Eliminate EMI Worries with 2A, 15mm × 9mm × 2.82mm µModule Step-Down Regulator
Eliminate EMI Worries with 2A, 15mm × 9mm × 2.82mm µModule Step-Down Regulator
by
David Ng
Mar 1 2009
Introduction
“We failed EMI.” Those three dreaded words strike fear into the hearts and minds of electronics design engineers. There are four words that are even worse: “We failed EMI again.” The psyche of many a seasoned engineer is scarred with dark memories of long days and nights in an EMI lab, struggling with aluminum foil, copper tape, clamp-on filter beads and finger cuts to fix a design that just won’t keep quiet. A big part of the problem is the necessary profusion of switching power supplies, which contribute significantly to the radiated system EMI.
The LTM8032 is a DC/DC switching step-down µModule regulator built specifically for low EMI. It is rated for up to 36VIN, 10VOUT at 2A, and features adjustable frequency, synchronization, a power good status flag and soft-start. It is small, measuring only 15mm × 9mm × 2.82mm, integrating the inductor, power stage and controller in a ROHS e3-compliant molded LGA package.
10V/2A Supply Is EN55022 and CSIPR 22 Class B Compliant
Like most other µModule regulators, the LTM8032 is easy to use. As shown in Figure 1, all that is needed for a complete power design are the resistors to set the output voltage and operating frequency, and the input and output caps.

Figure 1. Just two resistors, input and output caps are needed to complete a power supply design with the LTM8032.
The LTM8032 is test-proven EN55022 and CSIPR 22 class B complaint, tested in an NRTL 5-meter chamber, set up as shown in the photo given in Figure 2. The LTM8032 is mounted on a circuit board with no bulk capacitance installed. The input and output capacitance are the minimum ceramic values specified in the data sheet for proper operation.

Figure 2. For EMI testing, the DUT is mounted on a circuit board and placed on a wooden table. The power source is on the floor.
The assembled unit is placed atop an all-wood table. The all-wood construction ensures that the test setup does not shield or shadow noise emanating from the device under test (DUT). The power source, a linear lab grade power supply, is on the floor. The load for the LTM8032, with its heat sink, is also on the table top.
Before measuring the emissions from the LTM8032, a baseline measurement is taken to establish the amount of ambient noise in the room. Figure 3 shows the noise spectrum in the chamber without any devices running. This can be used to determine the actual noise produced by the DUT.

Figure 3. The baseline measurement of ambient noise in the 5-meter chamber (no devices operating).
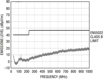
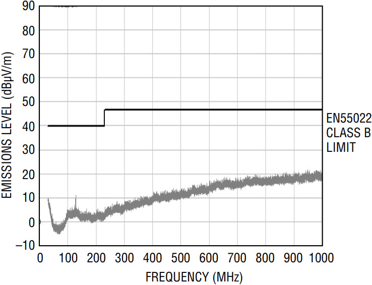
Figure 4 shows the worst case LTM8032 emissions plot, which occurs at maximum power out, 10V at 2A, from the maximum input voltage, 36V. There are two traces in the plot, one for the vertical and horizontal orientations of the test lab’s receiver antenna. As shown in the figure, the LTM8032 easily meets the CISPR 22 class B limits, with 20db of margin for most of the frequency spectrum, with either antenna orientation.

Figure 4. The LTM8032 emissions for 20W out, 36VIN.
Conclusion
The LTM8032 switching step-down regulator is both easy to use and quiet, meeting the radiated emissions requirements of CISPR22 and EN55022 class B by a wide margin.
About the Authors
David is a power systems manager at Analog Devices in California. He manages the development of power solutions for high performance ADCs, DACs, transceivers, amplifiers, and other signal chain devices for industrial, aero...