Log amps and directional couplers enable VSWR detection
In addition to signal distortions, inefficiency and standing waves, RF energy reflected by impedance mismatching between a transmission line and its load can also damage the signal source, such as a power amplifier (PA). However, a circuit based on log amps and a directional coupler that detects the voltage standing-wave ratio (VSWR) of the resulting standing wave can be used to trigger protection of the PA from excessive VSWR values.
VSWR is a measure of impedance mismatches in a circuit. A large VSWR can cause many problems in RF circuits. Worst-case effects include permanent damage to RF/microwave high-power amplifiers (HPA), commonly termed as VSWR failure. It is essential to protect the HPA from such catastrophes. This article demonstrates a scheme to detect a VSWR condition and protect the HPA from such failures using directional couplers and high-performance RF logarithmic amplifiers. A prototype of the VSWR detection and protection scheme was designed and tested. A specific HPA design that gets damaged for VSWR > 4:1 was functional even after subjected to a VSWR > 15:1 when equipped with the proposed protection scheme.
The voltage and the current along a transmission line are related by a specific ratio known as the characteristic impedance (ZO). When conducted RF energy traveling along the transmission line encounters a load equal to the characteristic impedance, all of the available power is delivered to the load. Any discontinuity (mismatch) along the transmission line that changes the load impedance causes reflected currents and voltages along the line, creating a standing wave. Incident and reflected waves interfere constructively and destructively resulting in maximum (Vmax) and minimum (Vmin) as shown in Figure 1. Voltage standing wave ratio (VSWR), a measure of this mismatch, is defined as a ratio of Vmax/Vmin.

Figure 1. The standing wave on a transmission line under mismatch is a superposition of the incident and reflected waves.
Perfectly matched impedances (VSWR=1:1) result in ideal power transfer, while heavily mismatched impedances (high VSWR) result in reduced power transfer to the load. A high VSWR can cause problems anywhere in the system, but it is the PA preceding the antenna that is the most sensitive to these events. An excessive VSWR can reduce the operating range of the radio, cause the transmitted signal to saturate the receive section or cause the radio to heat up. More severe effects would damage the transmitter and break down the transmission line dielectric through some catastrophic failure mechanism, such as combustion. High VSWR can also cause shadowing in a TV broadcast system as the signal reflected off the antenna reflects again off the power amplifier and is then rebroadcast resulting in multipath-like phenomenon.
VSWR detection
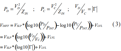
Equation 1 and Figure 1 show that VSWR can be calculated if the reflection coefficient is known.

where,
Vi = incident wave; Vr = reflected wave; Z0 = characteristic impedance; ZL= load

Figure 2 shows a directional coupler placed between the source and the load to isolate and sample the incident and reflected waves from the load. With high directivity, the ratio of incident wave to reflected wave is equal to the reflection coefficient, as shown in Equation 2. Thus, with the help of a directional coupler and detectors, the reflected and incident waves can be detected and post-processed (performing division of reflected and incident waves) to measure the reflection coefficient.

Figure 2. A directional coupler isolates and samples the incident and reflected powers from the mismatched load.

where,
C = coupling coefficient; D = directivity
θ and Φ = unknown phase delays through the coupler
VC = voltage on the coupled port (Port C) of the coupler, a sample of the incident wave
VD = voltage on the reflected port (Port D) of the coupler, a sample of the refelcted wave
Once the incident and reflected signals have been sampled and isolated, the magnitude of these signals needs to be detected, which requires dual detectors. The best detection method is determined by considering measurement accuracy and detection range over temperature.
Accuracy of the detection method will determine the accuracy of the VSWR measurement. The accuracy of the output used to detect the incident and reflected waves is degraded due to the coupling between the two channels, especially when the two channels are operating at different power levels. This implies that isolation is one of the primary criteria in detector selection. This isolation criterion is twofold: isolation between the two RF channel inputs, and isolation from one RF channel’s input to the other RF channel’s output. Isolation between the two inputs can be easily measured using a network analyzer, but input-to-output isolation is more important. Input-to-output isolation is measured by increasing the power level on one channel until it starts to affect the power detection accuracy of the other channel (at a much lower power level within its dynamic range) by 1 dB. The difference between the two power levels is the input-to-output isolation. Different valued couplers and attenuators can be used to position the power levels for a minimal difference at the inputs in order to reduce coupling. Coupling on the PC board also affects isolation. Care should be taken in the layout to isolate the RF inputs from each other.
The detection range for the incident signal is equivalent to the transmitter’s output power range, but detection of the reverse propogating signals that have been reflected from the interface needs to be greater. The reflected power level can range from a very small signal level (when there is a good impedance match between the PA and the antenna), to a signal level as large as the maximum level of the incident signal (when there is an open or short on the transmission line) requiring detectors with high dynamic range.
The fact that logarithmic subtraction is equivalent to division makes it easy to perform the complicated math of signal division, one important reason for selecting log amps for VSWR detection. For VSWR measurements using log amps, both detectors should be on the same chip to provide good matching for temperature and process variations. Log amps also have greater dynamic range than other detector types. All of this shows that the best detection method to use for VSWR applications is a dual log amp with high dynamic range and good accuracy over temperature.
In addition to the difference outputs it is preferable to have access to the individual log amp outputs since most RF designers use this information to simultaneously determine the output power of the Tx section. The ADL5519 is a good example of a dual log detector that has individual channel outputs and also the difference between the two channels. As shown in Figure 3, the ADL5519 offers a 54 dB dynamic range from low frequency to 8 GHz, with temperature drift less than ±0.5 dB, making it an ideal solution for detecting the incident and reflected waves and simultaneously controlling the output power. The excellent input-to-input and input-to-output channel isolation specs of the ADL5519 (>30 dB), shown in Figure 4 and Figure 5, make this part suitable for dual RF channel systems. The AD8302 can be used where there is no need for individual log outputs.

Figure 3. ADL5519’s log conformance at 900 MHz is within ±1 dB, with a drift <0.5 dB over temperature.

Figure 4. Isolation from one RF channel’s input to the other RF channel’s input for the ADL5519.

Figure 5. Isolation from one RF channel’s input to the other RF channel’s output for the ADL5519.
There are many ways to protect an amplifier from potentially damaging high VSWR. High VSWR conditions are generally catastrophic at high output powers, so the goal of the protection circuit should be to lower the output power, thereby placing the amplifier in a safe operating mode. The VSWR detection methodology is independent of the amplifier’s architecture, but the power control scheme of the architecture does influence the choice of the amplifier’s protection mechanism.
For the case where the amplifier’s power is controlled by an external pin, the output power can be easily reduced when a VSWR event exceeds a predetermined reference level. The proposed protection scheme has the capability of altering this reference level, extending VSWR protection to several different PA architectures.
VSWR protection prototype results
This VSWR protection mechanism was used to protect a GSM PA under heavy mismatch. A directional coupler and a dual detector were used to detect the reflection coefficient. When the VSWR is more than the safe limit, the protection circuit gets triggered lowering the amplifier’s output power by adjusting the voltage on its power-control pin.
The VSWR detection circuit, shown in Figure 6, consists of a directional coupler, a dual log detector, and a clamp circuit. The directional coupler between the HPA and the load couples a sample of incident and reflected waves on to the coupled and reflected ports, which are then fed to a dual log detector such as the ADL5519 or AD8302. A directional coupler with 30 dB coupling factor and greater than 15 dB directivity at 900 MHz was used to position the coupled and reflected signals within the detection range of the detector.

Figure 6. VSWR detection and protection apparatus using directional couplers and dual log detector.
The power from the reflected port (PD) of the directional coupler, which is proportional to the VSWR, is fed to one of the input channels of the detector. The power from the coupled port (PC), which is independent of the VSWR, is fed to the other input channel. As shown in Equation 3, the dual log detector computes the logarithmic subtraction of these two signals, resulting in a difference output VDIFF proportional to the ratio of the reflected and coupled signals that is equivalent to the reflection coefficient. The equations are valid for couplers with high directivity (>40 dB). With lower directivities the measured VDIFF output will be a function of the phase of the VSWR. A directivity of 15 dB was found to be sufficient for distinguishing between the VSWR of 1.5 and 3.0 without having to worry about the phase of the VSWR.

where,
VDIFF is the difference output (V) of the dual log amp detector
VSLP is the slope (mV/dB) of the log amp detector
PINT is the X-axis intercept (dBm) of the VOUT vs. PIN curve (see Figure 4)
VLVL is a constant common-mode voltage level (V)
ZIN is the input impedance of the detector
The op-amp-based clamp circuit triggers when the difference output (VDIFF) of the log detector increases by a predefined voltage level (VREF), indicating a high VSWR condition. Once a high VSWR condition is detected, the HPA is powered down into a safe operating mode using its power control voltage port (VAPC). POUT vs. VAPC characteristic of the PA should be considered while deciding on the VREF level. In this working model, the VREF level was set to trigger the clamp circuit for values of VSWR > 1.5:1.
The GSM PA shown in Figure 7 gets irreversibly damaged when exposed to VSWR > 4:1 at POUT = 34.5 dBm at 900 MHz. In an experimental test of the detector circuit conducted using these conditions, a similar GSM PA was functional even after withstanding a VSWR > 15:1, as shown in Figure 8. These results indicate that the apparatus was able to protect a power amplifier under severe mismatch conditions.

Figure 7. A GSM PA at 900 MHz is destroyed upon exposure to a VSWR > 4:1.

Figure 8. A GSM PA at 900 MHz is functional even after exposure to a VSWR > 15:1 when equipped with a VSWR detection and protection apparatus using directional couplers and dual log detector.
About the Authors
Related to this Article
Products
LF to 2.5 GHz TruPwr™ Detector
DC-Coupled Demodulating 120 MHz Logarithmic Amplifier