アナログ・ダイアログの2017年12月号から、アクティブ・ラーニング・モジュール「ADALM1000」について紹介しています。今回も、引き続きこのSMU(ソース・メジャー・ユニット)モジュールを使用し、小規模かつ基本的な測定を行う方法を説明します。ADALM1000に関する以前の記事は、こちらからご覧になれます。

目的
今回は、RC回路、RL回路、RLC回路の有効電力、無効電力、皮相電力を実際に測定してみます。また、RL直列回路の力率の改善に必要なコンデンサの値について、実測を交えながら検討してみます。
背景
時間の経過と共に電圧と電流が変化する場合、与えられた負荷に対して供給される電力も、時間と共に変化することになります。このように時間と共に変化する電力は、瞬時電力と呼ばれます。ある瞬間の電力は、符号が正の場合もあれば負の場合もあります。正の場合、電力は負荷に供給されて熱として消費されるか、またはエネルギーとして負荷に蓄積されます。負の場合には、負荷から電力(負荷に蓄積されたエネルギー)が放出されるということを意味します。負荷に供給される有効電力(実電力)は、瞬時電力の平均値です。
電圧と電流が交流(AC)の正弦波形として供給される場合、RC、RL、RLCのそれぞれが負荷となる回路で消費される有効電力P( 単位はW) は、抵抗だけで消費されます。コンデンサやインダクタのように理想的なリアクタンス素子では、有効電力は消費されません。リアクタンス素子では、交流信号の半分の周期でエネルギーが蓄積され、残り半分の周期で放出されます(供給側に送り返されます)。リアクタンス素子でやり取りされる電力は、無効電力Qと呼ばれます。その単位としては、バール(Var:volt-ampere reactive)が使われます。
負荷で消費される有効電力Pは、次式で求められます。

ここで、Rは負荷の抵抗成分、Iは電流の(真の)実効値です。
一方、負荷における無効電力は、次式で求められます。

ここで、Xは負荷のリアクタンス、Iは交流電流の実効値です。
負荷に交流の実効電圧Vが印加され、交流の実効電流Iが流れているとき、皮相電力Sは実効電圧と実効電流の積で求められます。その単位としては、VAが使われます。皮相電力は次式で求められます。

負荷に抵抗成分とリアクタンス成分の両方がある場合、皮相電力は有効電力も無効電力も表しません。直流(DC)の電力を求める式と同じものになりますが、この式では電圧波形と電流波形に位相差があり得ることが考慮されていません。そのため、皮相電力(Apparent Power)と呼ばれています。
有効電力、無効電力、皮相電力の関係は、電力三角形(ベクトル図)で表すことができます。図2に示すように、有効電力は底辺、無効電力は高さ、皮相電力は三角形の斜辺に対応づけられます。

この図から、Sは次式で求められます。

角θの余弦は力率pf(Power Factor) と呼ばれます。力率は有効電力Pと皮相電力Sの比であり、次式で表されます。

ここで、θは負荷にかかる電圧(負荷電圧)の波形と、負荷を流れる電流(負荷電流)の波形の位相差です。力率は、負荷電流が負荷電圧より遅れているとき(誘導性)に遅れ、負荷電流が負荷電圧より進んでいるとき(容量性)に進むと考えられます。
有効電力は、次式のように皮相電力と力率の積として求められます。

負荷で消費される有効電力(単位はW)は、抵抗に流れる真の実効電流と抵抗値から、次式のようにして求められます。

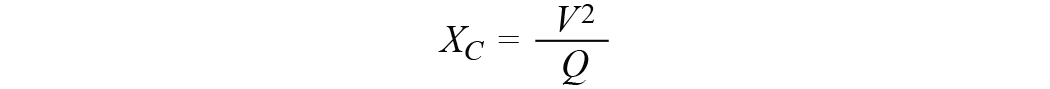
図3のようなRC回路における無効電力は、次式によって求まります。

ここで、VCはコンデンサ両端の実効電圧、Iはコンデンサを流れる実効電流、XCは容量性のリアクタンスです。
一方、図6のようなRL回路における無効電力は、次式を使うことで算出できます。

ここで、VLはインダクタ両端の実効電圧、Iはインダクタを流れる実効電流、XLは誘導性のリアクタンスです。
そして、図8 ( a) のようなRLC回路における無効電力は、次式を使って求められます。

ここで、VX = VC - VLはリアクタンス全体(C、Lのリアクタンスの合算値)にかかる実効電圧、Iはリアクタンスを流れる実効電流、X = XC - XLはリアクタンス全体です。リアクタンス全体にかかる実効電圧は、コンデンサの電圧VCとインダクタの電圧VLの位相差が180°であることから、両者の差に等しくなります。
力率の改善
一般に、大型のACモーターのような誘導性の負荷に対しては、力率の改善が必要になります。力率を1( ユニティ)にするには、ピーク電流を抑える必要があります。そのため、力率をできるだけ1に近づけるようにインダクタンスを補償するというのが、効果的な手法となります。それによって、有効電力と皮相電力(VI)の値を近づけることができます。力率は、誘導性の負荷に対して並列にコンデンサを接続することで改善されます。
ここでは、図6の回路の力率を改善するために付加すべき適切なコンデンサの値を検討します。そのためには、まず元のRL回路の無効電力を把握する必要があります。これについては、電力三角形を描くことで求めます。電力三角形は、有効電力、皮相電力、力率の角度θがわかれば描くことが可能です。そして、元の回路の無効電力がわかれば、次式によって力率の改善に必要な容量性リアクタンスXCを算出することが可能です。

ここで、VはRL回路にかかる実効電圧です。上の式は、以下のように変形することができます。

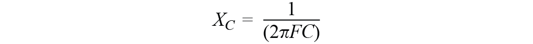
XCとして必要な容量値は、周波数Fを使い、次式によって求めることができます。

この式は、次式のように変形できます。

モータのRL負荷に、補正用のコンデンサを並列に接続すれば、力率は1に近づきます。すなわち、電圧と電流は同相になります。また、有効電力は皮相電力とほぼ等しくなります。
準備するもの
- ADALM1000
- ソルダーレス・ブレッドボード、ジャンパ線
- 抵抗:47Ω(1個)、100Ω(1個)
- コンデンサ:10μF(1個)
- 抵抗:47mH(1個)
RC回路に関する説明
C100Ωの抵抗R1、10μFのコンデンサC1を使って、ソルダーレス・ブレッドボード上に図3のRC回路を構成します。すなわち、図4のようにして、回路を構成するということです。緑色の枠によって示しているように、ADALM1000との間には、3本の接続が必要です。回路が完成したら、ソフトウェア・モジュール「ALICE」のオシロスコープ機能を起動します。


手順1
スコープのメイン・ウィンドウの右側で、「CA-V」と「CB-V」のオフセットを調節するために、2.5という値を入力します。この実験では、負荷に対して交流信号(正負の電圧)を印加する必要があります。また、すべての測定値は2.5Vのコモン・レールを基準とします。続いて、「CA-I」と「CB-I」の垂直位置の設定値として、0を入力します(スコープ画面の下部)。垂直方向の目盛は、現在、0を中心として-2.5~2.5の範囲になっているはずです。さらに、「CA-I」の垂直方向の目盛を5mA/Divに設定してください。

チャンネルAのAWG(任意信号発生器)の「Min」の値を1.08Vに設定します。また、「Max」の値は3.92Vに設定します。これにより、2.5Vを中心とする2.84Vp-p(約1Vrms)のサイン波が、入力電圧として回路に印加されます。その周波数は250Hz、位相は90°に設定します。AWG Aの「Mode」ドロップダウン・メニューから、「SVMI」モードを選択します。次に、AWG Aの「Shape」ドロップダウン・メニューから、「Sine」を選択します。さらに、AWG Bの「Mode」ドロップダウン・メニューで「Hi-Z」モードを選択します。
続いて、「Curves」ドロップダウン・メニューで「CA-V」、「CA-I」、「CB-V」を表示の対象として選択します。「Trigger」ドロップダウン・メニューでは、「CA-V」と「Auto Level」を選びます。
この構成は、オシロスコープのチャンネルAによって回路を駆動する交流の電圧/電流信号を観測し、チャンネルBによって抵抗にかかる電圧を観測するためのものです。コンデンサの両端の電圧は、単純にチャンネルAとチャンネルBの測定値の差になります(「Math」ドロップダウン・メニューで、「CAV - CBV」を選択します)。ここで、「Sync AWG」セレクタがチェックされていることも確認してください。
このソフトウェアを使えば、チャンネルAの電圧波形と電流波形を表示したり、チャンネルBの電圧波形の実効値を算出したりすることができます。また、チャンネルAとチャンネルBの電圧波形について、各点の差の実効値を算出することも可能です。この実験に当てはめて言えば、コンデンサ両端の電圧の実効値を求められるということです。これらの値を表示するために、「Meas CA」ドロップダウン・メニューにおいて、「-CA-V-」セクションの下で「RMS」と「CA - CB RMS」を選択し、「-CA-I -」セクションの下で「RMS」を選択します。さらに、「Meas CB」ドロップダウン・メニューの「-CB-V-」セクションの下で「RMS」を選びます。他には、CA-V、CA-I、CB-Vの最大値(正のピーク値)なども表示するとよいかもしれません。
ここまでの設定を終えたら、「Run」ボタンをクリックします。画面のグリッド上に2周期分以上のサイン波を表示できるよう、時間の基準を調整します。「Hold Off」は4.0ミリ秒に設定しましょう。チャンネルAの電圧、チャンネルBの電圧、チャンネルAの電流、「Math」メニューで設定した「CA - CB」の電圧という、計4本のトレースが表示されるはずです。ここでは100Ωの抵抗を使用しており、電流の垂直方向の目盛は5mA/Divです。そのため、この抵抗を流れる電流のトレースは、垂直方向の目盛を0.5V/Div(0.5mA × 100Ω = 0.5V)に設定すると、チャンネルBのトレース(抵抗の両端の電圧)のすぐ上に表示されます。
RC回路全体にかかる電圧の実効値(CHA V RMS)、R1を流れる電流(この直列回路のチャンネルAにおける電流) の実効値(CHA I RMS) 、抵抗にかかる電圧の実効値(CHB V RMS)、コンデンサ両端の電圧の実効値(A-B RMS)を記録してください。

次に、これらの値を使って、RC回路の有効電力Pを求めます。また、無効電力Q、皮相電力Sを算出してください。
算出したP、Q、Sの値を使って、図2のような電力三角形を描きます。そして、このRC回路の力率pfとθを求めます。
オシロスコープのトレースは、電圧(緑色で示されたチャンネルAの電圧のトレース)と電流(青色で示されたチャンネルAの電流のトレース)の時間軸上の関係を表しています。表示マーカーまたは時間カーソルを使って、これら2本のトレースがゼロと交差する点の時間の差を測定してください。それらの値から、電圧と電流の位相角を測定し、その角θを使って力率を求めます。
このようにして得た値を、P、Q、Sと電力三角形から得た値と比較してください。力率は遅れているでしょうか、進んでいるでしょうか。なぜ、そうなるのでしょうか。
RL回路に関する説明
ALICEのDC抵抗計ツールを使って、47mHのインダクタのDC抵抗の値を測定します。RL回路全体の直列抵抗は、インダクタの抵抗成分と47Ωの抵抗R1の総和になります。有効電力と無効電力の算出には、この全体の直列抵抗を要素として盛り込む必要があります。
ソルダーレス・ブレッドボードを使い、図6の回路を構成しましょう。抵抗R1は47Ω、インダクタL1は47mHとします(図7)。


手順2
準備が完了したら、「Run」ボタンをクリックします。画面のグリッド上に2周期分以上のサイン波を表示できるよう、時間の基準を調整してください。「Hold Off」は4.0ミリ秒に設定しましょう。チャンネルAの電圧、チャンネルBの電圧、チャンネルAの電流、「Math」メニューで設定した「CA - CB」の電圧という、4本のトレースが表示されるはずです。
RL回路全体にかかる電圧の実効値(CHA V RMS)、R1を流れる電流(この直列回路のチャンネルAにおける電流) の実効値(CHA I RMS) 、抵抗にかかる電圧の実効値(CHB V RMS)、インダクタ両端の電圧の実効値(A-B RMS)を記録してください。
これらの値を使って、RL回路の有効電力P、無効電力Q、皮相電力Sを求めましょう。
算出したP、Q、Sの値を使い、図2のような電力三角形を描きます。そして、このRL回路の力率pfとθを求めてください。
オシロスコープのトレースは、電圧(緑色で示されたチャンネルAの電圧のトレース)と電流(青色で示されたチャンネルAの電流のトレース)の時間軸上の関係を表しています。表示マーカーまたは時間カーソルを使って、これら2本のトレースがゼロと交差する点の時間の差を測定し、その値から、電圧と電流の位相角を測定します。この角θを使って、力率を求めます。.
このようにして得た値を、P、Q、Sと電力三角形から得た値と比較してください。力率は遅れているでしょうか。それとも進んでいるでしょうか。なぜ、そのようになるのでしょうか。
RLC回路に関する説明
ソルダーレス・ブレッドボードを使って、図8(a)に示すRLC回路を構成します。図8(b)のように、抵抗R1は47Ω、コンデンサC1は10μF、インダクタL1は47mHとします。


手順3
RLC回路については、各素子の両端の実効電圧を測定する必要があります。図8(a)に示す構成において、チャンネルBは、C1とL1をつなぐノードに接続されています。そのため、C1の両端の実効電圧は、CAとCBの波形の差から得ることができます。一方、チャンネルBは、L1とR1をつなぐノードに接続されています。そのため、R1にかかる実効電圧は、CBの波形から直接得ることが可能です。RLC回路全体にかかる電圧の実効値(CHA V RMS)、R1を流れる電流(この直列回路のチャンネルAにおける電流)の実効値(CHA I RMS)、抵抗にかかる電圧の実効値(CHB V RMS)を記録してください。加えて、CHBがC1とL1の間のノードに接続されているときにコンデンサの両端にかかる電圧の実効値(A-B RMS) 、CHBがL1とR1の間のノードに接続されているときのL1とC1の総リアクタンスも記録します。
インダクタL1にかかる実効電圧も把握しなければなりません。この負荷回路全体のインピーダンスは、直列に接続した部品の並び順を図8(c)に示すように入れ替えても変化しません。そして、図8(a)のコンデンサの場合と同じ方法により、CAとCBの波形の差からL1にかかる実効電圧を得ることができます。RLC回路全体にかかる電圧の実効値(CHA V RMS)、R1を流れる電流(この直列回路のチャンネルAにおける電流) の実効値(CHA I RMS) 、抵抗にかかる電圧の実効値(CHB V RMS)、インダクタ両端の電圧の実効値(A-B RMS) を記録してください。そして、負荷を流れる電流だけでなく、回路全体に関する値やR1にかかる値は、図8(a)の回路における測定結果と同じになるかどうかを確認します。同じ結果が得られるとしたら、なぜそうなるのでしょうか。
各測定値を使って、RLC回路の有効電力P を求めます。L、Cの総リアクタンスに加え、L、Cそれぞれの無効電力Q、皮相電力Sも求めてください。
続いて、チャンネルAで印加する信号の周波数を250kHzから500Hzに変更し、再度、RLC回路の実効電圧を測定してみてください。有効電力、無効電力、皮相電力はどのように変化するでしょうか。負荷電流は遅れているでしょうか。それとも進んでいるでしょうか。なぜ、そのようになるのでしょう。
さらに、チャンネルAで印加する信号の周波数を125Hzに下げて、RLC回路の実効電圧を測定してみてください。有効電力、無効電力、皮相電力はどのように変化するでしょう。負荷電流は遅れていますか。それとも進んでいますか。なぜ、そうなるのでしょうか。
力率の改善に関する説明
図9に示したのは、力率の改善について検討するための回路です。図6のL1と並列にコンデンサC1を加えています。


図6の回路についての測定結果と、先述した力率の改善に関する式を使って、印加電圧の周波数が250Hzの場合にC1の値はどうあるべきなのか算出してみます。実際の回路では、計算値に最も近い標準コンデンサ(または、標準コンデンサを並列接続したもの)をC1として使用することになります。
手順4
図6のRL回路の場合と同様に、回路全体にかかる電圧の実効値(CHA V RMS)、R1を流れる電流(この直列回路のチャンネルAにおける電流)の実効値(CHA I RMS)、抵抗にかかる電圧の実効値(CHB V RMS)、インダクタ両端の電圧の実効値(A-B RMS)を記録してください。
それらの値を使って、回路の有効電力P、無効電力Q、皮相電力Sを求めます。
算出したP、Q、Sの値を使い、図2のような電力三角形を描いてください。それを使って、RL回路の改善後の力率pfとθを求めます。その値を図6のRL回路で求めた値と比較します。求めたコンデンサの値は、pfを1にするために最適な値にどの程度近づいたでしょうか。なぜ差が生じるのか考察してください。
付録
違う値の部品を使用する
記事中で指定された値の部品の入手が容易でない場合には、違う値を選択することもできます。部品のリアクタンス(XCまたはXL)を変更した場合、同時に周波数も変更することで対処できます。例えば、記事中で使われている47mHではなく、4.7mHのインダクタを使用するとします。その場合には、交流信号の周波数を250Hzから2.5kHzに変更してください。10.0μFのコンデンサの代わりに1.0μFのコンデンサに使用したいといった場合にも、同様の方法で対処できます。
RLC用のインピーダンス・メータを使用する
ALICEは、直列接続した抵抗RとリアクタンスXの測定に使用できるインピーダンス・アナライザ/RLCメータの機能を備えています。このツールを使用し、本稿で扱った実験で使用するR、L、Cについての測定を行うと、実験結果の検証に役立つでしょう。

答えはStudentZoneブログで確認できます。
問題
- 一般に、力率の改善おいては、どのような事柄が効果をもたらしますか。
- 力率を改善するための最も一般的な方法とは、どのようなことですか。
注記
アクティブ・ラーニング・モジュールを使用する記事では、本稿と同様に、ADALM1000に対するコネクタの接続やハードウェアの設定を行う際、以下のような用語を使用することにします。まず、緑色の影が付いた長方形は、ADALM1000が備えるアナログI/Oのコネクタに対する接続を表します。アナログI/Oチャンネルのピンは、「CA」または「CB」と呼びます。電圧を印加して電流の測定を行うための設定を行う場合には、「CA-V」のように「-V」を付加します。また、電流を印加して電圧を測定するための設定を行う場合には、「CA-I」のように「-I」を付加します。1つのチャンネルをハイ・インピーダンス・モードに設定して電圧の測定のみを行う場合、「CA-H」のように「-H」を付加して表します。
同様に、表示する波形についても、電圧の波形は「CA-V」と「CB-V」、電流の波形は「C A - I 」と「CB- I」のように、チャンネル名とV( 電圧) 、I( 電流)を組み合わせて表します。
本稿の例では、ALICE(Active Learning Interface for Circuits and Electronics)の Rev 1.1 を使用しています。
同ツールのファイル(alice-desktop-1.1-setup.zip)は、こちらからダウンロードすることができます。
ALICEは、次のような機能を提供します。
- 電圧/電流波形の時間領域での表示、解析を行うための2チャンネルのオシロスコープ
- 2チャンネルのAWG(任意信号発生器)の制御
- 電圧と電流のデータのX/Y軸プロットや電圧波形のヒストグラムの表示
- 2チャンネルのスペクトル・アナライザによる電圧信号の周波数領域での表示、解析
- スイープ・ジェネレータを内蔵したボーデ・プロッタとネットワーク・アナライザ
- インピーダンス・アナライザによる複雑なRLC回路網の解析、RLCメーター機能、ベクトル電圧計機能
- 既知の外付け抵抗、または50Ωの内部抵抗に関連する未知の抵抗の値を測定するためのDC抵抗計
- 2.5Vの高精度リファレンス「AD584」を利用して行うボードの自己キャリブレーション。同リファレンスはアナログ・パーツ・キット「ADALP2000」に含まれている
- ALICE M1Kの電圧計
- ALICE M1Kのメーター・ソース
- ALICE M1Kのデスクトップ・ツール
詳細についてはこちらをご覧ください。
注) このソフトウェアを使用するには、PC にADALM1000を接続する必要があります。

