかに注意すること」という単純な助言に従うことによって回避することができます。ほとんどの場合、DCおよび低周波数は大部分が供給源と負荷間を結ぶ最小抵抗の直線経路を流れ、高周波数の信号は最小インピーダンスの経路(すなわち信号トレースの真下)を流れるという、2つの基本原則を覚えておけば十分です。中間の周波数は、両方の経路および2つの経路の中間を流れます。

切れ目を使って異なる回路間の相互作用を防止するという考えは、それが起きないように配慮して部品の配置とトレースの配線を行う限り、ほとんどの場合は必要ありません。常に部品を自由に配置することができるとは限らないため、グランドプレーンの切れ目が必要になる場合もあります。この場合も、すべての電流の流れを考慮して、うまく切れ目を配置してください。また、どの層でも信号が切れ目を横切らないようにすることも忘れてはなりません。

これらの厄介な電子がどこを流れたがるかを常に考えることによって、あなたの仕事はずいぶん楽になります。最後に、「母親は常に信頼して良いが、「グランド」は絶対に信頼してはいけない」6ということを覚えておいてください。

引用

1 理想世界では、我々はこのことのみを理解すれば十分でしょう。理想世界は存在しないか、少なくとも、我々が扱っている世界は理想的ではないと思われます。

2 Henry W. Ott著、「Electromagnetic Compatibility Engineering」、John Wiley and Sons刊、ニュージャージー州ホーボーケン、2009年、p 393

3 Bruce Archambeault、IEEE® EMC Society Newsletter、2008年秋、第219号、「Part II: Resistive vs. Inductive Return Current Paths」、pp 81-83

4 Ott、p 392

5 この非常に重要な主題はこのチュートリアルの範囲を超えますが、下記の参考文献および信号完全性に関するその他の多数の書籍で詳しく解説されています。

6 Paul Brokaw、「An IC Amplifier User's Guide to Decoupling, Grounding, and Making Things Go Right for a Change」、Analog Devices社アプリケーションノートAN-202

myAnalogに追加

myAnalog のリソース セクション、既存のプロジェクト、または新しいプロジェクトに記事を追加します。

新規プロジェクトを作成

この記事に関して

製品カテゴリ

最新メディア 21

Subtitle
さらに詳しく
myAnalogに追加

myAnalog のリソース セクション、既存のプロジェクト、または新しいプロジェクトに記事を追加します。

新規プロジェクトを作成