一种简单的测量土壤湿度和pH值(带温度补偿)的方法
本文说明如何测量土壤湿度和pH值,以及如何利用这种测量(例如)让作物快速生长。
图1所示电路是一种完整的单电源、低功耗、高精度解决方案,用于土壤湿度和pH值测量,包含温度补偿功能。每个模拟传感器来自三个独立的测量部分的测量值被馈送至模数转换器(ADC),然后模数转换器(ADC)将它们以数字形式转发给一个微控制器,以进行进一步的信号处理。ADI公司提供的24位Σ-Δ ADC AD7124 就是一个合适的ADC示例,该器件是一款适合高精度测量应用的全集成式低噪声模拟前端。其输入可以配置为差分输入或单端/伪差分输入。此外,AD7124具有可编程放大器级,以确保小幅度信号可以直接接入。

图1. 进行土壤湿度、pH值和温度测量的简化电路。
pH值测量
因为pH传感器一般具有较高的阻抗输出(约1 GΩ),无法驱动ADC输出,所以需要一个高精度运算放大器来缓冲传感器输出。由于传感器的输出阻抗高,为了最小化偏置误差,低运算 放大器输入偏置电流就非常重要。在本电路设计中,使用了ADA4661-2 轨到轨运算放大器。pH传感器提供双极性输出,输出的最大信号为±414 mV。AD7124的内部偏置生成器可用于将其输入共模电压设置为 AVDD/2, 从而在传感器输出端产生 AVDD/2 ± 414。
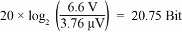
组件的噪声特性对测量系统的分辨率也有影响。AD7124(全功率模式,增益 = 1,输出数据速率 = 25 SPS)的有效噪声为 VNOISE, EFF = 570 nV, 因此产生峰峰值 VNOISE, PP = 3.76 µV (6.6 × VNOISE, EFF)。ADA4661-2的噪声组件 VNOISE, PP = 3 µV 添加之后,产生的总噪声为 VNOISE, PP, TOTAL = 4.8 µV。因为ADC的最大输入电压范围为6.6 V,导致无噪声分辨率为:

土壤湿度测量
目前常用的土壤湿度传感器通常是电容式,通过介电常数来测量水分含量。由于水比土壤中的其他元素具有更高的介电常数,因此传感器可以通过电容变化来检测含水量的变化。图1所示的电路使用3线传感器(电源、接地和电压输出)。为了使功耗最小化,传感器大部分时间都处于睡眠模式,只有在需要测量时才通过 VSENSOR 激活。
在噪声特性方面,由于传感器与ADC直接相连,因此与pH测量值相比,无噪声分辨率略高:

温度测量
由于电极涂层和老化过程,pH传感器的行为随时间而变化。为了保持高的准确度,定期校准必不可少。为此,通常要测量已知的液体,并与NIST参考表中给出的相应温度的pH值进行比较,这些参考表应随附在软件中。温度测量采用三线电阻温度检测器(RTD)进行,如图2所示。由于AD7124的可编程励磁电流源,RTD可以直接连接到ADC (IOUT1, IOUT2)。

图2. RTD温度测量电路。
结论
如图所示,土壤湿度和pH值的测量相对容易。由于pH传感器对温度的依赖性很强,所以需要通过额外的温度测量进行温度补偿。
关于作者
他毕业于德国莫斯巴赫的联合教育大学电气工程专业,之后在德国康斯坦茨应用科学大学获得国际销售硕士学位。