数字隔离器的安全可靠性
一方面,设计工程师不想在系统中增加电流隔离;另一方面,为了满足国内或国际安全法规要求,他们不得不这样做。增加电流隔离的弊端是隔离直接放在数据路径中,会导致延迟并使系统变慢。此外还会增加功耗、尺寸和成本。这些折中令人遗憾。多年来,设计工程师使用光耦合器,勉强应对这些缺点,但一种新型电流隔离器——数字隔离器已经上市,缓解了这些不利影响。利用数字隔离器可以实现尺寸更小、能效更高、更具性价比、性能更高的设计。然而,安全标准并未同步跟进,给数字隔离器带来了困惑和不确定性:它们是否像电流隔离一样安全?它们是否满足安全法规要求
答案是肯定的:数字隔离器能够满足国内和国际标准的安全要求。但是,大多数供应商提供的光耦合器具有相似的结构,数字隔离器则不然,不同供应商以不同方式设计和制造数字隔离器,因而隔离能力不尽相同,特别是与光耦合器强健的隔离能力相比较时。因此,并非所有数字隔离器技术和实现方案都能提供同样的安全性。
隔离器有四个主要考虑因素:
- 绝缘材料
- 隔离元件
- 数据传输架构
- 封装
每个要素都存在不同的选择,最终组合决定隔离器的能力。本文将聚焦于绝缘材料,它是决定安全性高低的主要因素。光耦合器使用各种聚合物材料,包括封装的环氧树脂塑封材料。数字隔离器使用类似的聚合物或聚酰亚胺材料,也可以使用二氧化硅。隔离寿命和最高耐受电压的不同取决于材料和制造工艺。我们先考虑安全标准以及它们与不同类型隔离器的关系。
了解隔离要求:标准的复杂性
系统级标准旨在处理环境条件与系统使用条件的差异。例如,家用电器的要求不同于医院用病人监护仪或工厂中电机驱动器的要求。它们常常通过引用电流隔离器特定的器件级标准来说明隔离安全性。有三种标准值得注意:
- IEC 60747:半导体器件——第1部分:通则
- UL 1577:光学隔离器标准
- VDE 0884-10:半导体器件——用于安全隔离的磁性耦合器和容性耦合器
虽然各种标准的目标相似,即确保用户、操作员和设备的安全性,但采用的方法不同。IEC 60747区分了隔离等级(例如基本绝缘与增强绝缘),UL 1577则注重隔离器在一定时间内(通常是1分钟)耐受某一电压水平的能力。为了适应所有可能的使用情形和条件,系统设计师常常需要获得多种器件级标准的认证。
数字隔离器的兴起使问题更加复杂,因为许多此类标准是在设计师只有光耦合器可用时制定的。这些标准紧盯与光耦合器相关的弱点,提供了保证安全性的途径。
对于光耦合器,这些方法非常有效,但可能不适用于数字隔离器。以认证工作电压为例,它是连续施加于隔离栅的电压。具有认证工作电压的隔离器应能终身耐受该电压。
IEC 60747要求通过生产部分放电测试来验证光耦合器的工作电压。标准机构已经认定,部分放电起始电压和诱感电压与光耦合器的工作电压相关。制造工艺使用注塑方法,容易在塑料内部产生空洞。在压力下,此类空洞可经历更高的电场,导致部分放电引起的性能降低。在高压下进行部分放电测试可以检测是否存在空洞,发现在现场应用中会失效的次品。
这种部分放电方法并不完全适用于数字隔离器。数字隔离器确实使用类似的封装材料,必须利用部分放电进行测试以判断有无缺陷,但还有其他老化机制与绝缘材料相关。隔离元件使用的主要隔离材料是通过严密控制的晶圆级工艺沉积而成,不大可能产生空洞,因而受部分放电的影响较小,但其他老化机制开始占主导地位。数字隔离器声称的特定工作电压(通常表示为VIORM,依据IEC 60747)可能会造成误解,因为它仅反映在给定电压下通过部分放电测试的能力。
由于部分放电对于数字隔离器工作电压是不完整的测试,因此需要其他测试和表征。IEC的未来标准将解决这一问题并引入新的方法。在过渡期间,数字隔离器供应商有义务证明他们如何保证器件在额定工作电压下能够终身正常工作。
测量iCoupler数字隔离器的高压寿命
ADI公司通过部分放电以外的测试保证iCoupler®数字隔离器的工作电压。iCoupler数字隔离器在平面变压器线圈之间使用20 μm厚聚酰亚胺绝缘层,这是晶圆制造工艺的一部分(见下图)。这种制造工艺能以低成本将隔离元件与任何晶圆半导体工艺集成,实现出色的质量和可靠性。下面的剖面图显示了被厚聚酰亚胺层分开的顶部和底部线圈的匝数。聚酰亚胺材料用于绝缘已有多年的历史。过去十多年来,已有近10亿只iCoupler变压器投入使用。

为了测量这些芯片级隔离变压器的工作电压寿命,我们采用高压耐受性(HVE)设置。HVE是在更高电压水平(通常远高于额定工作电压)下通过失效时间实验完成的。
电荷注入是导致器件隔离击穿的主要HVE失效机制。电荷注入聚酰亚胺绝缘层后,可能会被限制在局部陷阱位置并释放能量。如果释放的能量足够高,聚酰亚胺内的键结就会断开,从而产生更多陷阱位置,导致更多空间电荷被捕捉。这种正反馈最终造成绝缘击穿。
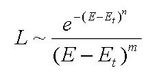
通过热力学分析1,寿命L可以表示为:

其中,Et是无电荷注入发生的阈值场,m和n是比例常数。
经观测,iCoupler器件的HVE数据符合下式

其中,L是10 ppm时的失效时间,V是施加的连续高压。
下图是一个简化示例,使用来自高压受测样本的四个数据点来拟合该模型,并外推回典型工作电压。

此数据是在将样本置于800 V到2000 V rms的60 Hz共模电位差下测得的。各单元的失效时间记录并汇总于下面的威布尔图中。对于预期工作电压范围内的较低电压,失效时间通过外推获得。

iCouplerHVE寿命取决于施加的电压是交流还是直流电压。在直流电压下,静态场会阻止能量的捕捉/重组合释放。因此,直流寿命远远长于交流寿命。iCoupler产品始终指定最差情况下的交流寿命。
工作电压的均方根(rms)规格也可能引起误解。400 V rms波形实际上是一个在正560 V与负560 V之间切换的正弦波形,因此隔离栅上的最高峰峰值电压实际上是1120 V。我们已经确认,在额定电压为400 V rms的双极性波形下的寿命与在1120 V峰峰值波形下的寿命相同,与中心电压无关。由于安全至关重要,数据手册应采取保守态度以确保无潜在危险,因此iCoupler数字隔离器的数据手册指定了绝对最差情况工作电压。
结论
数字隔离器的引入使得业已复杂的安全标准愈加令人困惑,因为数字隔离器使用不同于电流隔离的材料和元件,并非所有标准都适用于数字隔离器的要求。关于某种工作电压条件下的寿命,与光耦合器不同,基于部分放电的认证不足以保证数字隔离器能在数十年的使用期间安全可靠地工作。应对这些问题的新标准正在制定过程中,但在新标准颁布以前,数字隔离器供应商必须用可靠的数据弥补这些标准,支持可靠性达数十年的承诺。正因如此,基于聚酰亚胺绝缘材料的iCoupler数字隔离器利用加速寿命测试,保证器件在额定工作电压下能够安全可靠地工作50年以上。