要約
MAX14919/MAX14919Aは、4チャネル、ローサイドデジタル出力デバイスです。各出力チャネルは、最大500mAの出力電流に対応することができます。このアプリケーションノートでは、標準的なデジタル出力アプリケーションで出力チャネルを並列接続して出力電流の増大を実現する際に考慮すべき必要な情報を提供します。
はじめに
MAX14919/MAX14919Aは、産業用ソリューションで広く使用される産業用保護付き、4チャネル、ローサイドスイッチです。負荷/アクチュエータを駆動するデジタル出力デバイスは、負荷がフィールドに存在するため(産業用フロア、フィールド機器コントローラ、遠隔地のオープンエリアなど)、過酷な環境で動作する必要があります。デジタル出力デバイスは、外付け部品の有無にかかわらず、静電放電(ESD)、サージ、誘導性負荷の消磁イベントに対処し、安定して動作しなければなりません。
MAX14919/MAX14919Aデバイスには、利用可能な5V電源または標準的な24VDCフィールド電源から給電することができます。MAX14919/MAX14919Aの各出力に内蔵されているクランプは、最大±1kV/42Ωのサージ保護を提供し、誘導エネルギーの55V (typ)クランプを提供します。チャネルのオン抵抗が140mΩと小さいため、低電力損失で、自己発熱を低減することができます。集積化と外形サイズの小型化によって、MAX14919/MAX14919Aは省コストの高密度アプリケーションに使用することが可能です。
図1は、MAX14919/MAX14919Aを使用した絶縁型クワッド、ローサイドデジタル出力(DO)アプリケーションの標準的な例を示しています。

図1.MAX14919/MAX14919Aを使用した標準的なデジタル出力の簡易アプリケーションダイアグラム。
アクチュエータと負荷をスイッチングするためにチャネル当り500mAを超える負荷電流を必要とする産業用DOアプリケーションでは、出力能力を高めるために複数のチャネルを並列に接続する場合があります。図2では、4つのチャネルすべてを接続してチャネル電流を2A (typ)に増加させています。
図2.MAX14919/MAX14919Aを使用した4チャネル、2A/チャネル、ローサイドDOアプリケーション。
純抵抗負荷を駆動する場合は、このアプリケーションで十分かもしれません。しかし、標準的な産業用アクチュエータは一般に誘導性であり、スイッチはオープンした時に誘導性のエネルギーを安全に放電する必要があります。この場合、誘導消磁時に放電する必要があるエネルギーと同様に、スイッチ両端の電圧が増加するため、外付けTVS保護をローサイドDOスイッチの出力に適用する必要があります。MAX14919/MAX14919Aのデータシートに記載されているデバイスの仕様と通常動作の限度値を遵守しなければ、デバイスの損傷につながります。
MAX14919における誘導消磁
図3は、チャネル出力スイッチがターンオフされた時に、電流の変化によってインダクタの両端に逆EMFまたは逆起電力が生み出され、スイッチ出力に高電圧スパイクが発生することを示しています。この過渡電圧スパイクがMAX14919のクランプ電圧を超えて55V typに達すると、内蔵クランプがアクティブ化して内蔵FETがターンオンされ、負荷両端の誘導エネルギーが放電されます。高抵抗モードでは内蔵スイッチがターンオンされ、パスデバイスが自己発熱します。これは、過熱警報を示すFAULTステータス出力で確認することができます。
負荷インダクタンスに存在するエネルギーは、次の式で与えられます。

ここで、Lは負荷インダクタンス(H)、ILOADは負荷電流(A)です。

図3.MAX14919における誘導消磁。
誘導性負荷のターンオフイベント時にMAX14919の内蔵クランプで放散される総エネルギーは、次の式で見積もることができます。

VCLAMPは、内蔵クランプによるMAX14919の出力におけるクランプ電圧です。ILOADは、ターンオフ前に誘導性負荷を流れる初期電流です。
VFIELDは、負荷に対して利用可能なシステム電源/フィールド電源です。
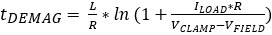
アクティブクランプ時に、スイッチが式2のエネルギーを放散するのにかかる時間は次のとおりです。

MAX14919/MAX14919Aは、500mAの負荷電流で各チャネルの48Ω抵抗負荷と直列に接続した1.2Hのインダクタンス両端の誘導エネルギーを同時に放電することができます。このデバイスを通じてエネルギーを放散する際、出力スイッチのローカル温度が熱警報またはサーマルシャットダウン温度を超えて上昇した場合は、負荷のターンオフ時間中に出力を示すステータス(FAULT)がローに遷移します。図4aは、1つのチャネルのみが消磁される時のMAX14919/MAX14919Aの出力応答を示しています。図4bは、4つのチャネルすべてが同時に消磁される場合の出力応答を示しています。

図4a.1チャネルの出力ターンオフ応答。

図4b.4チャネルの出力ターンオフ応答。
MAX14919によって吸収されるクランプエネルギーECLAMPは、125℃でチャネル当り200mJを超えるべきではありません。これが各チャネルで増加すると、過度な熱ストレスのためにデバイスが損傷する可能性があります。一般に、負荷インダクタンスが1.2H台後半で500mAを超える負荷電流をスイッチングする場合、シングルチャネルまたはマルチチャネルのアプリケーションでは、エネルギーを安全に吸収することができる外付けTVSダイオードクランプを追加します。
MAX14919/MAX14919Aを使用したシングルチャネル、2AローサイドDOアプリケーション
産業用デジタル出力モジュール/コントローラは通常、チャネル当り500mAまたはチャネル当り公称2Aの出力仕様を備えています。次のセクションでは、出力を並列接続して電流出力を2Aに増加させる際の設計上の考慮事項について説明します(図5)。
設計エンジニアは、85℃までの温度でデジタル出力デバイスの安定した信頼性の高い動作を実現するために、設計要件に従って実装および最適化すべき以下の項目を考慮する必要があります。
1.最大出力電流(2.4A)
アプリケーションは、許容誤差20%の24V DCフィールド電源(最大28.8V)に対応して設計され、最大2.4Aまでの出力電流に対応する必要があります。短絡および過電流状態には、出力電流を設定値に制限することによって出力を保護するMAX14919のRSET抵抗を使用して対処することができます。さまざまな電流制限レベルに対する各RSET値については、MAX14919/MAX14919Aのデータシートを参照してください。31.05kΩのRSETを使用して、チャネル当り600mA minの電流制限を設定します。
図5.MAX14919/MAX14919Aを使用したシングルチャネル、2AローサイドDOアプリケーション。
チップ内の4つの出力スイッチは、同じ局所的なシリコンジャンクション温度における標準的なオン抵抗マッチングの±1%以内で十分にマッチングされています。MOSFETのオン抵抗は、三極管動作で正の熱温度係数を持ちます。これには、チャネルのオン抵抗がわずかに小さい場合、別のチャネルに並列に接続するとより大きな電流が流れるというポジティブな副作用があります。オン抵抗が一致するレベルまでジャンクション温度が上昇し、その結果、並列に接続されたチャネル間で等しい電流の共有が実現します。優れたレイアウト手法を遵守し、設計で出力チャネルの相互接続に低インピーダンスの広いトレースを使用すると、I2Rの損失を最小限に抑える上で有効です。
MAX14919の2A DOアプリケーションで外付けクランプを選択
図5は、-40℃〜85℃の温度範囲で動作するシングルチャネル、2AローサイドDOアプリケーションを示しています。外付けTVSダイオードは、誘導エネルギーの放電とサージ保護に役立ちます。消磁を行う際は、最大1.2Hの負荷インダクタンスを考慮します。
外付けTVSダイオードの選択は、アプリケーションにおいてローサイドスイッチの安定した動作を実現する上で不可欠です。TVSダイオードを正しく選択すれば、すべてのエネルギー放散はこの外付けクランプを通じて発生します。スイッチングと定常状態の負荷電流を除き、DOは電気的ストレスを受けず、特定の温度で正常に動作します。
マージンを確保する設計
このセクションでは、2AローサイドDOソリューション向けの適切なTVSクランプを選択する手順について説明します。図4のアプリケーションダイアグラムを参照して、分析では次のパラメータを考慮します。
VFIELD-MAX = 28.8V、L = 1.2H, R = 12Ω、33VRM TVSの選択:SMCJ33A (Littelfuse)、
ILOAD-MAX = 2.4A、PPK_DIS-MAX = VCLAMP (ILOAD-MAX時) x ILOAD-MAX (W) 式4
- 
    TVS逆動作/スタンドオフ電圧 (VRM)
    
TVS逆動作電圧(スタンドオフ電圧と呼ばれることもある)は、低リーク電流(1uA程度)の電圧範囲であり、スイッチオフ状態で高リーク電流が発生しないように、最大定格フィールド電源電圧よりも高く選択する必要があります。33Vの動作電圧は電源電圧の28V maxよりも高いため、一般的に選択されます。
 - 
    サージ時のTVSクランプ電圧
    
サージ電流は通常の負荷電流よりもはるかに大きいため、サージ保護ではTVSダイオードの最大クランプ電圧を考慮します。サージ保護が必要である場合、ピークサージ電流レベルにおける外付けTVSダイオードの最大クランプ電圧は、(サージエネルギーが外付けクランプによって吸収される場合)サージパルス時の内蔵クランプのクランプ電圧よりも低くする必要があります。+1kV/42Ωのサージに対するMAX14919Aの出力内蔵サージクランプ電圧は+60Vより高く、負のサージについては-1Vのレベルでボディダイオードによってクランプされます。
 - 
    TVSクランプ電圧
    
クランプ電圧は、以下の2段階のプロセスによって、特定の周囲温度と電流レベルに対して見積もることができます。
- クランプイベントが反復的でないか、または長い間隔を空けて発生し、クランプのジャンクション温度が周囲温度に対して安定しているか、極めて小さなクランプテスト電流の変動値(例えばIT = 1mA)の場合、周囲温度に対するクランプ電圧の変化は次の式で決定することができます。
        

ここで、VCLはクランプ電圧であり、ダイオードのデータシートから入手可能なブレークダウン電圧値に等しくなります。αTは温度係数(/℃)です。TJは、周囲温度値に整定するダイオードのジャンクション温度です。
表1.SMCJ33の温度に対するクランプ電圧 Ambient Temperature Estimation Observation TA = 25°C 38.4V 38.1V TA = 85°C 40.4V 40V  - 誘導性キックバック時にダイオードを流れる電流は、クランプ電圧に影響を与えます。
        
特定の負荷電流に対する周囲温度での実効クランプ電圧は、次の式で決定することができます。

動的抵抗は、TVSダイオードのデータシートにあるRD対パルス持続時間の曲線から決定することができます。あるいは、さまざまな電流レベルに対するクランプ電圧の変化の傾きを測定することによって計算することもできます[1] 。TA = 25℃およびTA = 85℃でのさまざまな電流レベルに対するクランプ電圧の変化については、表2を参照してください。各電流レベルでのさまざまなクランプ電圧の観測から計算された動的抵抗RDを式6に適用します。実効クランプ電圧の計算値(VCLeff)は、表2に示すように、クランプ電圧レベルの観測値とほぼ等しくなるはずです。
アプリケーションにおけるクランプ時の最大電流レベル(2.4A)は、ダイオードで対処することができるピーク電流レベルを下回ります。したがって、動的抵抗は、与えられた電流レベルと温度に対して近似的に同じになります。
表2.電流に対する実効クランプ電圧 Ambient Temperature ILOAD VCLAMP (V)Observation VCLAMP (V) Estimation* TA = 25°C 100mA 39 38.34 500mA 40 39.3 2.15A 44 43.26 TA = 85°C 100mA 41 40.626 500mA 42 41.59 2.15A 45 45.55 *(式5と式6から)、RDの計算値 = 2.4Ω [SMCJ33A (Littelfuse)]  
 - クランプイベントが反復的でないか、または長い間隔を空けて発生し、クランプのジャンクション温度が周囲温度に対して安定しているか、極めて小さなクランプテスト電流の変動値(例えばIT = 1mA)の場合、周囲温度に対するクランプ電圧の変化は次の式で決定することができます。
        
 
与えられた消磁パルスに対するピーク電力損失の考慮事項
TVSダイオードのデータシートに記載されているピーク電力損失特性は、図6に示すように、ダイオードのデータシートで規定された指数関数的な電流減衰特性を持つサージ/テスト信号に基づいています。tdは、電流がピーク値の半分に達するまでにかかる時間です。
標準的な動作曲線である「ピークパルス電力対パルス幅(td)」および「ピークパルス電力ディレーティング(%)対初期ジャンクション温度」は、高温におけるダイオードの電力損失性能を示します。信頼性の高い安定した動作を実現するには、図4で説明したアプリケーションについて表2から計算されたダイオードのピーク電力損失が、最大動作温度(TA = +85℃)でディレーティングされた線内に収まる必要があります。

図6.ダイオードの入力テスト信号。Littelfuse SMCJ33Aのデータシートより。
消磁イベント時の標準的な電流減衰動作の形状は、近似的にのこぎり波または三角波形と考えることができます(図7と図8>を参照)。ピーク電力損失、温度ディレーティング曲線を参照する前に、さまざまな信号タイプについて同じ電力損失のパルス持続時間等価係数を決定することによって、この曲線のtdを見積もります。 [2]
特定の消磁イベント(三角波信号)について、ピーク電流の半分(IPPM/2)に達するまでにかかる時間は、電流がゼロに達するか、クランプが非アクティブ化されるまでの総消磁時間の約40%です。この40%によって、マージンを常に考慮に入れることが保証されます。表3は、ピーク電力損失と消磁時間の観測値および評価値を示しています。

図7.(TA = 25℃、ILOAD = 2.15A)。

図8.(TA = 85℃、ILOAD = 2.3A)。
| TA = 25°C | TA = 85°C | |||
| Observed | Estimated from Equation 3 | Observed | Estimated from Equation 3 | |
| Peak Power-max(W) at ILOAD = 2.4A from equation 4 | 105.6 | 106 | 110.4 | 112 | 
| Demagnetization time (tDEMAG) (ms) | 133 | 105.61 | 122 | 95.9 | 
| Effective pulse duration (td) (0.4 × tDEMAG) (ms) | 53.2 | 42.242 | 48.8 | 38.36 | 
| Diode | SMCJ33A | SM30T35AY | SM30T39AY | SMLJ33A | 5.0SMDJ33A | |||
| Manufacturer | Littelfuse | ST-Micro | ST-Micro | ST-Micro | Bourns Inc. | Littelfuse | ||
| Package | SMC | SMC | SMC | SMC | SMC | SMD | ||
| Power Rating (kW)* | 1.5 | 1.5 | 3 | 3 | 3 | 5 | ||
| TJ Max (°C) * | 150 | 150 | 175 | 175 | 150 | 175 | ||
| Peak Power Derating at 85°C* | 75% | 100% | 100% | 100% | 50% | 75% | ||
| VRM (V) * | 33 | 33 | 30 | 33 | 33 | 33 | ||
| VBR (Typ) (V)* | 38.4 | 38.6 | 35.1 | 38.6 | 38.6 | 37 | ||
| RD (O)# | 2.4 | 2 | 1.5 | 1.5 | 1.2 | 1.5 | ||
| aT (/°C) * | 1e-3 | 1e-3 | 9.9e-4 | 1e-3 | 1e-3 | 9.7e-4 | ||
| Measured at TA = 25°C | ||||||||
| VCLAMP at 100mA | 39 | 38.5 | 35 | 38 | 38.5 | 39 | ||
| VCLAMP at 500mA | 40 | 39 | 35.5 | 39 | 39 | 39.5 | ||
| VCLAMP at 2.2A | 44 | 43 | 37.8 | 41.3 | 41.2 | 41 | ||
| Measured at TA = 85°C | ||||||||
| VCLAMP at 100mA | 41 | 40.8 | 37.2 | 41 | 41 | 40.9 | ||
| VCLAMP at 500mA | 42 | 41.6 | 37.6 | 41.6 | 41.4 | 41.5 | ||
| VCLAMP at 2.2A | 45 | 44.9 | 40.1 | 44.14 | 43.4 | 44 | ||
| PPK_DIS (W) at 2.4A | 110.4 | 111 | 98.4 | 108 | 105.6 | 106.8 | ||
| tDEMAG at 2.4A (ms) | 112.81 | 111.9 | 139 | 117.16 | 121.9 | 119.5 | ||
| td (0.4x tDEMAG) (ms) | 45.12 | 44.8 | 55.6 | 46.8 | 48.7 | 47.8 | ||
| * メーカーのデータシートから取得したデータ。 # アプリケーションにおける標準的ユニットの評価によって決定されたデータ。  | 
        ||||||||
図9a~ 図9eは、SMC (1.5kW)、SMC (3kW)、SMD (5kW)タイプのさまざまなTVSダイオードのピーク電力損失曲線(ダイオードのデータシートから取得)、および2.4Aのキックバック電流を放電する際のピーク電力損失(PPK_DIS-MAX)の比較を示しています。10msを超えるデータは、分析のための推定値です。点線は85℃の周囲温度におけるディレーティングされた電力損失の線であり、ディレーティング率はメーカーによって異なります。さまざまなメーカーの汎用1.5kW SMC TVSダイオードの性能が比較され、特殊な3kWおよび5kWデバイスもこの比較に含まれます。
安全な動作を維持するには、消磁イベント時のTVSダイオードによるピーク損失は点線(各デバイスの85℃におけるディレーティング値)を下回る必要があります。表4に挙げられているダイオードを使用したアプリケーションの標準的な評価では、温度範囲全体でダイオードまたはMAX14919Aチップに損傷を与えることなく消磁イベントが成功しました。

図9a

図9b

図9c

図9d

図9e
1.5kW、3kW、および5kWのTVSオプションは、対数目盛で高温時のディレーティングされた線に対してより安全な動作領域内にあることがわかります。電力損失定格の高いデバイス(3kW、5kW)では、設計上、より大きなヘッドルームまたはマージンを確保することが可能です。上記の手順は標準的な評価であり、設計者はマージンとボリュームを確保する設計によって信頼性の高い動作を保証するために慎重に選択する必要があります。
定常状態の電力損失に関する考慮事項
負荷が繰り返しターンオン/ターンオフにさらされる場合はどうなるでしょうか。これはTVSクランプが一定期間、継続的に誘導消磁のために負荷をオフにする必要があるということです。
このアプリケーションでは、出力の誘導性負荷が特定の周波数で継続的にスイッチングされることを考慮します。サイクルのすべての立下りエッジで消磁が発生するため、ダイオード両端の平均電力損失を考慮に入れる必要があります。イベントの反復性のため、スイッチングの周波数(fs)が増加すると、ダイオードの平均ジャンクション温度は上昇します。ダイオードの平均ジャンクション温度は、ダイオードの絶対最大定格を超えてはなりません。
表面実装ダイオードはパッケージサイズが大きいため、これらのコンポーネントには、取り付け方法を規定するはんだ付け実装面積に関する推奨事項があります。したがって、電力損失は、ジャンクションからパッケージよりも、ジャンクションからリードにおいてよく放散される場合があります。ジャンクション温度(TJ)は、式7および式8に示すように、平均電力とデバイスのジャンクションからリードへの熱抵抗によって決定することが可能であり、特定のスイッチング速度(fs)に対して最大動作ジャンクション温度を下回らなければなりません。


あるいは、直接的な方法は、式7によって得られた平均電力と、TVSダイオードメーカーのデータシートに記載されている定常状態のディレーティングまたは定常状態の電力損失曲線を比較することです。
結論
MAX14919/MAX14919Aは、出力チャネルを並列接続することによって最大2AのローサイドDOアプリケーションで動作させることができ、その際には、外付けクランプを選択して信頼性の高い安定した動作を実現することを検討する必要があります。
参考資料/他のリソース
商標
- LittelfuseはLittelfuse Inc.の登録商標です。
 - BournsはBourns, Inc.の登録商標です。
 - ST MicroはST Microelectronics, Inc.の登録商標です。