数字控制实现带有源缓冲的高可靠性DC-DC功率转换
一般而言,在高输出电流隔离式DC-DC电源应用中,使用 同步整流器(尤其是MOSFET)是主流趋势。高输出电流还 会在整流器上引入较高的di/dt。为了实现高效率,MOSFET 的选择主要取决于导通电阻和栅极电荷。然而,人们很少 注意寄生体二极管反向恢复电荷(Qrr)和输出电容(COSS)。这 些关键参数可能会增大MOSFET漏极上的电压尖峰和振铃。 一般而言,随着MOSFET击穿电压额定值的增大,导通电阻 也会增大。本文提出一种数控有源钳位吸收器。该吸收器 既可消除同步整流器上的电压尖峰和振铃,还能发挥设计 指南作用;在隔离式DC-DC转换器(如半桥和全桥拓扑结 构)中拥有多种其他优势,同时还能提高可靠性,降低故 障率。
简介
人们总是希望使用平均故障间隔时间(MTBF)较高的高可靠性电 源。要打造稳健的设计,可以使用额定击穿电压较高的开关。 但这样做会丧失一定的效率。因此,高效率和高可靠性在实际应用中往往不可兼得。作为新一代电源解决方案的一部分,工 业界一直对高效率隔离式DC-DC转换器保持着稳定的需求。这 就要求在副边使用同步整流器。整流器的额定值一般是器件电 压尖峰的1.2至1.5倍。电压尖峰由漏感、寄生走线电感和整流 器输出电容(COSS)形成的谐振所导致,谐振峰值可能高达整流器 稳态反向电压的两倍。一种解决方案是用无源吸收器充当RC1或 RCD2。虽然这些器件非常流行,但有损耗,会导致效率略微下 降。用于制造无损吸收器的部分技术采用的是再生吸收器(如 LCD3),但吸收器仅用于原边开关,或者只在电源开关关闭而 非开启期间使用RC吸收器。其他技术4,5运用泄漏电能来驱动小 型高效率转换器,馈入输出电压终端。但这要求使用更多的元 件。其他技术6则将有源钳位吸收器用于全桥相移拓扑结构,以 便消除在ZVS软开关应用中由原边谐振电感导致的谐振,但仅 限于低占空比应用。
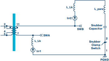
本文将深入探讨有源钳位吸收器电路及其数字实现方式,该吸 收器电路可以避免电压偏移,特别是能消除MOSFET中寄生二极 管的反向恢复损耗,还具有多种其他优势。转换器(仅副边) 功率级示意图如图1所示。

图1. 功率转换器副边(图中所示为有源钳位)
图1展示的是一款隔离式DC-DC转换器的副边。副边由同步整流 构成,同步整流表现为连接变压器的H-桥。另外还有输出滤波 器电感(LOUT)和输出滤波器电容(COUT)。有源钳位开关是一个P沟道 MOSFET,用于转换栅极信号电平的栅极驱动由一个电容和一个 二极管构成。
高频等效电路
在高频视图中,大电感和大电容分别处于开路和短路状态,电 路分析中只使用寄生和谐振电感及电容。利用这种方法可以简 化电路,以便分析交流电流。该方法特别适用于谐振拓扑结构 和使用吸收器的场合,因为在缓冲周期中,高频电流会选择阻 抗最低的路径。
电路的交流视图如图2所示。输出滤波电感和电容分别处于开 路和短路状态。在电路中,MOSFET的输出电容和漏电电感保持 原样。重点是转换器的副边,因为原边电压源已短路并且对分 析无用。

图2. (左)功率转换器副边AC视图(图中所示为有源钳位)(右)简化的AC视图。
同步FET有源钳位电路的工作原理
在分析中,我们假设,吸收器电容足够大,能维持电压恒定不 变。在续流间隙(在图3中,SR1和SR2均开启),四个副边开 关(MOSFET)全部开启。受有限上升和下降时间以及栅极驱动信 号传播延迟变化的影响,同步整流器信号之间始终存在较短的 死区时间。在该死区时间期间,MOSFET的寄生二极管会导通以 续流。其后是下一半开关周期,此时,原边MOSFET的另一个引 脚启动。这会导致变压器绕组上的极性发生变化,同时关闭同 步整流器体二极管。然而,只要反向恢复电荷(Qrr)未耗尽,同 步MOSFET的寄生二极管就不会关闭。方向如图2所示。该Qrr被 视为作为前沿尖峰从变压器反映到原边的多余电流。这还会增 大同步MOSFET漏极上的电压尖峰。反向恢复电荷的大小由下式 计算得到:


图3

图4a. trr间隔捕获反向恢复能量期间的工作情况

图4b. 负载中释放的能量
漏电电感和走线电感(极性如图2所示)导致的电压尖峰由有 源钳位吸收器吸收。有源吸收器开关可以在寄生二极管开启后 在ZVS时打开。然而,当有源钳位吸收器开启时,吸收器电容会 吸收反向恢复电流并把捕获的能量重新注入副桥和负载中。由 于通过吸收器电容的净电流为零,所以只要转换器工作于稳态 下,吸收器就会维持电荷平衡。
设计指南
1. 估算漏电电感
让转换器在无吸收器的条件下工作,测量同步MOSFET漏极上振 铃电压尖峰的谐振频率和周期(f1)。另外,测量原边电流波形上 的前沿尖峰(应等于trr)。要估算漏电电感,要使电容的已知 值(C2)至少比MOSFET漏极/源极电容大一个数量级。用下式测量 振铃频率(f2),计算电容(COSS)和漏电(LLK)电感:


2. 选择有源钳位吸收器电容
选择一个输出电容至少为同步MOSFET输出电容10至100倍的吸 收器电容。这是因为有源吸收器开关会有一条低阻抗路径。然 而,吸收器电容的选择必须做到:

其中,Ts为开关周期。
在下列最小延迟条件下打开有源钳位吸收器:

这两项为驱动器的传播延迟和原边MOSFET的驱动信号上升时 间。这个时序非常重要,因为必须捕获MOSFET体二极管的全部 反向恢复能量。该时间取决于同步MOSFET体二极管的反向恢复 特性(Qrr、trr、Irr),可能随器件上的温度、负载电流和反向电 压等因素而变化。延迟时间和吸收器导通时间可以用本文所述 方法精确设置以针对不同的开关特性进行优化。
确定钳位电容值的另一种方法是使用以下公式。该公式基于谐 振周期,在此期间,将漏电电能释放到钳位电容中。

该值的范围为:

为了避免在第1点上观察到过多的振铃,导通时间应不超过一个 或两个谐振周期,否则,会出现过多的连续振铃。或者,吸收 器的导通时间可以取上面第1点中观察到的前沿尖峰的导通时间 的近似值(如trr)。过多的导通时间只是会导致能量再谐振几 个周期,可以在原边电流波形中看到这一点(图8和图9)。
3. 选择吸收器开关
(1)的一个简化版本是使用MOSFET数据手册中的最差条件限值。 以下公式更加详细地展现了电容中电流的情况:

使用因子2是因为考虑的只是半个开关周期,对于全桥或半桥 拓扑结构,该过程发生两次。另外,在图1中,由于两个开关 关闭,所以反向恢复电荷会增加一倍。因此,总电流为:

其中,在全桥配置下,C为2;在中心抽头配置下,C为1;N为 并联的MOSFET数目。这是通过有源吸收器开关的平均电流。
数字实现
有源钳位吸收器的数字实现有两个控制:控制1是吸收器延 迟(自触发器边沿的吸收器PWM边沿中的可调延迟)。控制2 为吸收器PWM导通时间。触发点为H桥对边引脚原边PWM上升 沿的逻辑OR(如OUTC和OUTD)。吸收器PWM并不要求像主控 PWM分辨率一样高的分辨率(如125 ps)。结果,触发所需时 钟能支持较慢的速率(5 ns分辨率),这样还能节能(40倍系 数)。这一概念也可以运用到副边上有中心抽头的功率转换拓 扑结构。另外,该概念也可以用于单个开关,在这些开关中, 每个功率晶体管上会放置一个分立式有源钳位开关吸收器单 元。在这种情况下,有源钳位FET的驱动信号取自同步整流器 的下降沿。

图5. 吸收器PWM的数字实现
ADP1055数字控制器提供了实现这一目标的必要工具。借助直观 简单的图形用户界面,只需几分钟就能完成有源钳位吸收器的 优化。ADP1055提供了两个选项来设置吸收器PWM,即通过SR1 和SR2的逻辑组合或通过OUTC和OUTD信号的逻辑组合。在两种 情况下,可以用两个选项配置吸收器PWM,如图6和图7所示。 在上述所有情景下,都可以用吸收器延迟(设置死区时间)和 吸收器导通时间微调优化参数。借助两个信号的逻辑组合和极 性选择功能,用户完全可以自由地选择适当的吸收器组合。

图6. 使用选项1(SR1和SR2)的吸收器时序

图7. 使用选项2(OUTC和OUTD)的吸收器时序
全桥拓扑结构的实验结果
为了进行实验验证,选择的隔离式DC-DC转换器,其额定输入 为48 V,额定输出为12 V、20 A,开关频率为125 kHz。拓扑结构 为全桥,带一个副边,如图1所示。
图8展示了使用不正确的吸收器导通时间会导致多余振铃,同时 还展示了同步MOSFET的振荡漏极电压,后者也反映在原边电流 中。前沿尖峰也很严重,会导致不必要的EMI。

图8. 过多的吸收器导通时间
图9所示为优化的吸收器导通时间,其中,在同步MOSFET的漏 极电压上无振铃。同时,前沿尖峰也几乎消除了。

图9. 优化的吸收器时序
图10所示为同步MOSFET在有源钳位吸收器不存在条件下的漏 极电压。电压偏移可能非常严重,达稳态电压的1.5倍,并且 MOSFET有可能进入雪崩条件。

图10. 不存在有源钳位吸收器
图11所示为有源钳位吸收器的有效性。前沿尖峰被完全消除, MOSFET漏极上无振铃。

图11. 存在有源钳位吸收器

图12. 0 A负载条件下的吸收器有效性
绿线:SR漏极,10 V/div
蓝线:钳位FET栅极-源极电压,5 V/div
黄线:负载电流,10 A/div
半桥拓扑结构的实验结果
对半桥拓扑结构进行了额外的实验验证,额定输入为48 V,额 定输出为9 V、200 W,开关频率为180 kHz。

图14. 有源钳位吸收器禁用
红线:SR1漏极,5 V/div
蓝线:SR2漏极;5 V/div
绿线:吸收器PWM,5 V/div
布局考虑
图8所示为上述半桥拓扑结构的布局。关键点是通过缩短环路 或将其限制在较窄区域,减小钳位环路的寄生电感。否则会降 低钳位的有效性,并在钳位周期内导致高频振铃。

图19. 有源钳位吸收器布局
结论
本文展示了有源钳位吸收器电路在隔离式DC-DC转换器高 输出电流应用中的数字实现方式。提出的有源-钳位方案 具有多种优势,比如更低的钳位电压,可以降低MOSFET 额定击穿电压, 从而提高效率。同时还消除了振铃, 结 果可以减少电磁干扰(EMI)。这是一种低成本的简单电路, 驱动方案也很简单。另外, 与需要额外电感的其他有源 吸收器相比,还可以节省PCB板空间。整体而言,电源的 可靠性得到了大幅提升。此外, 消除了前沿尖峰, 结果 降低了对原边开关的压力。另外, 更高的效率可以降低 发热量, 这对散热困难的受限区域中的模块非常有用。
ADP1055数字控制器提供了实现上述任务的必要工具,无需编写 复杂的程序或代码。ADP1055还支持多种其他功能,比如黑盒、 软停、命令掩码、非线性增益等。




