TNJ-065 : フォトダイオード・アンプ(電流電圧変換)の周波数特性を考える(後編)周波数特性の改善方法を考える
はじめに
フォトダイオード・アンプ(電流電圧変換)回路は簡単そうでとても奥の深い回路です。その考察とか解析で最初にひっかかるところが、周波数特性とノイズ特性についてではないでしょうか。この技術ノートはその後編としてお届けするものです。
前回はフォトダイオード・アンプの周波数特性を決める支配的要因がフォトダイオード自体の接合容量𝐶𝑗だと説明し、帰還抵抗𝑅𝐹 とで形成される時定数により、ループ・ゲインが-12dB/Oct で低下を始め、本来の(1 次遅れ系の)-6dB/Oct よりも低下が急になり、より高速なOP アンプに変えても、思ったように周波数特性が伸びないということ、改善率がGB 積の比の平方根になるということを説明しました。
今回はもう少しこのようすを見ていき、どのようにすれば周波数特性を改善できるかを考えていきましょう。
いきなり本題からそれる「酔」技術ノート
フォトダイオードは半導体ですので、当然ながら半導体物理を基礎にしています。ここで出てくる用語に「フェルミ準位」とか「フェルミ・エネルギ」というものがあります。この業績を残したエンリコ・フェルミ(Enrico Fermi)[1]は物理学者だそうですが、理系以外の一般人にも活用できる「フェルミ推定」[2]という手法を編み出した人でもあります。
私も初めてフェルミ推定という用語を聞いたときは「エンリコ・フェルミと同じ名なんだな、面白いものだ」と思いました。少しして、これがこの物理学者が編み出した手法、つまり同じ人であることを知り、たいへん驚いたものでした。
今回の技術ノートは、いつものように(?)いきなり横道にそれてみたいと思います(笑)。それこそ、好き勝手に執筆しているというのが丸見えなわけですが(汗)…。
フェルミ推定を活用してみる
Wikipedia のページ[2]にも説明がありますが、ビジネス・シーンや、コンサルティング・ファームの面接試験などで良く出てくるのがこの「フェルミ推定」なのです。たとえば、『東京都23区内にある公衆トイレの数は?』などを概略値として推定するという考え方です。
そういう私は(横道がさらに横道にそれますが)、理系人だからでしょうか、気持ち的にはこのフェルミ推定などの概算値というものが「どうもしっくりこない(こんないい加減さでは)」と永く思っていました。たとえば「競合A 社の売上げを推定する」とか、「マーケット規模を推定する」などです。しかし工学にも「Rule of Thumb」[3, 4](Wikipedia の日本語サイトでは「経験則」となっていますね)が存在することに気づき、また「当たらずも遠からず」と「闇夜に鉄砲」という慣用句の対比を考えると、この「概算値」というのも、意外と根拠があるな(めくら滅法よりは断然良い)」、と思ったものでした。その[2]においても、「理工学でも使われる」とあり、はっと、自らの修行の足りなさを恥じるべきだとも気がつきました…。
今回はこのフェルミ推定チックに、私が普段とみに出くわす、「マーフィーの法則[5]」([5]から引用して、その例を挙げると『食パンを落とすと必ずバターが付いているほうが下』など)ネタを解析して(という横道にそれて)みたいと思います。
着替えロッカー・ルームで隣に人がかならずやってくる「マーフィーの法則」とフェルミ推定
私は個人的な事情により、東京湾アクアラインを挟んで東西にある、2 か所のスポーツ・ジム(企業としての資本関係は全く別です)に、それぞれ、時々、行きます(図1)。スポーツとかいっても、トレーニング・マシンで筋骨隆々になるわけではなく、ランニング・マシン上を少し早めに歩いて、プールに入るという程度ですが…(バーベル持って自己流で筋トレしたところ、肩を痛めてしまいました…T^T)。
ジムですから当然、着替えをします。そして2 か所のジムともども当然、着替えロッカー・ルームがあります。入室すると東のジムは大体誰もおらず、西のジムは人が誰もいないブロックを探してそこで着替えを開始します。そうすると、エクササイズから上がった人が戻ってきて、部屋/ブロックに入ってきます。そして、そうすると…、とても高い確率で(どちらのジムでも)私の隣のロッカーを開けるのです。その部屋、もしくはそのブロックには誰もいないにも関わらず…。広いロッカー・ルームやブロックでふたりだけで隣のロッカー…。あんまりいい気持ちはしないものです。「これはマーフィーの法則だなあ」と、いつも甚く(いたく)感じていたものでした。
そこで、ロッカーが数十個ある当該ロッカー・ルーム(ブロック)においで、自分が着替えているタイミングで、隣に人がやってくる確率の概略値を、フェルミ推定で求めてみましょう。
- ジムは1日14時間稼働し、ロッカーは40個あるとする
- 一人の人が2時間ジムを利用し、前後5分(合計10分)でロッカーを利用すると仮定する
- ロッカー・ルーム(ブロック)には120人が立ち入ると仮定すれば、1日の1個のロッカー使用回数は3回になる
- 1個のロッカーは14時間中6時間の占有と計算でき、稼働率が43%となり、西のジムの状況に近い…。いい感じだ…
- 1個のロッカー前に人がいる時間は1日あたり30分となる
- これは14時間換算なので私の行く時間帯を7時間とすると、その時間帯で1日あたり(半分の)15分。これから占有率は15分/(7時間×60分) = 3.57%
- 私自身はあるロッカーを10分間利用するとする。これは2.38%の占拠率
- 自分の左右のロッカーを対象とすると、占拠率は3.57×2 = 7.14%
- 私が着替えている時間に隣のロッカーが使われる確率は(この導出自体が厳密に正しいかはわからないが)7.14%×2.38% = 0.17% = 1700ppm…
考え方や、確率論としての正しさ、計算方法には間違いもあると思いますが、このようにフェルミ推定モドキをしてみると、なんと0.17 %、1700ppmという、とんでもない低い確率が得られます。しかし私は結構高い頻度でこのシチュエーションにぶつかるのでした(涙)。これはそれこそ、「マーフィーの法則」そのものなのでした(涙)。

OPアンプのモデルを定義して周波数特性を考える
ゴミネタすいません…(汗)。本題に戻りましょう(汗)。前回の続きとなりますが、まず、はじめに直球勝負で、フォトダイオード・アンプの周波数特性を求めてみます。これをあまりやっていると読者の皆さんも数式げんなりモードになる心配がありますので、興味のない方は読み飛ばしてください。
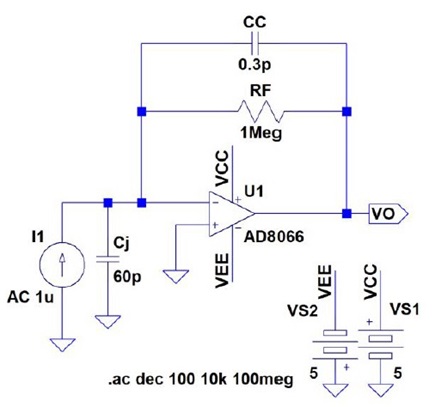
図2は前回のTNJ-064で使用したAD8066を用いたフォトダイオード・アンプです。なお計算が厄介になるので、𝐶𝐶は無視して考えていきます。
AD8066を数式モデルで表しておく
さて、OPアンプの周波数特性を数式モデルで表すと、単純な表現方法であれば

という式で、DCでのオープン・ループ・ゲイン𝐴𝑂𝐿𝐷𝐶をもつ1次遅れ系として表すことができます。
AD8066のデータシート[6]を見ると、オープン・ループ・ゲイン𝐴𝑂𝐿𝐷𝐶は114dB(ただし1kΩ負荷抵抗時。真値としては500,000)とあります。𝐺𝐵𝑊= 65MHzですから、式(1)を𝐴(𝑓)=1、𝑓=𝐺𝐵𝑊とすることで

となり、オープン・ループ・ゲインの-3dBカットオフ周波数が𝑓3𝑑𝐵= 130Hzとなる AD8066の簡易的数式モデルを構成できます。この計算が正しいかどうか、数値計算ソフトで上記の式と値を使って計算したものを図3に示します。


たしかによく見るオープン・ループ・ゲイン特性になっていることが分かります。
以降の計算で用いる𝐶𝑗𝑅𝐹についても計算しておくと、図2から
![]()
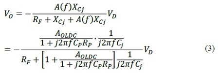
前回のTNJ-064の式(12)を使って(変形して)、またリアクタンス𝑋𝐶𝑗の表記をもとに戻して、

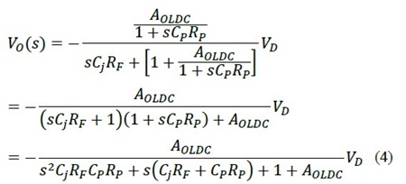
さらに𝑠=𝑗2𝜋𝑓として、ラプラス演算子を使って見た目をさっぱりとさせてみると

これから𝑉𝑂(𝑓)のポール(-3dBになる周波数)を得てみます。

から

𝐴𝑂𝐿𝐷𝐶が十分大きいことから、根号の中は虚数となります。その結果、ふたつのポール𝑠は共役複素数となり、2次LPF特性になります。これを𝑠𝑝±と表しましょう。𝐴𝑂𝐿𝐷𝐶が十分大きいことから

とすれば…と持っていきたいので(汗)、まずホントにそうかを図2のAD8066の数値で確認してみましょう。

なるほどです。ということで

となりますから、式(6)から(𝐶𝑗𝑅𝐹+𝐶𝑃𝑅𝑃)2を省略し、さらにカッコ内の「1 +」も省略し

式(2)から

これから入出力伝達関数は

となります。ただし𝑠𝑝+,𝑠𝑝−はこれまでの説明のとおり共役複素数のポール𝑠𝑝±です。
カットオフ周波数𝝎𝟎は
つづいてこの2次LPF特性のカットオフ周波数𝜔0を求めてみましょう。TNJ-046 [7]において、あるポール𝑠𝑝±が与えられたとき、そのカットオフ周波数𝜔0について、「𝑠𝑝±の位置は、『中心から半径𝜔0の位置』(この図では𝜔0=1)」と説明しました。つまりポールの大きさ(ベクトルとしてのノルム)がカットオフ周波数𝜔0に相当するわけです。そこで式(9)からカットオフ周波数𝜔0を計算してみましょう。

ここで図2の回路においては𝐶𝑗𝑅𝐹≪𝐶𝑃𝑅𝑃ですから、上式の右辺1項は並列接続的な計算になり、𝐶𝑗𝑅𝐹が支配的になることから(分母・分子を𝐶𝑃𝑅𝑃で割ってみると分かりやすいでしょう)

さらに

が得られます。実際の図2の回路の数値を代入してみると

ですから、またここでも式(13)の第1項を無視できて、

を得ることができます。周波数に直すと415kHzです。図2の回路のカットオフ周波数を確認するために、前回のTNJ-064の図6の周波数特性がピークになる周波数を見てみると、339kHzであり、だいたい近い値になっていることが分かります。若干の差異は、図2の回路では、安定化容量𝐶𝐶(補償容量)が接続されていることにより、周波数特性が幾ぶん変わることが理由なはずです(以下にも示します)。
この結果から分かることは、
- フォトダイオード・アンプのカットオフ周波数𝜔0は、OPアンプの𝐺𝐵𝑊を、接合容量と帰還抵抗でできる時定数𝐶𝑗𝑅𝐹で割ったものの平方根になる。時定数𝐶𝑗𝑅𝐹が大きければ𝜔0も小さくなる
- OPアンプの𝐺𝐵𝑊を大きくしても、フォトダイオード・アンプのカットオフ周波数𝜔0は𝐺𝐵𝑊の平方根としての改善効果しかない
この結果は前回のTNJ-064の検討結果と符合していますね。
この計算のままだとフォトダイオード・アンプは正帰還となってしまうため補償容量で補正している
ところで詳細の説明は割愛しますが、この2次ポール𝑠𝑝±のQ値は非常に大きくなります。これはOPアンプ自体の時定数𝐶𝑃𝑅𝑃で位相が90°回転し、さらに𝐶𝑗𝑅𝐹でも90°回転することで、位相が合計で180°回転し、正帰還に近くなるからです。𝜔0の周波数でゲイン・ピークが大きく出てしまいます。図2で安定化容量𝐶𝐶(補償容量)を0pFにしてシミュレーションすると分かります。
実際はこの𝐶𝐶が接続されますから、これで「ゼロ」が形成され、それで位相が引き戻され安定したフォトダイオード・アンプが実現できることになります(ちょっと難しい話題なので読み飛ばしていただいて結構です)。
またここまでのポールを求める計算においても、安定化容量𝐶𝐶(補償容量)が接続されることにより、本来はゼロが式中に追加され、カットオフ周波数が若干変わります。しかしここではややこしくなるばかりなので、計算は割愛します(諦めます…、でしょうか…笑)。
フォトダイオード・アンプの周波数特性を改善する
数式ばかりで飽き飽きだという方も多いかと思い、いよいよ実践でどのようにすれば周波数特性を改善できるかについて踏み込んでみます。
高い電流電圧変換率(トランス・インピーダンス)を実現するには、帰還抵抗𝑅𝐹を大きくする必要があります。そしてここまでの説明でお分かりいただけたように、フォトダイオード・アンプの周波数特性の制限要因としてフォトダイオードの接合容量𝐶𝑗があります。大きな𝑅𝐹と大きな𝐶𝑗であれば、低い周波数で𝑅𝐹と𝐶𝑗によるカットオフ周波数が形成されてしまいます。
単純には「接合容量𝐶𝑗を減らすことができれば…」という思考になるものかと思います。
逆バイアスをかけてフォトダイオードの接合容量を減らす
図4のようにフォトダイオードに逆方向電圧(逆バイアス)を加えることで、接合容量𝐶𝑗の低減が可能です。
図5は[8]から引用した、フォトダイオードS2506-02(浜松ホトニクス)の接合容量𝐶𝑗の逆電圧特性です。S2506-02は秋月電子でも購入できます。そういう私も以前、セミナー資料作成用に秋月電子で2個買いました。「接合容量」という表記ではなく、周囲の寄生容量も含めて「端子間容量」として特性が記載されています。S2506-02はゼロ・バイアスで約60pF、12V逆バイアスで15pFです。なお逆方向電圧に正しく反比例して接合容量が低減するものではなく、いくらかの非線形特性があることが一般的です。
一方で逆方向電圧により、リーク電流に相当する「暗電流」というものが増加します。S2506-02ではデータシート[8]によると、12V逆バイアスで0.1nA Typ, 20nA Max, 温度係数1.15倍/°Cとなっています。無視できない大きさです。暗電流により出力にオフセット電圧が生じたりしますので要注意です。
暗電流をキャンセルする方法も提案されています。[9]はこの一例です。この回路を図6に示します。
帰還抵抗を低下させる(ノイズ特性は劣化する)
図7のように帰還抵抗値𝑅𝐹を低下させて、後段に増幅用OPアンプを用意し、系全体の増幅度を同一に維持したまま周波数特性を向上させる方法も考えられます。抵抗値を1/𝑛にすると、周波数特性は𝑛倍に改善しますが、ノイズ特性は√𝑛倍で劣化しますので注意が必要です。周波数特性とノイズ特性とのトレードオフになる方法です。

![図5. フォトダイオードに逆方向電圧(逆バイアス)を 加えたときの端子間容量(浜松ホトニクスS2506-02 データシート[8]のp. 3より引用)](https://www.analog.com/jp/_/media/analog/jp/education/web-lab/tnj065/tnj065_05.jpg?la=en&w=450&rev=a5d4ffe2c3674b75b739f6ee202af16e)
![図6. 暗電流によるオフセットをキャンセルする方法 ([9]より引用)](https://www.analog.com/jp/_/media/analog/jp/education/web-lab/tnj065/tnj065_06.jpg?la=en&w=450&rev=9e7657142bda427ead318f843c45c42e)
ブートストラップをかける
図8のように、接合型FET(JFET)でフォトダイオードに「ブートストラップ」をかけることで、IV変換周波数特性を改善できます[10]。「ブートストラップ」とは、沼の中に嵌(はま)り沈んでいくなかで、自分の靴紐を引っ張り、自らを引き上げることを語源としており、「自助努力で自身を良くする」というような意味合いのものです[11, 12]。
追加したJFETにより接合容量𝐶𝑗両端の電圧を一定に維持し、回路動作として接合容量𝐶𝑗の影響を低減させるというものです。なお図8で用いたFETは、[10]で紹介されているBF862を用いましたが、BF862は生産中止品になっています[13]。またBF862のSPICEモデルは[14]からダウンロードできますが、これがこのままLTspiceではシミュレーションできず、私は[15]から得た情報とそこにあったSPICEモデルを活用し、シミュレーションを行いました。オリジナルのモデルではイコール「=」が使われていますが、これがLTspiceでエラーになること、またJFETシンボルが「Q」となっていますが、これもLTspideでは「J」を使う必要があるところが、エラーの原因です。
図6では、OPアンプにAD824を使用しており、前回のTNJ-064の図3を修正したものです。その図3と位相余裕が同じになるように、安定化容量𝐶𝐶は調整しなおしてあります。
TNJ-064の図4(同ノートの図3の結果)に示した、電流電圧変換周波数特性の-3 dBカットオフ周波数は108.6 kHzでした。図8のシミュレーション結果である図9では、-3 dBカットオフ周波数が326.6 kHzに伸びていることが分かります。
ブートストラップ回路の動作を解析してみる
このように回路を構成することで、周波数特性を改善できることが分かりました。つづいてこの回路動作のしくみをみてみましょう。


OPアンプは仮想ショートで動作すると一般的に言われますが、周波数が上昇してきて、OPアンプのオープン・ループ・ゲインが低下してくると、入力端子間の電位差が見えてくることになります(そうでなくても微小な電位差があります)。たとえばオープン・ループ・ゲインが20dBまで低下した周波数において、出力が1Vp-pだとすれば、入力端子間の電位差は10mVp-pとなります。
この入力端子間の電位差がフォトダイオードの接合容量𝐶𝑗に加わることにより、ここまで説明してきた周波数特性の劣化が生じるわけです。原理的には「入力端子間の電位差が変化する」からなのです。
そこで「入力端子間の電位差が変化しないようにすればよい」と発想を転換できます。図8のように回路を構成すれば、JFETのゲートがOPアンプの反転入力端子に接続されているため、仮想ショートから外れた(入力端子間の電位差)ぶんの電圧でゲートが駆動されることになります。ソースはR1でマイナス電源と接続されていますが、フォトダイオードの電流(I1)は非常に小さいため、R1の動作には影響を与えず、JFETはソース・フォロワとして動作します。
これによりJFETのソースはOPアンプの反転入力端子の電位変化(JFETのゲート電位変化)に追従するかたち、つまり「ブートストラップ」されたかたちで動作することとなり、その結果、図8のI1と接合容量𝐶𝑗から構成されるフォトダイオードの端子間電圧はいつも一定になります。
これにより接合容量𝐶𝑗は充放電されなくなり、この容量を無視できるわけです。ここでは60pFという幾分低めの接合容量で考えましたが、面積の広い大型フォトダイオードでは接合容量𝐶𝑗も増加しますから、このブートストラップは周波数特性改善の手法として、さらに効力を発揮できることにも気がつきます。
一点、この回路には注意点があります。電源投入時の過渡的な変動で、Q1のJFETが順方向にバイアスされてしまう(ゲート電圧がソース電圧に対して高くなる)可能性があり、そうなるとその電圧関係でロックし、この回路は適切に動作しません。JFETのゲート・ソース間が順方向バイアスにならないような対策回路が必要です。
まとめ
2回の技術ノートで探究してみました「フォトダイオード・アンプ」。フォトダイオードの接合容量𝐶𝑗が回路動作に悪影響を与えることが分かりました。この技術ノートでは周波数特性に着目して考えてきましたが、ノイズ特性についてもこの接合容量𝐶𝑗がノイズ・ゲインの上昇として大きな障害になります。
このことは別の技術ノートであらためて説明してみたいと思います。
とはいえ「ちょっとまて。一体これはどうなるのか?」と日々出くわす疑問は増えるばかりで、それらを探究していくことで(探究していってしまうことで)、この技術ノートで「フォトダイオード・アンプのノイズ特性の探究は何回先です」とお約束できない状態です(汗)。
物事を探究していけばいくほど、自分の知識の無さに気がつく、「無知の知[16]」を地でいく「一緒に学ぼう!回路設計WEBラボ」なのでありました…。
日記(2019年9月18日水曜日)
2019年9月9日(火)早朝、千葉県を主体に非常に強い台風15号が尋常ならぬ猛威をふるい、甚大な被害が発生。我が家も被災した。一晩をろうそくと懐中電灯で過ごしたのち、電気はなんとか10日夕刻には復旧。電車も不通や間引き運転でかなり混乱していたため、11日(水)は漸く開通した圏央道とアクアラインを経由して自家用車で通勤。
12日(木)はアクアライン高速バスで、転職後初めて出勤し、図1の周辺で一泊避難した。13日(金)の帰宅は、浜松町駅周辺のスーパーで購入した生鮮食料品のレジ袋2袋をもって、浜松町バスターミナルから高速バスに乗り込む。東京駅経由の都合上、大門交差点を左折し、第一京浜から中央通りを進む街並みは、何事もなかったような日常が営まれていた。
遊びで高速バスに乗っているならルンルンだろうが、流れるその普段の風景の街並みを見ながら、やはりどうしても沈んだ気持ちになってくる。
TNJ-064とTNJ-065は、その高速バスの中で、そんな気持ちで校正していたものである。
既に被災から1週間以上が経過したが、未だライフラインが復旧していないご家庭、家屋に相当な被害が及んだご家庭が多数あるようだ。同じ千葉県民として、早急なる復旧と、早く普段の日常生活に戻られることを、心からお祈りしております。
著者について
デジタル回路(FPGAやASIC)からアナログ、高周波回路まで多...
