TNJ-040:
ネット上の疑問「四つ豆電球の点灯する順番は?」を 伝送線路から考えて実際に実験してみた
はじめに
前回の技術ノートTNJ-039では、伝送線路、特性インピーダンス、そして反射係数についてご説明し、ハイスピードな信号は「波動」だと考えることがポイントだとお話ししました。
今回の技術ノートは、TNJ-039の理解を基礎として、ネットを騒がせている(?)「電球が点灯する順番」を、実際にツイストペア・ケーブルを使って実験検証してみます。この実験は「戯れ」ではありません。ハイスピード信号伝送の根本原理を知るために重要なものです。
また後半では、プリント基板のパターンを信号が伝搬する速度「位相速度」をどう考えるかについて考えてみます。
ネット上でみかける「電球が点灯する順番」という質問を実際に実験してみる
TNJ-039で説明したように、ハイスピード信号では「電気信号は波動として伝送線路を伝搬していくのだ」と考える必要があります。図1はTNJ-039の図 8の再掲ですが、これは2015年のアナログ技術セミナーで、講演の途中で出題したクイズのひとつめです。
またGoogleで「電球が点灯する順番」とサーチすると、同様な疑問に関する複数のQ and Aページが現れ、それぞれで多数かつ熱心なディスカッションがなされています。
なかには量子力学/仮想光子/素粒子論などを持ち出して議論しているページもありますね[1]。伝送線路の振る舞いが「量子力学/仮想光子/素粒子論」だなんて話しになってくると、私も手も足もでません(笑)。
また[2]みたいのもあります。この[2]は、伝送線路の負荷側にあるスイッチをオン/オフしたときに、電球が点灯する順番はどうなる?という、これまた興味深いものです(笑)。
そのような議論がなされているもののひとつが「電気回路の豆電球 [3] 」です。
話しを戻すと、図1の答えは「信号波形は波動だ」という理解があれば、すぐに分かるはずです。答えは③なのです。それでも「ホントかいな?」と感じる方がいらっしゃると思いますので、以降で実際に、実験で検証しながら確認してみます。
実際の電気/電子回路の概念でより条件を限定する
さて、ネット上の議論「電気回路の豆電球 [3] 」での質問は、回路条件をASCII Art的にテキストで書いてありますが、それをより電気/電子回路の概念で、条件を限定してみましょう。なお学会論文誌に投稿する論文なども「マルマルは確立しているものとして考える」などとして、その検討条件を限定することはよくやるものです。

図1. TNJ-039図8再掲:電気信号が波動として
伝送線路を伝搬していくのだと考えればこの答えはすぐに分かる
「電気回路の豆電球 [3] 」を条件限定した豆電球の回路図を、図2に示します。もともとの質問では、それぞれの電線は任意の方向に張ってあると読み取れるものですが、電線1と2、また3と4はそれぞれ導体間が相互に電磁気的に結合している、つまり伝送線路だと仮定します。この条件限定は[3]の回答番号6(質問者が選んだベストアンサー)でも行われているものです。
また実験するには、豆電球を実際に見ながら…、どれが先に点灯するかなど…、観測不可能(笑)ですから、豆電球のかわりに抵抗を、また肉眼のかわりにオシロスコープと差動プローブを用います。図2で限定した「伝送線路だと仮定」は、ツイストペア・ケーブルを伝送線路として用います。
なんだか複雑に仕掛けられた謎を解き明かすようで、ドキドキしてきます…。

図2. 条件を限定した「電気回路の豆電球 」の質問での回路
([3]文中の図を引用して加工)
単なる遊びではなく現代のハイスピード回路設計と深く関わるネタ
複雑に仕掛けられた謎などというと、この話題は「戯れ」にも聞こえるかもしれません。しかしこのような「電気信号の伝わり方の理解」は、現代のハイスピード回路設計で、非常に重要です。一例として、現在はアナログ・デバイセズとなったRF MMIC(Microwave Monolithic Integrated Circuit)の雄、Hittiteのアプリケーション・ノートLayout Guidelines for MMIC Components [4]で説明されているRFテクニックを充分に理解するためにも必要なことです。
このアプリケーション・ノートでは、プリント基板で一般的に用いられる伝送線路であるマイクロストリップではなく、CPWG(Coplanar Waveguide)伝送線路、それもL2のグラウンドも活用するGrounded CPWGというテクニックが紹介されています。ハイスピード回路やRF回路のプリント基板設計で参考になるものと思います。
どうでもいい話しだが購入したツイストペア・ケーブルのお値段は
ところで、この実験をするためにツイストペア・ケーブルを購入しようと、代理店オフィス訪問後の夕刻に、秋葉原に立ち寄りました。「まあ、だいたい20mくらいあれば十分だろう」と考えながら店頭に到着しました。店頭に100m巻きで目的のツイストペア・ケーブルが売っています…。値札も貼ってあります。意外と安いです…。
でも100mも要りません…。もし買ったとしても、消費しきるのに一体何十年かかるやらです。そこで切り売りを買うために、店内に入っていきました。20mくださいと言って、切り売り品をうけとり、支払った金額は100m巻きの20%ではなく…(笑)。
謎を解くまえに図1の実験をしてみる
謎を解く前に、図1の2015年のアナログ技術セミナーでのクイズの実証実験を行ってみます。
実験回路を図3に示します。ここでも図2の説明と同じように、豆電球の代わりに抵抗を用います。また電線は10mのツイストペア・ケーブルを2本用います(全長で20m)。図1の「この間は十分狭い」という記述は、「それぞれ導体間が電磁気的に相互に結合している伝送線路」という仮定(条件限定)をしていますので、ツイストペア・ケーブルを伝送線路として用いています。
実験方法
信号源はVHCMOSロジックICを用いました。オシロスコープのCH1でこの信号源波形を、CH2で図1のランプ1, 2, 3(本技術ノートでは「豆電球」としている)に相当する、図3の抵抗R1, R2, R3の電圧降下を、それぞれ順番に1GHz差動プローブ(P6247)で差動測定しました。差動プローブは1本しか無いので、測定結果はひとつずつしか示せません…。
ところで抵抗R1, R3とR2は、大きさを等しくしていません。R2はこの伝送線路の終端抵抗としても機能しますので、ツイストペア・ケーブルの差動インピーダンス(特性インピーダンスに相当)の120Ωに合わせて、120Ωの抵抗にしてあります。このようにすることで、R2からの反射を抑えます。
「ランプが点灯した」ことを判定するには、その部分に電流が流れたことを確認できればよいので、抵抗に生じる電圧降下つまり端子間電圧変化を差動プローブで観測します。そしてその時間を測定して「点灯する順番」を判定します。
あらためて先入観なしに図3の回路を考えると、R1 ⇒ R2 ⇒ R3の順序かなあ?答えは②かな?とか思わせますが…(笑)。
実際に測定してみる
さて、ランプ1に相当するR1の電圧を測定したものを図4に、ランプ2(R2)を図5に示します。これらは順当に52ns, 107nsと1倍、2倍の時間経過になっています。
つづいて図6は(いよいよ気になる)ランプ3に相当するR3の電圧を測定したものです。52nsになっていますね!これはR1の時間と同じで、10mの長さを伝搬する時間です。まちがっても10mを3本ぶん渡ってきた3倍の時間ではありません…。
たしかにクイズの答えは③なわけです。これは前回のTNJ-039の図7の「グラウンドに電流(電荷)が生じ、パターン電流とまるで一緒に流れたようになる!」という説明とも符合します。

図3. アナログ技術セミナーでのクイズの実証実験回路

図4. 信号源波形(CH1)とR1の電圧(CH2)を観測
伝搬時間は52ns

図5. 信号源波形(CH1)とR2の電圧(CH2)を観測
伝搬時間は107ns

図6. 信号源波形(CH1)とR3の電圧(CH2)を観測
伝搬時間は52ns

図7. 図4~図6の結果は回路を伝送線路/分布定数線路だと考え
信号が波として伝搬していくと考えると説明がつく
実験結果はこのように説明することができる
この図3の回路を伝送線路/分布定数線路だと考えると、図7のように説明できます。信号変化は伝送線路を「波動」として伝搬していきます。波は分布定数線路のL/C間で電圧/電流の過渡現象を繰り返し生じさせ、その過渡現象が伝搬していくわけです。
この過渡現象により、伝搬していく電流の波動がCを通じて流れ、これがグラウンドのリターン電流として信号源側に戻ってくるわけです。線路はL/C(リアクタンス)なので無損失ですから、分布定数線路で継続していくこの過渡現象において、電圧量/電流量は変化しません。損失なくエネルギが伝搬していくのです。
これにより、グラウンドへのリターン電流が過渡現象で生じつつ、波動として伝搬していく信号変化と「一緒に」、そのリターン電流が伝搬していくようになるわけです。
ケーブル間も電磁気的に結合している!
この図4、図6を見ると気になることあります。信号の大きい変化は52ns時点で観測されていますが、それ以前で(約30nsのあたり)若干の盛り上がりやへこみが観測されています。
これは測定の都合上(同一のオシロスコープで観測する必要性から)、信号源とR1, R3を近づけてあったためで、ツイストペア・ケーブル間が電磁気的に結合してしまっていることが原因です。
「電気回路の豆電球」の質問はとても深い
参考文献[3]として挙げた、またこれから実際に実験をしてみる「電気回路の豆電球」の回路(図2)は、非常に含蓄が深いものです。
なんといっても、電線2と電線3の間は、豆電球が接続されているだけで、電源側との接続はされていません。たしかに「ホントにこれはどう考えるのだ?」とも思わせる質問なわけです。
質問はいかにも若い学生を装って(?)いますが、実は電磁気学が専門の大学教授が愉快的に書き込んだ質問ではないか?と勘ぐったりもできるものです(笑)。まあ大げさですね…。そんなことは無いでしょうが…(であれば、もっと条件を限定するはず)。
「電気回路の豆電球」の質問を実験開始!
それではいよいよ、「電気回路の豆電球」の質問という謎を解き明かすために、実証実験を行ってみます。実験回路を図8に示します(図2を詳細化しました)。ケーブル全長は10mで、R2は7mの位置、R3は3mの位置に挿入してあります。

図8. 図2の「電気回路の豆電球」の質問の実証実験回路

図9. 信号源波形(CH1)とR1の電圧(CH2)を観測
伝搬時間はほぼゼロns

図10. 信号源波形(CH1)とR2の電圧(CH2)を観測
伝搬時間は36.5ns

図11. 信号源波形(CH1)とR3の電圧(CH2)を観測
伝搬時間は15.5ns

図12. 信号源波形(CH1)とR4の電圧(CH2)を観測
伝搬時間はほぼゼロns
オシロスコープのCH1で信号源波形を、CH2で豆電球1, 2, 3, 4に相当する抵抗R1, R2, R3, R4の電圧降下を、それぞれ順番に差動プローブ(P6247)で差動測定しました。ここでも測定結果はひとつずつ示します。
またこの実験では、ツイストペア・ケーブルそれぞれの先端は終端抵抗を用いず(図8に示してあるように)、単にショートしています。反射波形もどんな波形が見えるでしょうか。
結果を図9(R1)、図10(R2)、図11(R3)、図12(R4)に示します。
「電気回路の豆電球」の実験結果は…
ここでの波形はとても興味深いです。図9では当然ながら遅延はありません。しかしツイストペア・ケーブルの入力周辺で、(グラウンドが浮いていることから)集中定数としてのリンギングか短距離の多重反射かは判別できませんが、大きな暴れが観測されます。ともあれ豆電球は点灯するわけです。まず「豆電球1が順当に、いちばん最初に点灯する」ことが確認されました。まあ、これは当然です。
つづいて豆電球2に相当するR2です(図10)。これは信号源から7mのところにあるので、図4の10m = 52nsの70%となる36.5nsとなっています。これも順当でしょう。
さらに豆電球3に相当するR3です(図11)。これは信号源から3mのところにありますが、グラウンド側なので「複雑に廻っているので何mなのか?」と思わせるものですが、10m = 52nsの30%となる15.5nsとなっています。これは図6とも符合するもので、回路のプラス側に電流が流れ始めると、マイナス側にも電流が(図7のように)誘起して、それが観測されているわけです。ということで「豆電球2の前に豆電球3が点灯する」となるわけですね!
最後に理解不能(?)な豆電球4です(図12)。なんとR1(図9)と同じで遅延がありません!
ということで「豆電球1と4が同時、つづいて3、最後に2」が答えなのですね。これも図7のように考えればいいわけですが、「線間がトランスになっている」という、別の見方というか、イメージもできます。
反射のようすも少し考えてみましょう。図9と図12は20mを伝搬する(10mを往復する)時間の107nsのところにカーソルを置いてあります。図5に合わせて107nsにしてあります。
実験のケーブル長は10mです。先端がショートした状態が、反射により10mの伝搬往復時間(107ns)で、信号源側で観測されています。そのとき抵抗R1, R4に流れる電流が増加し、抵抗R1, R4両端の電圧が上昇しているわけです。以降でもさらに波形が暴れていますが、これはR1~R4で発生している多重反射により生じているものです。
プリント基板上での位相速度はどう考える?という質問をいただいた
ここでこのツイストペア・ケーブルという伝送線路を電気信号が伝搬する時間を考えてみましょう。図3の抵抗R2は、20mの位置に挿入されています。信号源からここまでの伝搬時間は107nsです(図5の実験結果のとおり)。
これから位相速度を求めると1.87×108m/sとなります。光速(3×108m/s)よりも遅くなっていますね。同軸ケーブルの位相速度は光速の66.7%(これを波長短縮率といいます)ですが、ツイストペア・ケーブルでは62%程度になるのですね。
ところで、あるところで質問をいただきました。「プリント基板上のマイクロストリップ・ラインなどで、位相速度はどう考えるのか?」
この技術ノートとすれば少し補足的な話題ですが、以降ではプリント基板上(マイクロストリップ・ラインなど)の位相速度についてページを割いてみたいと思います。
位相速度は電界と磁界が伝搬する速度でもある
伝送線路の位相速度を透磁率と誘電率で表す
TNJ-039で伝送線路における位相速度Vpは、単位長インダクタンスLUと単位長容量CUから決まり

になると説明しました。別の表し方として以下があります。

ここでμrは絶縁体の比透磁率、μ0は真空の透磁率、εrは同じく絶縁体の比誘電率、ε0は真空の誘電率です。このふたつの式が等しくなることを、同軸ケーブルで考えてみます(参考文献[5])。まず単位長インダクタンスは

ここでaは内導体の外周半径、bは外導体(シールド)の内周半径です。同じく単位長容量は

これらから式(1)と式(2)が等しくなることが分かります。
伝送線路をガイドとして電解と磁界が伝搬している
しかしここでお伝えしたいことは、式が等しくなることではありません。伝送線路の中で、「電界と磁界の過渡変動が負荷端に向かって伝搬している」とも考えられる、ということです。図13のように伝送線路は、電界と磁界が伝搬するための「ガイド(導き台)」として働き、このガイドに沿って電界と磁界が伝搬しています。
そのように記載された図14の電磁気学の本[6]を最初に読んだときには、確かに私も「ホントかいな?」と思いました。しかし
- 電位差は電界を距離で積分したもの
- 電極間の電位差の変動(電界の変動)により電極間に電流(変位電流)が流れる
- 変位電流により磁界が生じる(アンペアの周回積分の法則)
- 変動磁界から電界が生じる(ファラデーの電磁誘導の法則)
- 電界は電位差になる
から、電圧は電界であり、電流が磁界であることが分かり、また図15のように「電位変動」⇒「電界変動」⇒「変位電流」⇒「変動磁界」⇒「電位差」と、それぞれが連鎖していることが分かります。
すなわち、伝送線路を電圧と電流で考えたものが分布定数モデルで、電界と磁界で考えたものが誘電率と透磁率になるわけですね。

図13. 伝送線路は電界と磁界が伝搬するための
「ガイド(導き台)」

図14. 「ホントかいな?」と感じた電磁気学の本 [6]

図15. 「電位変動」⇒「電界変動」⇒「変位電流」⇒「変動磁界」⇒「電位差」と連鎖している

図16. マイクロストリップ・ラインの電界分布のようす
空間と絶縁体それぞれに電界が通過している
(これによって実効比誘電率が決まる)
いよいよプリント基板上での位相速度を考える
いよいよプリント基板上での位相速度を考えたいが「実効」とか出てくる…
位相速度を計算するには、式(1)のアプローチもありますが、LU/CUを個別に求めるのは困難です。そこで式(2)のアプローチを採ります。式(2)は、プリント基板でのマイクロストリップ・ラインにおいては
- μrについては、絶縁体の比透磁率はほぼ1
- εrについては、マイクロストリップ・ラインで形成される実効比誘電率εreffというもので考える
となります。μrはよいにしても、ここでεreffという、またややこしいものが出てきました(笑)。「実効(effective)」です…。
マイクロストリップ・ラインでは図16のように電界が分布します。空間(εr=1のところ)に分布する電界と、絶縁体(FR-4であればεr≅4.8のところ)に分布する電界があります。すべての電界が絶縁体の中を通過するわけではありません。
そうすると空間の比誘電率と、絶縁体(FR-4)の比誘電率の影響度を考える必要がでてくるわけです。この度合いが「実効比誘電率εreff」(Effective Dielectric Constant)です。FR-4であれば、εreffはεr≅4.8より小さくなります。
ようやくプリント基板でマイクロストリップ・ラインの位相速度が求められる…
ここまで分かれば(といっても実効比誘電率εreffの算出方法は改めて以降に示しますが)、マイクロストリップ・ラインの位相速度を計算できます。式(2)を実効比誘電率として書き直すと

またμr=1なので

ここでcは光速になります(cはμ0とε0から求まります)。マイクロストリップ・ラインを電気信号が伝搬する位相速度は、光速から実効比誘電率の平方根ぶんの1になるのですね。
ちなみにプリント基板内層に形成される「ストリップ・ライン」では、電界がグラウンド・プレーンまで通過する経路は、すべて絶縁体(誘電体)が充填されていますので、εreff=εrになります。
IPCの技術資料で実効比誘電率の式が示されている
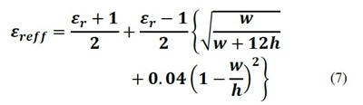
しかしこの実効比誘電率εreffをどのように求めるか…という壁があります。TNJ-039でも示した、IPC発行のデザインガイドIPC-2141A Design Guide for High-Speed Controlled Impedance Circuit Boards, Standard [8]に 、実効比誘電率εreffを求める式が掲載されています。引用してみると、マイクロストリップ・ラインのケースでは

ここでwはパターン幅、hは誘電体の厚さです(それぞれ比なので、単位は何でもかまいません)。この計算は(w/h)<1の条件のもので、(w/h)≥1の条件では0.04の項を無視します。特性インピーダンス50Ωだと(w/h)≥1の条件になりますので、計算は簡単です。
とはいってもいまどきはネットのツールで…
計算は簡単だとはいえ、実効比誘電率の計算もネット上のツールを活用できます。TNJ-039でも紹介したツール [7] を用いて、FR-4を仮定してマイクロストリップ・ラインの実効比誘電率εreffを求め、それから位相速度vpを計算してみましょう。計算結果(デフォルト設定でZ0 = 50Ωとし、εr = 4.8で計算。詳細条件は割愛)から、εreff = 3.5439という答えの「一例」が得られました。

図17. 伝送線路の考え方を活用して集中定数で作ったディレイ・ライン回路
(同軸ケーブル24mの遅延時間が実現できる)。
P板.comの「パネルdeボード」サービスからIEEC-DI007Aとして購入できる
これは光速の53.1%( =√(1/3.5439))の波長短縮率となり、位相速度はvp=159×106m/sと計算できます。マイクロストリップ・ラインを信号が伝搬する速度は、光速の半分程度になっているわけです。
ディレイ・ラインにもアイディアを活用できる
伝送線路/分布定数や位相速度の考え方がわかると、信号を任意に遅延できる「ディレイ・ライン」を構成することもできます。
図17は分布定数の考え方を活用して、集中定数により実現したディレイ・ライン回路です。単位長に相当するL/CをL = 390nH、C = 10pFとして、集中定数で分布定数線路を模倣し、L/C 1段で2nsの遅延時間を実現できました。全体でL/Cが60段あるので、同軸ケーブル24mに相当する遅延時間が実現できるものです。これも2015年のアナログ技術セミナーで展示しました。このプリント基板は、P板.com の「パネルdeボード」サービスから、IEEC-DI007Aとして購入できます。
ネット上の疑問について条件を限定しないときのふるまいは?
図2の回路は、オリジナルの質問を、電線1と2、また3と4はそれぞれ導体間が相互に電磁気的に結合している、つまり伝送線路だと条件限定しました。
ここではこの条件をとっぱらって、オリジナルの質問のままではどうなるか考えてみたいと思います。図18はグラウンド(大地)があるという考え方に基づいた場合です。いっぽうで図19はグラウンドも無い、たとえば宇宙空間に図2の回路があるとした場合です。
どちらの場合でも「それぞれの電線が相互に電磁気的にどれだけ/どのように結合しているか」で答えが決まるということです。
単純なループ形状であれば、スイッチに近いところのプラス側とマイナス側にある豆電球が最初に点灯しますが、それこそ形状が複雑だと相互の電磁気的結合のようすで豆電球の点灯する順番が決まってきます。
とくに図18では、グラウンドが電線間の結合の仲介役を果たしたり、グラウンドと電線との間で伝送線路が形成されたりすることになります。
2015年のアナログ技術セミナーでクイズの正答率
ところで、TNJ-039の図13や、本技術ノートの図1は、2015年のアナログ技術セミナーでクイズとして示したスライドでした。

図18. グラウンド(大地)があるという考え方に基づいた場合

図19. グラウンドも無い、たとえば宇宙空間に回路があるとした場合

図20. 2015年のアナログ技術セミナーで出題したクイズ - その2
(ちなみに答えは②)
その図1と、図20とで、セッション中で二つのクイズを出したのですが、クイズの正答率は17%でした(2問それぞれの正答率を平均)。他の講師出題のクイズの正答率はもっと高いものも多く、そのうちいくつかは80%を超えるものでした。「ちょっと難しすぎたかな」と以降で反省したものでした…。
ということで、そのセッションを聴講され、クイズの答えが分からなかった方も、ご心配なさらずに…と思っております。
それでもTNJ-039とTNJ-040をご覧になっていただけると、これらのクイズの答えも分かってくるものと思います。
まとめ
電気信号が伝搬するようすは不思議なようですが、それを「波動」だと考えていくと、だいぶ合点がいくことがお分かりいただけたかと思います。そしてそれらは「伝送線路」が媒体となっているということです。
現代のハイスピード回路設計、それもとくにプリント基板設計では、ここで説明した概念を「イメージとして理解しておく」ことが非常に重要です。戯れネタのようなこの話題を、是非実務にご活用いただければと思います。
最後の最後に、現代のハイスピード信号伝送に関する書籍を3冊ご紹介しましょう(図21)。ハイスピード回路のプリント基板設計に、間違いなく、活用できる知恵となる3冊[9-11]です。
参考・引用文献
[1] 電球が点灯する順番, 質問!ITmedia, http://qa.itmedia.co.jp/qa615057.html
[2] 電球のつく順番についてなんですが, Yahoo Japan知恵袋, https://detail.chiebukuro.yahoo.co.jp/qa/question_detail/q1226291687
[3] 電気回路の豆電球, 質問!ITmedia, http://qa.itmedia.co.jp/qa1821429.html
[4] Layout Guidelines for MMIC Components, Hittite Application Note, Analog Devices, http://www.analog.com/media/en/technical-documentation/ application-notes/layout_guidelines_for_mmic_components.pdf
[5] 石井 聡; 電子回路設計のための電気/無線数学, CQ出版社
[6] 桂井 誠; 基礎電磁気学, オーム社 [7] Microstrip Analysis/Synthesis Calculator, http://mcalc.sourceforge. net/#calc
[8] Design Guide for High-Speed Controlled Impedance Circuit Boards, Standard IPC-2141A, 2004, Institute for Interconnection and Packaging Electronic Circuits.
[9] Eric Bogatin, Signal Integrity – Simplified, Prentice Hall. 邦訳は「エリック・ボガティン; 高速デジタル信号の伝送技術 シグナルインテグリティ入門, 丸善」
[10] Howard Johnson, Martin Graham, 須藤 俊夫 監訳; 高速信号ボードの設計 基礎編, 丸善
[11] Howard Johnson, Martin Graham, 須藤 俊夫 監訳; 高速信号ボードの設計 応用編, 丸善
[12] Howard Johnson, Martin Graham; High Speed Digital Design: A Handbook of Black Magic, Prentice Hall. ※ [10, 11]の原著はHigh Speed Signal Propagation: Advanced Black Magic, Prentice Hall.

図21. ハイスピード回路のプリント基板設計への知恵となる3冊
著者について
デジタル回路(FPGAやASIC)からアナログ、高周波回路まで多...