AN-1563: Optimizing the AD5940 for Electrochemical Measurements
Introduction
The AD5940 is a high precision, ultra low power, analog front end (AFE) system designed to excite and measure the current, voltage, or impedance response of a sensor.
The AD5940 is specifically designed for high precision analysis of electrochemical cells. This application note details how to set up and optimize the AD5940 to perform electrochemical measurements on a typical electrochemical cell.
The hardware used is the AD5940 evaluation kit, which includes the EVAL-ADICUP3029 Arm® Cortex™-M3 microcontrollerbased Arduino Uno form factor and the EVAL-AD5940ELCZ, shown in Figure 1.
Figure 1. EVAL-AD5940ELCZ Plugged into the EVAL-ADICUP3029.
Before using the AD5940 evaluation kit or implementing the instructions in this application, it is important to read the Limitations on Use and Liability section to prevent injury.
Evaluation Kit Contents
The following lists the items included in the EVALAD5940ELCZ evaluation kit.
- EVAL-AD5940ELCZ evaluation board
- EVAL-ADICUP3029 evaluation board
- Micro USB to USB cable
- Micro USB to crocodile clip cable
AD5940 Measurement Loop
The AD5940 data acquisition loop consists of a low bandwidth loop, a high bandwidth loop, a high precision analog-to-digital converter (ADC), and a programmable switch matrix.
The low bandwidth loop consists of the following:
- Low power, dual output digital-to-analog converter (LPDAC) that generates VZERO and VBIAS.
- Low power trans-impedance amplifier (LPTIA) used to convert current to voltage. The LPTIA ensures that the dc voltage in the sensor is zero when the dc voltage of the digital-to-analog (DAC) and the LPTIA bias voltage are equal.
The high bandwidth loop consists of the following:
- High speed DAC (HSDAC) and excitation amplifier designed to generate a high frequency ac excitation signal when making impedance measurements.
- High speed TIA (HSTIA) designed to convert high bandwidth current signals up to 200 kHz into voltages to be measured by the ADC.
The switch matrix consists of the following:
- A series of programmable switches that allows connection of external pins to the high speed DAC excitation amplifier and to the HSTIA inverting input.
- A series of programmable switches that allow calibration of unknown sensor impedance vs. an external known resistor connected to the RCAL0 pin and the RCAL1 pin.
- A series of programmable switches that allows connection of an external TIA gain resistor (RTIA).
Electrochemical/Potentiostat Measurement Theory
Electrochemical measurements are measurements carried out on an electrochemical cell. Common examples of electrochemical cells are electrochemical gas sensors, blood glucose strips, and continuous glucose monitoring devices.
An electrochemical cell typically has three electrodes: the counter electrode, the reference electrode, and the sense electrode (sometimes known as the working electrode). Two electrode and four electrode variants also exist, though they are less common.
In normal operation, a voltage is applied between the reference electrode and the sense electrode. This voltage is known as the bias voltage of the sensor. Electrochemical reactions occur at the sense electrode where a current is generated and measured. A potentiostat circuit is required to maintain the sensor bias voltage and sink or source current as it is required when the electrochemical reactions take place. The current is sink or sourced through the counter electrode. Figure 2 shows a typical electrochemical cell connected to the potentiostat amplifier (PA) circuit of the AD5940.
This application note describes how to carry out the following electrochemical measurements using the AD5940:
- Amperometric
- Chronoamperometric (pulse test)
- Cyclic voltammetry
- Square wave voltammetry
- Electrochemical impedance spectroscopy (EIS)
Limitations on Use and Liability
The application described in this application note is specific to the AD5940 for use with the EVAL-AD5940ELCZ evaluation board. In addition to the terms of use contained in the evaluation board user guides, it is understood and agreed to that the evaluation board or design must not be used for diagnostic purposes and must not be connected to a human being or animal. This evaluation board is provided for evaluation and development purposes only. It is not intended for use or as part of an end product. Any use of the evaluation board or design in such applications is at your own risk and you shall fully indemnify Analog Devices, Inc., its subsidiaries, employees, directors, officers, servants and agents for all liability and expenses arising from such unauthorized usage. You are solely responsible for compliance with all legal and regulatory requirements connected to such use.
Figure 2. Electrochemical Cell Connected to the AD5940.
Amperometric Measurement
Amperometric measurement is a basic electrochemical measurement where a bias voltage is applied to a sensor and the response current is monitored. Some sensors require no bias and are referred to zero bias sensors. The AD5940 uses its low power DAC, potentiostat amplifier, and LPTIA to set a voltage on the sensor and measure the current. The low power DAC is a dual output DAC with a 12-bit option and a 6-bit option. The 12-bit output, known as VBIAS, sets the voltage on the counter and reference electrode. The 6-bit output, known as VZERO, sets the voltage on the working electrode, also known as the sense electrode (SE). For zero bias sensors, the VBIAS and VZERO outputs are set to the same value, which is optimally 1.1 V for the AD5940. For a nonzero bias sensor, the bias across the sensor is set by adjusting VBIAS and VZERO. For a typical electrochemical application, such as an electrochemical gas sensor, the current measured on the SE0 pin is directly proportional to the concentration of gas present.
Hardware Configuration
To set up the hardware, plug the EVAL-AD5940ELCZ evaluation board into the Arduino connectors on the EVALADICUP3029. On the EVAL-AD5940ELCZ, ensure that the following jumpers are connected:
- JP6: jumper in Position B
- JP10: jumper between Pin 3 and Pin 4 on JP10
- JP11: jumper between Pin 3 and Pin 4 on JP11
Connect the EVAL-ADICUP3029 to the PC via the micro USB cable, as shown in Figure 3. Note that the USB connector is on the EVAL-ADICUP3029. The USB connector on the right hand side of the EVAL-AD5940ELCZ is used for the USB to crocodile clip cable.
Figure 3. Evaluation Board Setup.
Measurement Example
The AD5940 software development kit has a dedicated amperometric measurement example.
To run amperometric measurements on the evaluation hardware, there are the following options:
- SensorPal graphic user interface (GUI) tool
- IAR Embedded Workbench® firmware example
For quick prototyping, use SensorPal. There are a number of configurable parameters to define measurements, and SensorPal provides a quick graphing mechanism.
Firmware examples are also provided to make measurements. These examples are located in the software development kit (SDK). The SDK contains projects compiled in IAR Workbench 8.2 and Keil µVision® 5. Open the AD5940_AmperometricL example in either Keil or IAR. Instructions on how to install each can be found on analog.com.
To modify default measurement parameters, use the AD5940AMPStructInit() function. There is a data structure, AppAMPCfg, which contains the configurable parameters. More details on the firmware examples can be found in the AD5940_Library_and_Examples.chm file located in the document folder that is included in the SDK.
Theoretical Calculation
For this example, the JP6 jumper connects a resistor network to the SE0 pin and CE0 pin. The network consists of two 10 kΩ resistors in parallel.
SensorBias is a variable in the example project. If SensorBias is set to zero, there is no voltage between the reference electrode and sense electrode. Therefore, the current displayed is zero. Try modifying SensorBias to 300 mV. A current of roughly 353 µA is measured when the SensorBias is set to 300 mV. To verify that the measured value 353 µA is correct, measure the voltage between the reference electrode pin (RE0) and the sense electrode pin (SE0) and calculate the current using the following formula:
I = V(RE0 − SE0)/750 Ω
Note that the voltage between the RE0 pin and the SE0 pin is not exactly 300 mV as expected. This value is not exactly 300 mV because there is a 750 Ω resistor connected between the RE0 pin and the SE0 pin, and the voltage on each tries to match the other.
Running the Example in IAR
To build the project, right click on the project in the Workspace window and click Rebuild All, as shown in Figure 4.
Figure 4. Project Build.
To download the code to the microcontroller and begin a debug session, click the green play icon. Click Download and Debug (Ctrl+D) to start running the code (see Figure 5).
Figure 5. Starting the Debugger.
To view the measurement data, open a terminal program, such as RealTerm. Set the Baud rate to 230,400 and connect to the relevant communication (COM) port, as shown in Figure 6.
Figure 6. Data Displayed on the Terminal.
Chronoamperometric (Pulse Test)
Chronoamperometric, or pulse test, is a test in which the voltage across the counter electrode and sense electrode is pulsed, disturbing the normal bias for the electrochemical cell. The current response is measured on the sense electrode through the LPTIA. The measurement technique can have a number of applications. In the case of an electrochemical gas sensor, this test checks that the passage of charge between electrodes through the internal electrolyte during oxidation and reduction is operating properly.
In normal operation, the AD5940 sets the voltage on the counter electrode via VBIAS, and the voltage on the sense electrode is set via VZERO. These voltages are typically set to 1.1 V for a zero bias sensor. Then a pulse is applied on VBIAS for a defined duration. The response current is measured using the LPTIA or the HSTIA, depending on the speed of the response required. In this application, the LPTIA is used.
Chronoamperometric Hardware Configuration
Using the same hardware configuration as in the Amperometric section, move the jumper on JP6 to Position A. Moving the jumper connects the resistor/capacitor (RC) network shown in Figure 7 to the AD5940 CE0 pin, RE0 pin, and SE0 pin. This RC network models an electrochemical cell.
Chronoamperometric Measurement Example
At time zero, the counter electrode is held at midscale (1.1 V), and the sense electrode is held at a common mode of 1.1 V to ensure that no current flows through the network. Then a step voltage is applied to the sensor by increasing VBIAS. The resulting current flows through the network and is converted to a voltage using the LPTIA.
Figure 7 shows the RC network used for the pulse test. In this example, CS = 10 µF and RS = 6.8 kΩ.
Figure 7. Sensor Configuration for Pulse Test.
Chronoamperometric Theoretical Calculation
The RC time constant (τ) is the time constant of an RC circuit. The RC time constant is the time required to charge or discharge the capacitor through the resistor by 63.2% of the difference between the initial value and the final value. For an RC circuit, τ = R × C = 6.8 kΩ × 10 μF ≈ 68 ms.
The internal RTIA on the AD5940 is used to convert input currents to a voltage via the TIA. The RTIA is programmable depending on the scale of the input current. To select a suitable RTIA, the maximum expected current needs to be calculated as follows. Peak current is measured immediately after a voltage step is applied. Assume that a 500 mV pulse is applied on VBIAS. The capacitor is a short circuit. Therefore,
IPEAK = 500 mV/6800 Ω = 73.52 µA
To calculate a suitable RTIA value, use the following equation:
RTIA = 0.9 V/IMAX
0.9 V/73.52 µA ≈12,241 Ω
where 0.9 is the maximum input voltage allowed to the ADC for a gain of 1 and a gain of 1.5.
The closest internal RTIA to 12,241 Ω is 10 kΩ. This value is selected in the LPTIACON register.
Running the Chronoamperometric Example
The AD5940 software development kit has a dedicated chronoamperometric measurement example.
To run the chronoamperometric measurements on the evaluation hardware, there are the following options:
- SensorPal GUI tool
- IAR Embedded Workbench firmware example
For quick prototyping, use SensorPal. There are a number of configurable parameters to define the measurement, and SensorPal provides a quick graphing mechanism.
Alternatively, open the AD5940_ChronoAmperometric project in the IAR Embedded Workbench.
In the AD5940_Main.c file, there is an initialization function used to configure the measurement parameters (AD5940AMP StructInit()). Use this function to configure parameters such as pulse length and pulse amplitude.
To view the measurement data, open a terminal program, such as RealTerm. Set the Baud rate to 230,400 and connect to the relevant COM port, as shown in Figure 8.
Figure 8. Terminal Program Displaying Results.
To save the results to a new file, click the Capture tab. Select a suitable location and save the file with a .csv extension (see Figure 8). Open the file with Microsoft® Excel to create a graph of the data.
The following graphs show the raw ADC code plotted against time (see Figure 9) and the current response plotted against time (see Figure 10). Comparing the calculated theoretical peak current of 73.52 µA to the peak of the transient in Figure 10 shows that the measurement is correct.
Figure 9. ADC Code vs. Time.
Figure 10. Current vs. Time.
Cyclic Voltammetry
Cyclic voltammetry is an electrochemical measurement in which the voltage applied to an electrochemical cell is incremented and then decremented linearly in a triangular shape to a point. The response current on the working electrode is measured. To carry out this measurement on the AD5940, VZERO is set to output a voltage of 1.3 V. VBIAS can sweep from 0.3 V to 2.3 V, giving a ±1 V sweep. The response current is measured using the LPTIA. Alternatively, the HSDAC can be used where a quicker response time is needed.
Cyclic Voltammetry Hardware Configuration
Using the same hardware configuration as in the Chronoamperometric (Pulse Test) section, move the jumper on JP6 to Position B. Moving the jumper connects the parallel resistor network to the AD5940.
Cyclic Voltammetry Measurement Example
Figure 11 shows a portion of the cyclic voltammetry waveform. The step size refers to the amplitude of the step applied to VBIAS. The minimum step size is 537 µV on the AD5940. Sample delay refers to the amount of time to wait after the step is applied before measuring the current. Step duration refers to the length of time to wait before applying the next step in the sequence. The step duration must be greater than the sample delay. In the application example firmware included in the SDK, the step duration is calculated based on total measurement duration and the step number. The step size is calculated based on the number of steps, the start voltage, and the peak voltage.
Figure 11. Cyclic Voltammetry Waveform.
Cyclic Voltammetry Theoretical Calculation
A suitable RTIA must be selected to maximize measurement accuracy and to ensure that the maximum input range of the ADC is not violated. Calculate the estimated maximum current of the sensor. RampPeakVolt is a variable that sets the peak voltage of the measurement. The RampPeakVolt variable is configured in the AD5940RampStructInit() function. Set RampPeakVolt to 2.3 V, giving a peak voltage of 1 V on the sensor. RampStartVolt is set to −0.3 V. Set VzeroStart and VzeroPeak to 1.3 V, which is the midscale of the LPDAC. Therefore, the peak voltage of the ramp signal is RampPeakVolt − VzeroStart, which is 1 V. The peak negative of the signal is RampStartVolt − VzeroStart, which produces a value of −1 V. Therefore, the range of the signal is −1 V to +1 V.
IMAX is calculated using the following equation:
IMAX = V/R =1 V/750 Ω = 1.33 mA
where:
V is the peak voltage of the signal.
R is the value of the resistor under test.
RTIA is calculated using the following equations:
RTIA = 0.9 V/IMAX
RTIA = 675 Ω
where:
RTIA is the calculated gain resistor.
IMAX is the maximum estimated current.
The maximum voltage allowed at the input of the ADC when the PGA gain is 1 or the gain is 1.5 is 0.9 V.
The closest internal resistor value to 675 Ω is 200 Ω in the AD5940 (if the next biggest resistor value of 1 kΩ is selected, the ADC outranges). Therefore, the internal 200 Ω RTIA is selected.
Running the Cyclic Voltammetry Example
The AD5940 software development kit has a dedicated ramp measurement example.
To run cyclic voltammetry measurements on the evaluation hardware, there are the following options:
- SensorPal GUI tool
- IAR Embedded Workbench firmware example
For quick prototyping, use SensorPal. There are a number of configurable parameters to define the measurement, and SensorPal provides a quick graphing mechanism.
Alternatively, open the AD5940_Ramp project in the IAR Embedded Workbench.
In the AD5940_Main.c file, there is an initialization function used to configure the measurement parameters (AD5940RampStructInit()). Use this function to configure parameters such as start voltage and peak voltage.
Build the project and launch the debugger interface. Open RealTerm to capture data. Save the data with a .csv extension so that the file can be opened in Microsoft Excel for analysis. Figure 12 shows a plot of response current for the ramp example.
Figure 12. Ramp Current Response.
Square Wave Voltammetry
Square wave voltammetry (SWV) is an electrochemical technique where the voltage between the reference and sense electrode is incremented in a square wave fashion, as shown in Figure 13. The response current on the working electrode is measured after each half step.
This technique is similar to the cyclic voltammetry method outlined in the Cyclic Voltammetry section.
Figure 13. Square Wave Voltammetry.
Square Wave Voltammetry Hardware Configuration
For square wave voltammetry, the hardware remains the same as in the Cyclic Voltammetry section
SQUARE WAVE VOLTAMMETRY MEASUREMENT EXAMPLE
The AD5940 software development kit has a dedicated square wave voltammetry measurement example, which is the AD5940_SqrWaveVoltammetry.
To run the square wave voltammetry measurements on the evaluation hardware, there are the following options
- SensorPal GUI tool
- IAR Embedded Workbench firmware example
For quick prototyping, use SensorPal. There are a number of configurable parameters to define the measurement, and SensorPal provides a quick graphing mechanism.
Alternatively, open the AD5940_SqrWaveVoltammetry project in the IAR Embedded Workbench.
In the AD5940_Main.c file, AD5940SWVStructInit() is an initialization function used to configure the measurement parameters. Use this function to configure parameters such as start voltage, peak voltage, frequency, and amplitude.
| Label in Figure 13 | Variable Name in Firmware |
| E1 | SqrWvStartVolt |
| E2 | SqrWvPeakVolt |
| Freq | Frequency |
| EP | SqrWvAmplitude |
| ESTEP | SqrWvStep |
| Delay | SampleDelay |
Running the Square Wave Voltammetry Example
Rebuild the project and launch the debugger interface. Open RealTerm to capture data. Save the data with a .csv extension. Figure 14 shows a plot of response current for the SWV test, incrementing the signal from −1 V to +1 V with EP = 50 mV, ESTEP = 5 mV, and frequency = 25 Hz. Figure 15 shows a portion of the graph zoomed in to highlight the current profile.
Figure 14. SWV Current Response.
Figure 15. SWV Current Response Zoomed In.
Electrochemical Impedance Spectroscopy
Electrochemical impedance spectroscopy (EIS) is an electrochemical measurement in which the impedance of the electrochemical cell is measured over a range of frequencies.
The AD5940 can carry out EIS measurements with frequencies of up to 200 kHz. Also, a dc bias applied on an electrochemical cell can be maintained even when carrying out impedance measurements.
EIS Hardware Configuration
Hardware can remain the same as in the Square Wave Voltammetry section. Alternatively, move the jumper on JP6 to Position A to measure the impedance of the RC network.
EIS Measurement Theory
The EIS measurement uses a ratiometric approach. A signal is applied across the known resistor (RCAL), and the response current is measured. The same signal is then applied across the unknown impedance, and the response current is measured. A discrete Fourier transform (DFT) is performed on the resulting currents to determine the magnitude and phase values of each current. The unknown impedance magnitude can then be calculated using the following equation:

Figure 16. 2-Wire Measurement Overview.
EIS 3-Wire Measurement
Figure 17 demonstrates how to carry out a 3-wire impedance measurement. The sensor is disconnected from the low power potentiostat and LPTIA circuitry. The sensor is then connected to the HSDAC excitation amplifier and to the HSTIA via the switch matrix. The HSDAC and HSTIA are needed for high bandwidth signals of up to 200 kHz.
The measurement steps required vary depending on which pin is connected to the HSTIA inverting input. The varying measurement steps are due to the internal load resistor on the SE0 path. The steps are described in the Sense Electrode Connected to AINx Pins section. This internal load resistor is required for low impedance sensors to limit the current into the HSTIA.
Sense Electrode Connected to AINx Pins
When the sensing electrode is connected to an AINx pin, the impedance measurement is a two-step process.
- Measure Rz.
- Measure RCAL.
The excitation signal is coupled onto CE0, and the response current is converted to a voltage by the HSTIA through AINx, as shown in Figure 17. The ADC measures the voltage, and the on-chip DFT hardware accelerators calculate the real value and the imaginary value and store them in the data FIFO. The number of DFT samples is programmable up to 16,384 samples.
Then, by modifying the switch matrix, the excitation signal is coupled onto RCAL, as shown in Figure 18. The real value and the imaginary value are calculated and stored in the data FIFO. The impedance is calculated using the following equations:

where:
r and i are the real and imaginary components that were stored
in the data FIFO.
RTIA is the value of the TIA gain resistor in Ω.
Figure 17. EIS Block Diagram, Measuring Sensor.
Figure 18. Measuring RCAL.
Sense Electrode Connected to SE0 Pin
When the sense electrode is connected to the SE0, an extra resistor, SE0LOAD, is added to the measurement. Adding the resistor to the measurement requires an extra step to be added to the impedance measurement process. The three steps are as follows:
- Measure RZ + RLOAD.
- Measure RLOAD.
- Measure RCAL.
The signal path for measuring RZ + RLOAD is shown in Figure 19. The sine wave is applied to the sensor, and the response current is routed through to the HSTIA. The output of the HSTIA is connected to the ADC, and the DFT hardware accelerators calculate the real and imaginary parts of the data.
For measuring RLOAD, the switch matrix is configured so that SE0 is connected to the output of the excitation amplifier. D7, P7, N7, T7, and T9 are closed. The sensor is disconnected from the AD5940 at this point. The impedance is measured.
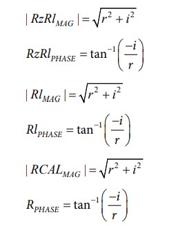
The first calculation step is to calculate the magnitude and phase for each of the three measurements with the following equations:

where:
RZRl refers to the result obtained by measuring RZ + RLOAD.
Rl is the result obtained from measuring RLOAD.
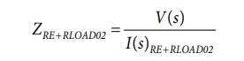
In Step 1, a voltage is applied across RZ + RLOAD. Use the following equation:

Therefore,

In Step 2, a voltage is applied across RLOAD. Use the following equation:

Therefore,

In Step 3, a voltage is applied across RCAL. Use the following equation:

Therefore,

where:
s indicates a function of time.
V(s) is the voltage applied.
I(s)CAL is the measured current.
ZCAL is the magnitude.
Therefore, based on Step 1, Step 2, and Step 3,

If ZCAL(magnitude) = 200 Ω and ZCAL(phase) = 0, it is possible to obtain the following equations:

Figure 19. Sensor Connected to SE0.
Figure 20. 2-Wire Impedance.
EIS 2-Wire Measurement
For 2-wire measurements, the procedure is the same as in the EIS 3-Wire Measurement section. However, the feedback path for the excitation amplifier is tied back internally through P11, as shown in Figure 20.
EIS WITH DC BIAS ON SENSOR
It is also possible to apply a dc bias across the sensor while simultaneously measuring the impedance.
Figure 19 shows the signal path for EIS measurements. The D5, P5, N5, T5, and T9 switches (controlled by the switch matrix) are closed to connect the sensor to the excitation amplifier and the HSTIA. Note how the DAC dc buffers are enabled (Register AFECON, Bit 21 = 1). With these buffers enabled and HSTIACON = 0x1, the voltage on the HSTIA noninverting input and SE0 is VZERO. VBIAS is connected to the P node of the excitation amplifier. VBIAS sets the bias voltage of the amplifier, and therefore also sets the voltage on CE0 and RE0. The sensor bias voltage is the difference between VBIAS and VZERO. The EIS sinusoid signal oscillates centered on VBIAS, as shown in Figure 21. The maximum amplitude is 600 mV.
Figure 21. Impedance with DC Bias.
EIS Measurement Example
The AD5940 software development kit has a dedicated EIS measurement example.
To run EIS measurements on the evaluation hardware, there are the following options:
- SensorPal GUI tool
- IAR Embedded Workbench firmware example
For quick prototyping, use SensorPal. There are a number of configurable parameters to define the measurement, and SensorPal provides a quick graphing mechanism.
Alternatively, open the AD5940_Impedance project in the IAR Embedded Workbench.
In the AD5940_Main.c file, the As5940ImpedanceStructInit() function is an initialization function used to configure the measurement parameters. Use this function to configure the excitation signal frequency and other parameters. It is also possible to perform a frequency sweep, which is configured in the Impedance.c file.
Figure 22. Impedance Results on Terminal.