峰值电流模式下连续电流DC-DC转 换器建模及环路补偿设计
在服务器等诸多应用中,电源轨的负载瞬态响应要求越来越严格。此外,由于涉及到复杂的拉普拉斯变换函数计算,对于很多工程师而言,环路补偿设计通常被视为一项困难而又耗时的任务。
本文将首先讨论广泛使用的峰值电流模式(PCM)的连续电流(CCM)DC-DC转换器的平均小信号数学建模。然后使用了ADI公司的开关电路仿真工具ADIsimPE/SIMPLIS进行仿真,以较大程度减少复杂的计算工作。随后,推理出一种简化模型,用于实现更简单、更快速的环路补偿设计和仿真。最后,我们使用ADP2386EVAL评估板进行环路测试,结果证明环路交越频率、相位裕度、负载瞬态响应仿真结果均与测试结果匹配良好。
PCM平均小信号建模
如图1所示,电流模式DC-DC转换器包含六个模块:反馈电阻分压器、补偿网络、电流检测和采样、比较器、功率级和输出网络。在环路中,电感电流斜坡信号与经过补偿后的输出电压误差信号比较,生成PWM信号,以驱动开关来调制电感电流。电感电流流入输出电容器和负载。在所有六个模块中,功率级是唯一的非线性模块,也是DC-DC建模难度最大的模块。

图1. 电流控制降压转换器框图。
以3端开关为功率级建模:
- 主动开关端(A)
- 公共端(C)
- 被动开关(P),如图2所示,我们可以得出以下的公式1:


图2. 3端开关的平均小信号模型。
这是将三端开关等效于线圈匝数比1:d的变压器,是一种仅在连续电流模式下有效的平均模型。对其求导得到公式2:
![]()
由此已将小信号
应用到平均模型中,成为平均小信号模型(ASSM)。使用此模型,可以将功率级线性化以便进行分析。
仍以PCM CCM降压转换器为例,将其进行拉普拉斯建模,框图如 图3所示。其中有两个控制环路:电压环路和电流环路。在电流环路中,由RT检测的电感电流信号经过采样作为比较器第一个负输入信号。在电压环路中,输出电压纹波由增益K的电阻分压器检测经过补偿器网络Av(s)后的误差电压作为比较器的正输入。两个环路的输入与斜率补偿信号一起比较生成占空比信号,驱动平均小信号模型的功率级以调制电感电流。

图3. PCM CCM DC-DC控制模型框图。
从电感电流到输出电压的增益函数即输出负载网络函数如公式3所示:

从PWM占空比到电感电流的增益函数如公式4所示:

比较器增益Fm如公式5所示,Sn是电感电流的上升斜率,Se是斜率补偿,Ts是开关周期:

采样的增益函数如公式6所示:

从输入电压到电感电流的增益函数如公式7所示:

电流环路增益函数如公式8所示:

电压环路增益函数如公式9所示:
![]()
环路增益函数如公式10所示:

DC-DC环路增益设计目标有四个考虑因素:
- 高DC环路增益,实现低DC误差
- 宽环路带宽,实现快速瞬态响应
- 穿越频率处–20 dB滚降,实现更高的相位裕度(>45°)
- 高频处下的高衰减增益以抑制带外噪声
在整个环路中,工程师可以通过设计补偿网络Av(s)和反馈电阻K来影响环路性能。工程师因此,环路设计包括两个步骤。首先,断开反馈电阻与输出的连接,得到开环增益如公式11所示:

然后设计补偿网络Av(s),以补偿开环增益Goc(s)的零极点,以达到环路增益设计目标。
图4显示当
时的正常负载条件下,
在低频区域,有一个极点 (1/2πRoCo)和一个零点(1/2πRcCo),在高频区域,有一个二阶极点 (1/πfs) ,由采样函数He(s)产生。补偿网络Av(s)的目的是扩大交越频率,确保接近交越点的–20 dB滚降斜率,并且获得大于45°的相位裕度。补偿器具有两个极点和一个零点;一个极点用于补偿开环增益电容器ESR零点,另一个极点用作积分器以提高环路DC增益,零点可补偿开环负载极点。开环增益高频二阶极点 (1/πfs) 有利于噪声抑制。

图4. PCM CCM DC-DC环路设计步骤。
采用SIMetrix/SIMPLIS的ADsimPE工具是一款个人版本的电路仿真软件,非常适合评估来自ADI公司的线性和开关器件。SIMetrix适用于运算放大器等线性电路,SIMPLIS则面向各种开关器件,例如DC-DC转换器和PLL。在图5中,建立了一个PCM CCM降压转换器参考电路,以检查电路行为和ASSM模型精度。这是一个PCM同步降压变压器,具有3.3 V的输入、1.2 V的输出、1.2 MHz的开关频率。

图5. PCM CCM降压转换器SIMPLIS参考电路。
计算和仿真结果如图6所示,在左侧的平均小信号模型的环路增益计算结果中,交越频率为50 kHz,相位裕度为90.35°。在图6的 右侧可以看到SIMPLIS仿真结果,在47.6 kHz的交越频率下,相位裕度为90.8°。这证明了ADIsimPE/SIMPLIS开关电路仿真结果与复杂的ASSM计算相符,前者为设计人员提供了快速的环路设计方法。但是,图5中显示的原理图构建并不简单。

图6. ASSM计算结果和SIMPLIS仿真结果。
PCM简化平均小信号建模
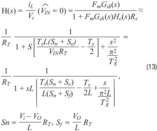
考虑到交越频率远大于应用中的1√LCo,可对复杂公式执行估算。对于公式4,从PWM占空比到电感电流的增益函数可以简化,如公式12所示:

可从图3得出开环增益函数,它是补偿网络输出电压到电感电流的传输函数,如公式13所示:

Se是补偿斜率的正沿的斜率。公式为

交越频率远大于1√LCo,因此,公式13中的开环增益函数可进一步简化为公式14:

这意味着开环ASSM可以简化为补偿器输出电压控制的电流源,流入产生电感电流的RLC网络,如图7所示。与原先的复杂公式相比,用于仿真或计算的这个模型要简单得多。

图7. 简化的ASSM开环电路。
使用图5中的参考电路中,计算Re 和Ce,然后在ADSimPE中建立闭环简化ASSM电路,如图8所示。SIMetrix仿真结果显示在图8的右半部分,交越频率为49 kHz,相位裕度为90.5°,这与第2部分中显示的ASSM计算结果和SIMPLIS仿真结果相匹配。

图8. 简化的ASSM仿真电路和结果。
ADP2386建模仿真和测试结果
ADP2386是ADI公司提供的一款同步PCM CCM降压变压器。它可支持最高20 V的输入电压和低至0.6 V的输出电压,输出电流最高可达6 A,开关频率在200 kHz至1.2 MHz之间。该器件的多功能性使它能够应用于降压应用和反相Buck-Boost拓扑结构,而不会增加成本和尺寸。在本节中,将使用ADP2386EVAL评估板的环路测试和负载瞬态测试结果来验证模型仿真结果。
ADP2386EVAL的原理图如图9所示。为了进行测试,我们按照下面的表1第1行中显示的条件设置评估板。ADP2386的内部斜率补
偿跟占空比的简略关系是
,我们使用公式14来
获取简化的ASSM参数,如表1第2行所示。输出电容器的容值在在3.3 V电压下降低了大约30%,因此在简化的ASSM仿真中,输出电容值已经更改为100 μF,而不是评估板中的147 μF。
| VIN | VO | FS | IO | L | C | 补偿器 |
| 12 V | 3.3 V | 600 kHz | 3 A | 2.2 μH | 147 μF/5 Ω | 44.2 kΩ, 1.2 n, 4.7 p |
| RT | Se | Sn | Sf | Re | Ce | Gm |
| 123 mΩ | 0.2 V/μs | 0.49 V/μs | 0.18 V/μs | 2.51 Ω | 128 nF | 580 μS |

图9. ADP2386EVAL原理图。
图10显示了ADP2386EVAL环路简化ASSM仿真和实际测试结果。左侧是ADIsimPD/SIMetrix的仿真 — 交越频率为57 kHz,相位裕度为71°。右侧是AP Model 300的测试结果 — 交越频率为68.7 kHz,相位裕度为59.3°。虽然测试结果和模型仿真之间存在差异,但我们可以通过ADP2386的数据手册知道,它的误差放大器增益在380 μS至580 μS范围内变化,而且电感和输出电容也存在误差。因此,两个结果之间的差异是可接受的。

图10. ADP2386EVAL环路仿真和测试结果。
负载瞬态测试包括两项测试。测试1是在表1所示的补偿器条件下的测试,具有良好的相位裕度和较宽的交越频率。在测试 2中,补偿器更改为100 pF/1.2 nF/44.2 kΩ,交越频率下降至39 kHz, 相位裕度下降至36°。图11显示了负载瞬态(0.5 A至3 A,0.2 A/μs) 测试1仿真和测试结果。实际测试中过冲峰值为67 mV,仿真结果 为59 mV,瞬态曲线也匹配良好。图12显示了负载瞬态(0.5 A至 3 A,0.2 A/μs)测试2仿真和测试结果。测试2中过冲峰值为109 mV,仿真结果为86 mV,而且瞬态曲线也匹配良好。

图11. ADP2386EVAL负载瞬态测试1仿真和测试结果。

图12. ADP2386EVAL负载瞬态测试2仿真和测试结果。
结论
环路补偿通常被工程师视为一项非常具有挑战性的设计任务, 尤其是在快速负载瞬态应用中。基于广泛使用的峰值电流模 式连续电流降压器件,本文简单概括了平均小信号数学建模 和环路计算,以及更简单的ADISimPE/Simplis仿真。本文还介绍 了简化平均小信号模型,并提供处理环路补偿设计的简化方 法。ADP2386EVAL评估板环路和负载瞬态试验台测试结果证明了 简化模型及其仿真的精度。