要約
クロック(CLK)の信号品質に関する本アプリケーションノートは、周期ジッタ、サイクル間ジッタ、および累積ジッタなどのジッタおよび位相ノイズの測定法を説明します。本アプリケーションノートは周期ジッタと位相ノイズスペクトラムの関係および位相ノイズスペクトラムを周期ジッタに変換する方法を説明します。
クロック(CLK)信号はほとんどすべての集積回路または電子システムに必要です。今日の世界ではディジタルデータはますます高速で処理または伝送され、他方アナログとディジタル信号間の変換は、より高分解能かつより高速のデータ速度で行われます。これらの機能はクロック信号の品質に特別な注意を払うことを技術者に要求します。
クロックの品質は通常、ジッタまたは位相ノイズ測定によって表されます。よく使用されるジッタ測定は周期ジッタ、サイクル間ジッタ、および累積ジッタです。これらのジッタの中で周期ジッタが最もよく現れます。クロックの位相ノイズ測定ではクロック信号のスペクトラムを調べます。
本論文は最初にクロックの周期ジッタおよび位相ノイズの測定構成を簡単に検討します。その後、周期ジッタおよび位相ノイズスペクトラムの間の関係を説明します。最後に位相ノイズスペクトラムを周期ジッタに変換する簡単な式を示します。
周期的ジッタと位相ノイズ:定義と測定
周期ジッタ
周期ジッタ(JPER)は測定されたサイクル周期と理想的なサイクル周期の間の時間差です。このジッタはランダム性であるため、ピークトゥピークまたは実効値(RMS)で測定することができます。はじめにクロックの立上りエッジがスレッショルドVTHをクロスする点をTPER(n)と定義します。ここで、nは図1に示す時間領域における指標です。数学的にはJPERを次のように表すことができます:

ここで、T0は理想的なクロックサイクルの周期です。クロック周期は一定であるため、ランダムな量のJPERはゼロの平均値を持たなければなりません。したがって、JPERのRMSは次の式で計算することができます:

ここで<•>は期待される演算です。図1はクロック波形におけるJPERとTPERの間の関係を示します。
位相ノイズスペクトラム
位相ノイズスペクトラムL(f)の定義を理解するために、最初にクロック信号のパワースペクトラム密度をSC(f)と定義します。クロック信号をスペクトラムアナライザに接続すると、SC(f)曲線が得られます。位相ノイズスペクトラムL(f)は、その場合、クロック周波数fCにおけるSC(f)のピーク値の、fにおけるSC(f)の値に対する比をdBで表した減衰度として定義します。図2はL(f)の定義を示しています。
数学的には、位相ノイズスペクトラムL(f)は次のように記述されます:

L(f)は周波数fCとfにおける2つのスペクトラム振幅の比を表したものであることを思い出してください。L(f)の意味を次の項で説明します。
周期ジッタ(JPER)の測定
周期ジッタの測定に使用される他の測定器があります。この測定を行うために大抵は高精度のディジタルオシロスコープを使用します。クロックジッタがオシロスコープのトリガージッタよりも5倍を上回る大きさの場合は、クロックの立上りエッジでトリガーして、次の立上りエッジでクロックジッタを測定することで、クロックジッタを獲得することができます。図3は試験対象のクロックからトリガー信号を生成するスプリッタを示します。これはディジタルオシロスコープのクロック源から内部ジッタを除去する方法です。
スコープのトリガー遅延の期間を高周波クロックの期間よりも長くすることが可能です。この場合、クロックがスクリーン上に見えるようにトリガー後の最初の立上りエッジを遅延させる遅延ユニットを試験構成の中に挿入しなければなりません。
ジッタの測定にはさらに正確な方法が幾つかあります。これらの方法のほとんどは高速度ディジタルオシロスコープからサンプルしたデータのポストサンプリングプロセスを使用して、式1と式2で定義した方法に従ってジッタを推定します。このポストサンプリング法によって高精度の結果が得られますが、これはハイエンドのディジタルオシロスコープでのみ実行可能です[2、3]。
位相ノイズスペクトラムL(f)の測定
前述の式3が示すように、L(f)はスペクトラムアナライザを使用してクロック信号のスペクトラムSC(f)からじかに測定可能です。しかし、この方法は実用的ではありません。L(f)の値は通常100dBcより大きく、それはほとんどのスペクトラムアナライザのダイナミックレンジを超えます。さらに、fCがアナライザの入力周波数限界を超える場合もあります。したがって、位相ノイズを測定する実用的な方法はfCのスペクトラムエネルギを除去する試験構成を使用します。この方法は通過帯域信号をベースバンドに復調する方法に似ています。図4はこの実用的な試験構成と試験構成の異なったポイントでの信号スペクトラムの変化を示します。
図4に示す構成は通常、搬送波抑圧復調器と呼ばれています。図4でn(t)はスペクトラムアナライザの入力です。次にn(t)のスペクトラムを適切にスケール変換すると、L(f)のdBc値を得ることができることを示します。
RMS周期ジッタと位相ノイズ間の関係
フーリエ級数展開を使用すると、矩形波のクロック信号はその基本調波の正弦波信号と同じジッタの振る舞いをすることを示すことができます。この性質によってクロック信号のジッタ解析がずっと容易になります。位相ノイズを含むクロック信号の正弦波信号は次の式で表すことができます:

そして、周期ジッタは次の式になります:

式4から、正弦波信号が位相ノイズΘ(t)によって位相変調されていることが分かます。位相ノイズは常にπ/2よりも小さいため、式4は次の式で近似可能です:

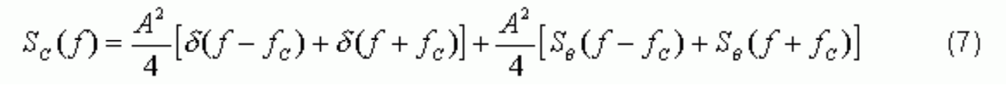
すると、C(t)のスペクトラムは次の式で表されます:

ここで、SΘ(f)はq(t)のスペクトラムです。L(f)の定義を使用して、次のことが分かります:

これはL(f)がdBで表したSΘ(f)と同じであることを示しています。この式は、また、L(f)の真の意味を説明しています。
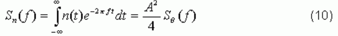
このように図4の試験構成によってL(f)の測定が可能であることを示しました。さらに信号C(t)がcos(2πfCt)とミックスされてローパスフィルタでフィルタされることが分かります。このように、スペクトラムアナライザの入力で信号n(t)は次のように表すことができます:

スペクトラムアナライザに現れるスペクトラムは次の式で表されます:

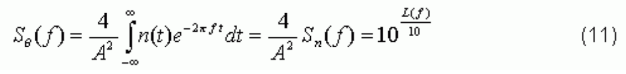
したがって、次のように位相ノイズスペクトラムのSΘ(f)とL(f)を得ることができます:

すると、L(f)はA²/4でスケール縮小してからn(t)のスペクトラムからじかにdBcで読み取ることができます。
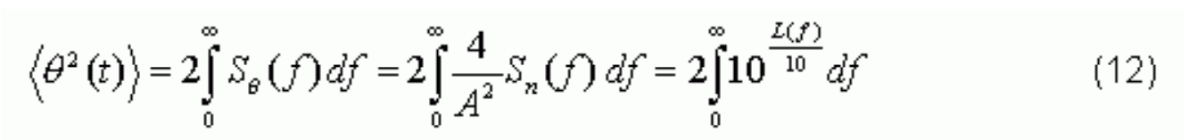
式11からΘ(t)の自乗平均(MS)は次の式で計算することができます:

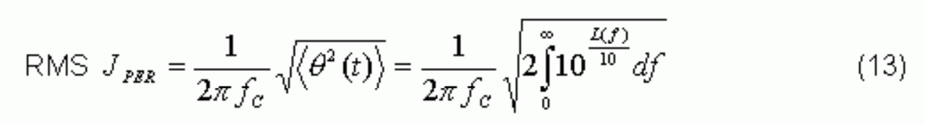
先に示した式5に続いて、最後に周期ジッタのJPERと位相ノイズスペクトラムのL(f)の間の関係を示します。

SONETや10Gbのような幾つかのアプリケーションでは、技術者はある周波数帯域でジッタを監視するのみです。そのような場合、ある帯域内のRMS JPERは次の式で計算することができます:

L(f)からのRMS JPERの近似
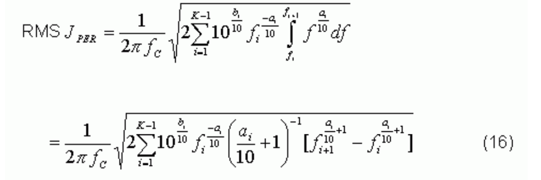
L(f)の周波数軸はlogスケールで表された場合、位相ノイズは通常、区分線形関数によって近似することができます。そのような場合、L(f)は次のように表すことができます:

ここでK-1は区分線形関数の区分数であり、U(f)はステップ関数です。図5を参照してください。
式15で示したL(f)を式14に代入すると、次の式が得られます:

これを示すために、次の表はfC = 155.52MHzとした区分線形のL(f)関数を表します。
| Frequency (Hz) | 10 | 1000 | 3000 | 10000 |
| L(f) (dBc) | -58 | -118 | -132 | -137 |
次に、次の式でaiとbiを表します:

この結果を表2に示します。
| i | 1 | 2 | 3 | 4 |
| fi (Hz) | 10 | 1000 | 3000 | 10000 |
| ai (dBc/decade) | -30 | -29.34 | -9.5 | N/A |
| bi (dBc) | -58 | -118 | -132 | -137 |
表2の値を式16に代入すると、次の式が得られます:

同じ帯域とした図4の試験構成によって測定された同じクロックのRMSジッタは4.2258psです。したがって、位相ノイズをジッタに変換するための提案する近似法は全く正しいことが証明されました。この例では誤差は4%未満です。
位相ノイズスペクトラムのエンベロープが与えられれば、式16は必要とするジッタ限界を推定するために使用することも可能です。
例としてにコード化された式が記載された簡素なスプレッドシートファイルがアップされました。
まとめ
このアプリケーションノートは時間領域で測定されたジッタと周波数領域で測定された位相ノイズの間の正確な数学的な関係を示しています。信号の完全性とシステムタイミングについて関心を持つ多くの技術者はこの関係について疑問を持つことがしばしばあります。この論文に提示した結果は明らかにこの疑問に答えてくれます。その数学的な関係に基づいて、位相ノイズスペクトラムから周期ジッタを推定する方法を提案しました。この方法は2つの測定値間の定量的な関係をすぐに確立する方法を用いることができ、それはシステムおよび回路のアプリケーションまたは設計に大きく役立ちます。




