AN-1344: 高共模电压电流环路发送器前端
简介
电流环路是一种常见的传递信号的技术,用于长距离发送和接收传感器数据。在电流环路中,电流包含来自发送器的信息,该发送器通过长导线连接到接收器(见图1)。该传输技术本身对电噪声不敏感,因此,它是数据传输的理想之选。与电压传递信号不同的是,电流环路不受线路中IR压降引发的错误影响。尽管环路中的线路端接存在缺陷,但所有信号电流均流经所有组件。只要电源电压高于环路周围的组合压降,IR压降不会影响信号电流。
本应用笔记重点介绍 AD8479,它是一款高精度差分放大器,可准确测量极高输入共模电压(CMV)(范围最高可达±600 V)下的差分信号(见图2)。AD8479可用作电流环路发送器的前端,从而使发送器能够在具有极高CMV的应用(如电机控制和高压电流感测)中工作。
电路传递函数
即便在极高CMV下,AD8479也可接收差分电压并通过固定增益1和公式1中给出的传输函数将其传递至输出端。

其中:
VO为图3中所示的AD8479输出。
VD为图3中所示的AD8479差分输入电压。
VREF为应用于+REF和–REF引脚的电压。
由于+REF和–REF引脚绑定在一起,因此,当输入中不存 在差分电压时,输出等于参考电压 (VREF) 。
输出传至 ADA4627-1, 后者充当AD8479和负载之间的接口。将输出连接至ADA4627-1,而不是直接连接至AD8479输出,这样有助于避免因负载变化引起的所需输出电流变化。ADA4627-1还可以强制AD8479参考引脚的电压,从而生成以下输出等式:

AD8479和ADA4627-1结合使用可以使电流环路发送器前端 电路测量极高CMV时的信号。
从等式2和图3所示值可以得出,

依据公式1可得:
VO = VD + VREF
其中, VREF = VOUT。
因此,

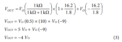
由图4的电阻分压器,可得到以下值:

在虚拟短路情况下,计算以下值:
–VIN = +VIN
+VIN = 0.5 VO
因此,

图5所示为携带信息的电流路径。由于放大器(ADA4627-1)具有高输出阻抗,因此,电流直接流经负载,总电路输出函数为

电流环路发送器精度
通过假设每个关键电阻对总误差贡献都相等来推算电阻容差导致的总误差。三个关键电阻为R1、R2和R3。1%的最差情况下的电阻容差可造成最大值3%的总电阻误差。如果假设和方根(RSS)误差,则总RSS误差为 1√3 = 1.732%。
| 误差元件 | 错误 | 误差值 | 未经补偿的总误差(%FSR) |
| AD8479 | 失调 | 3 mV | 0.03% |
| AD8479 | 增益 | 0.02% | 0.02% |
| 最大满量程误差 | 0.05% |
将有源元件失调导致的最差情况误差加上最差情况电阻容差误差3%,结果得到:
Full Scale Error = 3% + 0.05% = 3.05%
这些误差假定选用理想电阻,同时假定,这些误差来源于 其容差。图6所示为应用电路的实际误差性能。
对于最大未经补偿误差0.47% FSR,系统精度具有高可靠性。尽管电阻和AD8479会引起误差,但系统可以在不同CMV情况下维持良好的精度。借助此性能,将AD8479用作电流环路发送器前端后,仪表在96 V共模下仍能保持高精度(确保可在±600 V CMV下工作)。由于大部分误差是由无源器件引入的,因此,可以通过使用高精度、小容差电阻进一步提高系统性能。
图7所示为三种CMV下的发送器输出的性能。在0 V CMV时,增益误差为45.3 ppm且失调误差为0.0038 μA;在48 V CMV时,增益误差为45.4 ppm且失调误差为−0.2443 μA;在96 VCMV时,增益误差为 45.4 ppm且失调误差为−0.5262 μA。此性能参数表明提高CMV对发送器前端输出的影响可以忽略。该结果是因为AD8479允许在CMV高达±600 V时精确测量差分信号,同时也因为超低失调电压宽带宽精度的ADA4627-1。
此外,如测得的值所示,该应用电路在0 V和48 V CMV以及48 V和96 V CMV时均具有94 dB的极佳共模比(CMR)。
结论
对于长距离信号传输,电流环路传递信号比电压传递信号更可靠。信号包含在长距离传输的环路电流中,不受线路中压降(电压传递信号的主要问题)的影响。将信号作为电压传输时,电源电流将引起线路中的压降,而这往往体现为信号测量中的误差。另外,电流环路传递信号比电压传递信号具有更好的抗噪性。本应用笔记用AD8479来实现电流环路发送器前端。这可实现极高CMV信号下的精密测量。该电路解决了工业和电机应用(即工业过程监控应用)中精密测量的需求。经测试和验证,本应用电路可在CMV高达96 V(可在600 V CMV下工作)时实现精密测量,在宽输入电压和CMV范围内具有好的精度。本应用笔记中使用的ADI放大器具有高可靠性,可满足鲁棒和精密应用需求。






