TNJ-043:マッチング回路を「足し算」で計算できるようになれば スミス・チャートでマッチングをとる原理が分かる(後編)
はじめに
「スミス・チャートでのマッチングを説明しよう」と思い立って書き始めてみると、あっというまに3 冊(?)目の技術ノートになってしまいました(汗)。丁寧に説明しようとすると、なかなか…。どうしても紙面を食ってしまいます。とはいえ、これでより多くの方に、「なんだかよく分からない」と思われがちなスミス・チャートでのマッチングの考え方をご理解いただけたら幸いとも思っております。
前回までで分かったことは
これまでの技術ノート(TNJ-041, TNJ-042)で分かったこととしては、
- 素子の接続を直交座標上でグラフィカルに計算したいなら直列接続を「足し算」で計算する
- 並列接続はアドミッタンスで考えればアドミッタンス直交座標上で「足し算」でグラフィカルに計算できる
- インピーダンス直交座標軸全体を反射係数で座標変換して極座標上に表すものがスミス・チャート
- しかしインピーダンス軸とアドミッタンス軸は別々の軸空間
ということでした。つまり直並列に接続されるマッチング回路を、インピーダンス𝑍軸とアドミッタンス𝑌軸を相互に活用してグラフィカルに描画として計算するためには、すくなくとも

という数値変換が必要になってしまうわけです(なお𝑌, 𝑍はベクトルです)。そこで
- 𝑍軸と𝑌軸の間を行き来するため、毎度逆数を取っていくことは面倒だ
- 𝑍軸と𝑌軸とが一つのグラフ上に描かれていたらいいな
という希望が出てくるということでありました。
反射係数を正規化アドミッタンスで表してみる
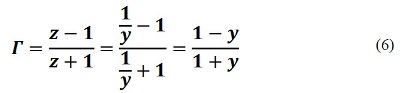
TNJ-042 で示した反射係数の式(4)を再掲すると

𝑧は正規化インピーダンス(複素数)で

式(2)に式(1)を代入してみましょう。いちおうこまごまと見ていくことにします。まず正規化アドミッタンス𝑦は

なおあたりまえですが(汗)、

𝑦, 𝑧もベクトルです。式(5)を反射係数の式(2)に代入してみます。

ここから正規化アドミッタンスを求める式に変形してみると、

なんだか中学1 年生の数学という感じですが、このような結果となりました…。それではここで、TNJ-042 でおこなった「反射係数平面への変換をいくつかみてみる」を逆にひねって、「反射係数平面からアドミッタンスへの変換をいくつかみてみる」というのをやってみます。
反射係数平面からアドミッタンスへの変換をいくつかみてみる
まず反射係数𝛤 = 0 の場合をみてみましょう。これを正規化アドミッタンスに変換すると

正規化アドミッタンス𝑦 = 1 なら、正規化インピーダンス𝑍0= 50Ωとすれば、実アドミッタンス𝑌𝐿 = 1/50 S になります。
つづいて、𝛤 = -1 の場合です。これを正規化アドミッタンスに変換すると

実アドミッタンスも𝑌𝐿 = ∞です。
さらに、𝛤 = +1 の場合をみてみましょう。これを正規化アドミッタンスに変換すると

実アドミッタンスもゼロです。
つづいて虚数軸をみてみましょう。𝛤 = +j の場合です。

この計算はTNJ-042の式(9)などで示した共役複素数を分母・分子に掛け算することで求められます。実アドミッタンスは-j/50 Sになります。
さらに𝛤 = -jの場合、正規化アドミッタンスは

実アドミッタンスは+j / 50 Sになります。これらをまとめてみると、図1のように変換されています。
しかしこれでは、相互に座標変換した図として、どうもすっきりしませんね。そこで図1のアドミッタンス直交座標の「向き」自体を変換してみましょう。図2のように実数軸のゼロを右側に、また虚数軸の+j側を下側、-j側を上側にしてみます。
こうすると左右の図(直交座標と極座標)の各点の位置関係がすっきりしてくることに気がつきます。
これは一つ前の技術ノートTNJ-042の図15や図16(図3、図4として再掲)のインピーダンス直交座標と似ており、それの変換の向きを左右逆にしたものと同様です。
またこの直交座標の表記方法は、軸をアドミッタンスにしたTNJ-041の図14に近いことにも気がつきます。実はこれが全ての謎を解くカギなのです(大げさ…)。




反射係数平面のうえにアドミッタンス直交座標軸全体をひいてみる
ここまでの説明は
- ある正規化アドミッタンスを反射係数平面からアドミッタンス直交座標に変換した
- 変換時に(変換先の)アドミッタンス直交座標の天地左右を逆転させると見た目すっきりする
- 天地左右を逆転させるとインピーダンス直交座標と反射係数との位置関係と似ている
というはなしでした。また前回の技術ノートTNJ-042で
「インピーダンス直交座標軸全体を反射係数で変換して、それを極座標上に表してみる」
としたものがスミス・チャートであると説明しました(図5)。
同様に、アドミッタンスについて図2を用いて考えていきます。図2ではアドミッタンス直交座標のゼロ位置を右側にしており、対応する反射係数平面上の位置は
![]()
で極座標の右側と示しました。他の座標位置も同様に対応位置をプロットしました。これを延長して、アドミッタンス直交座標軸自体を反射係数平面のうえに引いてみるとすれば、これは(ここまでの説明を考えれば)図6のように「スミス・チャートが左右反転したかたち」と同様になる、という答えになります。
このようにして得られた図(図6の左側)はスミス・チャートの「アドミッタンス版」ともいえるものです。これと「アドミッタンス・スミスチャート」、「アドミッタンスでマッピングされたスミス・チャート」、「スミス・チャートのアドミッタンス軸」「スミス・チャートのアドミッタンス・グリッド」などと呼ぶようですが、この技術ノートでは簡潔さを考慮して、
アドミッタンス・チャート
と以降、呼ぶことにします。
図5. インピーダンス直交座標軸全体を反射係数で変換し極座標上に載せたものがスミス・チャート
図6. スミス・チャートと同じ考えでアドミッタンス直交座標軸全体を反射係数で変換する

これでインピーダンスとアドミッタンスを同一図上の同一位置で表せるようになった
ここまできて(実は)ようやくこの「スミス・チャートでのマッチングを説明しよう」技術ノート3部作(TNJ-041, TNJ-042, TNJ-043)のゴールが見えてきたのです(涙)。本技術ノートの最初にしめしたように、リアクタンスの直並列回路でマッチングをとっていく場合に
- インピーダンス平面とアドミッタンス平面の間を行き来するため、毎度逆数を取っていくことは面倒だ
- 𝑍軸と𝑌軸とが一つのグラフ上に描かれていたらいいな
という課題がありました。ある回路のインピーダンスの大きさ&位相と、その逆数であるアドミッタンスの大きさ&位相が
- 同一のグラフ上で、同一の点にプロットされていたら
- インピーダンス軸とアドミッタンス軸を行き来するために、毎度逆数を取っていく必要がなくなり
- 素子の直並列接続をグラフ上で「足し算」でグラフィカルにおこなえる
となるわけです。これでなぜTNJ-041でアドミッタンス直交座標を「実数軸の右をゼロ、虚数軸は上方向がマイナス」で表していたかの理由が判明する
インピーダンス座標(スミス・チャート)もアドミッタンス座標(アドミッタンス・チャート)も同じ反射係数平面のうえに描かれているんだ
図5と図6は異なる図のように感じるかもしれません。しかし、ここまでの説明から分かるように、結局は同じ素子の接続により生じる「インピーダンス|アドミッタンス」を反射係数平面上で表現しているもので、この図の任意の点における「インピーダンス|アドミッタンス|反射係数」はすべて同じ物理現象、物理的接続状態を見ていることになります。つまり「表現方法が違うだけ」なのです。これを図7に示します。
これにより、ようやく…、
「𝑍軸と𝑌軸とが一つのグラフ上に描かれていたらいいな」
が実現できることになるわけです。これができることにより、上記に説明したような「同一のグラフ上で…(中略)、グラフィカルにおこなえる」も実現できることになるわけです。
これでなぜTNJ-041でアドミッタンス直交座標を「実数軸の右をゼロ、虚数軸は上方向がマイナス」で表していたかの理由が判明する
この「スミス・チャートでのマッチングを説明しよう」技術ノート3部作のルーツを遡(さかのぼ)ったTNJ-041の図14で、
「アドミッタンス直交座標で並列接続を足し算の概念で表せる(実数軸の右がゼロ、虚数軸は上方向がマイナスなので注意)」
として、図自体とキャプションで示しました。本文では
「そのため(というより、以降で説明する「イミッタンス・チャート」を説明する流れをスムースにするために)、このアドミッタンス直交座標では実数軸の右をゼロ、虚数軸の上方向をマイナスにしてあります」
と説明しました。いっぽうここまでの直交座標と反射係数平面(極座標)の図の組み合わせから分かるように、
- インピーダンス直交座標を「実数軸左をゼロ、虚数軸の上方向をプラス」として表して、それを折り曲げ圧縮するように反射係数平面上にインピーダンス直交座標をプロット(座標変換)していくとスミス・チャートになる
- アドミッタンス直交座標を「実数軸右をゼロ、虚数軸の上方向をマイナス」として表して、それを折り曲げ圧縮するように反射係数平面上にアドミッタンス直交座標をプロット(座標変換)していくと…、
- それがさきに用語定義した「アドミッタンス・チャート」であり
- 極座標上に任意のインピーダンス/アドミッタンスを同じ位置として表せる
- 𝑍軸と𝑌軸とを一つのグラフ上に描くことができる
なんだか繰り返して説明しているようですが、これがTNJ-041で説明した「アドミッタンス直交座標では実数軸の右をゼロ、虚数軸の上方向をマイナス」という理由なのでした。
インピーダスとアドミッタンスを反射係数平面に座標変換したものを使ってTNJ-041のマッチング計算をやってみる
ようやくこれで、本シリーズを遡ったルーツであるTNJ-041において計算で示したインピーダンス・マッチングを、グラフィカルに行えることになりました。
TNJ-041の図7の信号源抵抗とインダクタの並列接続部分をアドミッタンス・チャートでグラフィカルに求めてみる
TNJ-041の図7を図8に再掲します。このインピーダンス・マッチングをここまで得られたチャートを使ってグラフィカルに求めてみましょう。
正規化インピーダンスの基準となるインピーダンスを50Ωとします。周波数は𝑓 = 1MHzで考えます。まず信号源抵抗𝑅𝑆 = 50Ωは
- 正規化インピーダンス𝑧=1.0∠0°
- 正規化アドミッタンス𝑦=1.0∠0°



この「インダクタの並列接続」をアドミッタンス・チャート上で表せば、グラフィカルに(そのアドミッタンス直交座標軸上で)足し算で描画することができます。これはこれまで説明してきたとおりです。これを図10 に示します。この「インダクタ 7μH の並列接続をグラフィカルに足し算」する操作は、図上では「なんだかカーブしているぞ」というように見えますが、結局これは、直交座標上でのグラフィカルな足し算と全く同じことなのです。
つづいて並列接続された信号源抵抗とインダクタに、容量を「直列接続」する操作をグラフィカルに求めてみます。
信号源抵抗とインダクタの並列接続部分をスミス・チャートに変換する
図8 の回路でマッチングを実現するには、同図のように並列接続されたインダクタに対して、さらに容量を直列に接続する必要があります。これは「インピーダンスの直列接続」ですね。
そこでここまでの「正規化アドミッタンスでグラフィカルな足し算」をした結果を、正規化インピーダンスに変換する必要があります。それは

であり、もともとの直交座標を用いたなら(これまでの説明のとおり、当然ながら)、同じ軸上に表すことはできません。しかしアドミッタンス・チャート(アドミッタンス直交座標軸相当)とスミス・チャート(インピーダンス直交座標軸相当)では
- 極座標上に任意のインピーダンス/アドミッタンスが同じ位置として表されている
- 𝑍軸と𝑌軸とが一つのチャート上に描かれている
となっているわけです。そこでつづいて図10 の位置(正規化アドミッタンス)を図5 のスミス・チャートの軸で読み出します。まず「取り急ぎ(?)」この位置を反射係数として求めてみると
この位置も一応、極座標の図として図11 に示しておきましょう。つづいて、図 10、図11 のプロット位置をスミス・チャート(インピーダンス直交座標軸相当)上に載せたものを図12 に示します(位置は同じです)。これを「なんだかカーブしているぞ」の湾曲したインピーダンス直交座標軸上で読み出してみると
![]()
と読むことができます。さらにこれをインピーダンス直交座標上で表したものを図13 に示します。



コンデンサの直列接続をグラフィカルに求めてみる
ここで図8では、𝐶1 = 6.4nFを直列接続して22Ωに対してマッチングをとっていますが、この直列に接続される容量は、リアクタンスとして
![]()
です。これを正規化インピーダンス(正規化リアクタンス)にしてみると
![]()
図13(インピーダンス直交座標)の位置から虚数軸(縦軸)のマイナス方向に-0.496動くと〔「足し算」すると。実際にやっていることは引き算ですが…。「マイナス方向に足し算すると」が適切でしょうか〕、実数軸(横軸)上にぴったり乗ることが分かりますね。これで22Ω(正規化インピーダンスとして「0.436」。22/50で0.44になります)にインピーダンス変換ができるわけです。
これをスミス・チャート(インピーダンス直交座標軸相当)上で「足し算」でグラフィカルにやってみると、図14のようになります。0.436の位置に移動することが分かりますね。
結局は図13の足し算を、スミス・チャート(図14)上で「なんだかカーブしているぞ」というインピーダンス直交座標に相当する湾曲した軸上を移動しているだけで、同じことをしているのです。

ようやく出てくるイミッタンス・チャート
ここまでの話しで
- マッチングをグラフィカルに計算したいなら「足し算」で計算するしかない
- 並列接続はアドミッタンスで考えればアドミッタンス直交座標上で「足し算」でグラフィカルに計算できる
- インピーダンス𝑍軸とアドミッタンス𝑌軸を相互に活用してグラフィカルに描画で計算するために
という数値変換が必要
- その間を行き来するため、毎度逆数を取っていくことは面倒だ
- 𝑍軸と𝑌軸とが一つのグラフ上に描かれていたらいいな
それを実現できそうなのが、
- 反射係数平面
- スミス・チャート(インピーダンス直交座標軸相当)
- アドミッタンス直交座標軸全体が反射係数で変換された極座標上(アドミッタンス・チャート)
という3要素なわけです。
結局はこれらを「図15のように重ね合わせればいいだけ」の話でありまして…。それがここまで2回の技術ノートでご紹介してきた、図16の「イミッタンス・チャート」です。
このイミッタンス(Immittance)とは、「Impedance + Admittance」から作られた「造語」です。

図15. 𝑍軸と𝑌軸とが一つのグラフ上に描かれていたら…を 実現するなら、それぞれを重ね合わせればよい(正規化インピーダンス軸に相当するスミス・チャートを赤、正規化アドミッタンスに相当するアドミッタンス・チャートを緑でプロットしてある)

リアクタンス とサセプでルート割り出しを 行えばイミッタンス ・チャート上でマッング計 算をグラフィカルに行える
ここまでのストーリーでは、マッチングをとる直並列リアクタンスは、TNJ-041で求めた既知の定数を用いてきました。しかし実際に、ある信号源インピーダンスと、それとは異なる大きさの負荷インピーダンスとの間のマッチングを取っていくときは、それぞれのリアクタンス(サセプタンス)は「未知」なわけです。
マッチング演習をやってみる
この未知のリアクタンス(サセプタンス)を求めるには、ここまでの話しを応用すればいいだけです。イミッタンス・チャート上でインピーダンス直交座標とアドミッタンス直交座標に沿ったかたちで、「ルート」を選定すればいいだけです。
それではマッチングの取り方を演習形式で、図16のイミッタンス・チャートをつかって、50Ωから22Ωにインピーダンス変換する(マッチングをとる)手順を説明してみましょう。



最初は図17のように、信号源と負荷の正規化インピーダンスをプロットします。アドミッタンスも含めて考えていく必要はあるのですが、イミッタンス・チャート上ではインピーダンス表記もアドミッタンス表記も同じ位置なので、どちらもインピーダンスで位置を決めてしまってかまいません。
つづいて図18のようにふたつの点の間を、片方はアドミッタンス軸上を(実際はその定コンダクタンス値の軸に沿って。図中「緑」)、もう一つはインピーダンス軸上を(実際はその定純抵抗値の軸に沿って。図中「赤」)辿っていき、ふたつの点の交点になるところを探します。
さらに図19のように、交点から定サセプタンス軸上を辿り、そこの正規化サセプタンス数値を読みます。チャートの外周円上にこの正規化サセプタンス値が振られています(図中「緑」。正規化サセプタンス-1.137が読み出せます)。
同じく、交点から定リアクタンス軸上を辿り、そこの正規化リアクタンス数値を読みます。チャートの外周円上にこの正規化リアクタンス値「も」振られています(図中「赤」。正規化リアクタンス0.496)。
この振られている正規化サセプタンス値と正規化リアクタンス値はそれぞれ同じ目盛り軸上にありますので、ちょっと見づらい(間違え易い)ので注意してください。
得られた値をもとに地図の上を辿るようにマッチング回路を構成する
イミッタンス・チャート…、ということは、これはチャート(地図)です。ここまで得られたふたつの値(正規化サセプタンス-1.137と正規化リアクタンス0.496)をナビゲーションとして、まるで地図の上を辿るようにマッチング回路を構成すればよいのです。
- たとえば図17の50Ωのところからスタートして、交点に到着したいなら
- アドミッタンス・チャートのサセプタンス軸上に沿って1.137だけ進む
- そうすると交点に到着できる
- この移動分をリアクタンスで考えれば、50Ω系で+j43.98Ω(50/1.137)
- 1MHzで考えるなら、7μHのインダクタ
- アドミッタンス・チャートで考えていたので、これは7μHのインダクタの並列接続になる
つづいて
- 交点から再スタートし、22Ω(0.44)に到着したいなら
- スミス・チャート(インピーダンス)のリアクタンス軸上に沿って-0.496だけ進む。下方向に進むので、符号がマイナスとなる
- そうすると22Ω(0.44)に到着できる
- これは50Ω系で-j24.8Ω(50×0.496)のリアクタンス
- 1MHzで考えるなら、6.4nFの容量
- スミス・チャート(インピーダンス)で考えていたので、これは6.4nFの容量の直列接続になる
このように、みごとに図8の定数と符合していることが分かります。これがスミス・チャートの使い方です。面倒な計算をすることはありません。地図の上を移動していくように図中でグラフィカルに求めれば、マッチング回路を実現することができるのです。
いろいろなインピーダンス間もイミッタンス・チャートでグラフィカルにマッチングがとれる
ここでは50Ωと22 Ωとのマッチングを例にとりましたが、他の抵抗値(たとえば100Ωと33Ω)のマッチングも全く同じように図中でグラフィカルに求めることができます。
なお、マッチングをとるもの同士が、インピーダンスとしてリアクタンス(虚数部)をもつものであれば、スミス・チャートのうえで「共役マッチング」としてマッチングをとっていく必要があります。これはページ数の関係で今回の技術ノートでは割愛しますが、稿をあらためてご説明したいと思います。

マッチングは「北廻り」と「南廻り」の2ルートが考えられる
上記の説明では、最初に並列リアクタンス、つづいて直列容量というかたちでインピーダンス変換する(マッチングをとる)演習をやってみました。これは「北廻りコース」ともいえるでしょう(誰もこれまで「北廻り」だなんて表現は使ってきませんでしたが、ちょっとお遊びで…)。図を見て気がつくように、最初に並列容量、つづいて直列リアクタンスという「南廻り」のインピーダンス変換(マッチング)の方法もあるのです(図20)。
実はこの北廻りと南廻りが、一つ前の技術ノートTNJ-042の図1のハイパス回路構成(図2がその周波数特性)と、図3のローパス回路構成(図4がその周波数特性)になるわけなのでした。
まとめ
ようやくこれでスミス・チャート(実際はイミッタンス・チャート)によりインピーダンス変換をする(マッチングをとる)基礎的なところを説明できました。
理解してしまえば別に難しいものではないこと、またとても便利に使えることがご理解いただけたかと思います。
一応ここまでで、この一連の技術ノートは終わりとしますが、また稿をあらためてスミス・チャートのさらなる活用方法(共役マッチングの話し、多重ラダー接続によりQを低下させて広帯域マッチングを実現する方法、伝送線路とからめたマッチングなど)を説明してみたいと思います。
実は続けてそれらの技術ノートを書こうと思っていたのですが、とある日のとある方との、とあるメールのやりとりで、横道の興味が湧いてきたので、次の技術ノートはそんな話題に突入します(笑)。技術的興味はとどまるところを知りません(笑)。
著者について
デジタル回路(FPGAやASIC)からアナログ、高周波回路まで多...

