TNJ-044:LTspiceでサレン・キー型フィルタ(第1回)「教科書で見る理解不能な伝達関数の式と実際の回路との関係はどうなるのか(前編)」
はじめに
前回のTNJ-043 まで、スミス・チャートに関する話題をご説明してきました。つづけてスミス・チャート活用方法を説明してみたいと思いましたが、とある日のとある方との、とあるメールのやりとりで、横道の興味が湧いてきました。それは以前から気になっていた「アクティブ・フィルタ」についてです。この技術ノートではそんな話題に突入します(笑)。「なんと行き当たりばったりな…」ではありますが…(笑)。
リニアテクノロジーとの統合により、私もLTspiceを使えるようになりました。ホントはもっと早い技術ノートでLTspice を使ってシミュレーションしたものをお見せしたかったのですが、結構技術ノートを溜め込んでおり(というより、定期的に発行される技術ノートであるため、早めに執筆してバッファを溜め込んでおく必要があったため)、ようやくこのTNJ-044 で始めてのお出ましとなったのでした(汗)。
「おぬし、統合する前でも、LTspice をこっそり使っていたのでは?」と穿った見方をされる方もいらっしゃるかとは思いますが、使ってしまうと、もうブレーキが利かなくなるぞ!と思い、統合までは一切使っていませんでした(ホントです…)。なお上記の「穿った」とは、その意味をまちがって理解されているケースが多く…、本来は「物事の本質を的確に捉えた見方をする」という意味でありますし[1]、その意図でございます…。
今回のネタはいったい何冊の技術ノートになるやら
これから続く、何冊かの技術ノートは、アクティブLow PassFilter(LPF)について考えてみますが、フィルタの考え方は「とても」奥が深いこと、一方でこのフィルタ理論/技術に関してはいろいろと興味をそそるものがあるので、書き始めた時点で、一体何冊の技術ノートになるか見当がつきません。といってもどこかで一旦切って「宴も酣/闌(たけなわ)でございますが」(「たけなわ」はこのように書くのですね…)、という感じで、別の話題に移る必要性は認識しておりますが…。
理解不能な伝達関数多項式と実回路の関係を把握したい
さて、その何冊続くか分からない…、なんという、先の見えない技術ノート・シリーズの出だしのゴールはふたつで、
- 昔に学校で習ったとか、教科書で見た、実回路とは到底結びつきそうにもない、「システム(回路)の伝達関数多項式」…私も長らく実回路との関係が理解不可能だった…、が「なるほど、多項式になるのだな」と理解いただける
- サレン・キー型フィルタのなりたちと、上記①との関係をどう考えるか(つまり任意の周波数特性をもつフィルタを実現する方法)が理解いただける
LTspice で学ぶ電子回路 第2版
本題に入る前にまたまたヨタ話が続いてしまいます…。某出版社から「LTspice で学ぶ電子回路 第2 版」というものを以前献本いただきました(図1)。「献本」だとすればどこの出版社かは判明しますよね…、図1 のとおりオーム社さんです。「まあ、アナデバ勤務ということで、LTspice を使うわけにはいかないし、とりあえず本棚へ…」という感じでずっとそのままにしてありました。それは統合の1 年ほど前だったかもしれません。
リニアテクノロジーと統合以降に、別のとある出版社の役員の方から電話がありました。電話の主は「渋谷さんが会いたいと言っている。会食したいのだが」と言います。その話題の主の「渋谷さん」とは、「LTspice で学ぶ電子回路 第2 版」の筆者の方だったのでした。お声がけいただいたこと、大変うれしく思い、即答で承諾させていただきました。
お会いしたときに、渋谷さんからご著書「LTspice で学ぶ電子回路」をサイン入りで、それも達筆な毛筆で「謹呈 石井 聡 様」といただきました。何も考えずに手ぶらで行ってしまった自らを恥じ、そのときはお礼とあわせてお詫びをいたしました(拙書は後送しました)。お食事はその引き合わせの出版社の方との3 人で、和食料理屋でとなりましたが、LTspice の開発者Mike Engelhardt(マイク・エンゲルハート)との交友のお話しなど、大変楽しいひとときでありました。

サレン・キー型フィルタとは
図2のような構成のアクティブ・フィルタを「サレン・キー型フィルタ」と呼びます(なお図はLPFの形状です)。図2はLTspiceで描いた回路図です。この回路の見た目はご存知の方も多いでしょう。OPアンプ1段の回路で「2次フィルタ」というものになります。この「2次」の意味は、次の技術ノートTNJ-045に持ち越して、「2次系の回路」として説明していきます。この回路はサレンキーさんが開発したものではなく(そういう私も、あるときまでそのように思っていましたが)、Sallen-Keyとあるように、R. P. SallenとE. L. Keyが1955年にMITリンカーン・ラボラトリで発明…、というか論文発表[2]しました。[3]によると、[4]の論文がそれにあたるようです。ちなみに[4]のI.R.E.(Institute of Radio Engineers)はIEEEの前身なのです…[5]。
サレン・キー型フィルタで𝑸を変えてシミュレーションしてみる
このサレン・キー型フィルタは大変よく使われる回路です。OPアンプのボルテージ・フォロワの代わりに、トランジスタのエミッタ・フォロワにすることもできます。出力も反転せずに得られますし、回路が簡便であるという特徴もあります。そういう私も多用してきました。


さて、この回路定数の決め方をみてみましょう。LPFとして設定したいカットオフ周波数を𝑓0とすると、その角周波数𝜔0は
![]()
となります。ふたつの抵抗を
![]()
として、等しい条件にすれば、コンデンサ𝐶1,𝐶2の値を

と決めることができます。ここで𝑄は回路の𝑄値(Quality Factor)というものです。
図3に、LTspice上で作成した図2の回路で、カットオフ周波数𝑓0 = 1Hz、𝑅 = 1kΩ、𝑄 = 4, 3, 2, 1, 1/√2, 0.5として、VOUTをACシミュレーションした結果(このLPFの伝達関数になります)を示します。𝑄 = 1/√2を超えると振幅にピークが生じることも分かります。
ここではLTspiceの.stepコマンドという、パラメータを変化させて複数回のシミュレーションを行える、便利な機能を用いてみました。
サレン・キー型LPFの 𝑸値をRLC型LPFから考える
𝑸値はLC共振回路の共振の鋭さ
この𝑄値というのは、LC共振回路の共振の鋭さを表すものです。LC共振回路に抵抗が接続されることで、抵抗の大きさが(直列共振回路に抵抗が直列接続されていたなら)大きくなると共振の鋭さが低下するというものです。数式としては以下で表すことができます。

ここで𝐿はインダクタンス、𝐶は容量、𝑅は抵抗値です。
RLC型2次LPFで𝑸を変えてシミュレーションしてみる
図4は、LC直列共振回路と抵抗で構成されたLPF(これも2次LPFといいます。ここでは抵抗が入っているので「RLC型」とします)のLTspiceのシミュレーション回路です。ここでは𝐿 = 0.159155H(= 1/2𝜋), 𝐶 = 0.159155Fで、共振周波数を1Hzにして、𝑄 値による共振の鋭さを、𝑅を変えながらシミュレーションした結果を図5に示します。図3と同じように、𝑄 = 4, 3, 2, 1, 1/√2, 0.5として、VOUTを測定しています。𝑄値による特性変化のようすは図3と全く同じだということが分かります。
つまり回路動作としては「2次サレン・キー型LPFと、RLC型2次LPFとは等価」になるわけです。
カットオフ周波数とは
ここまで「カットオフ周波数」というものを示しました。これを少し考えてみましょう。
RCで構成された1次LPFのカットオフ周波数は




となり、この周波数で振幅伝達特性が1/√2になります。しかし図4の2次LPFは、図5のように周波数1Hzでは振幅伝達特性は1/√2になっていません…。𝑄 値によって1Hzでの振幅伝達特性が変わっています。これではカットオフ周波数という定義を、振幅伝達特性として一意で決定できないことになります…。
この2次LPFのカットオフ周波数を、もう少し見方をかえてみます。図6のように入出力の位相特性であれば、1Hzでどれも同じ「90°」という状態になっていることが分かります。
しかし3次以上のLPFの「カットオフ周波数」の位相特性はややこしく、フィルタの構成(たとえばチェビシェフ特性など)により異なり、その周波数で位相が45°× N(Nはフィルタ次数)きざみにはなりません。バタワース特性のフィルタなら45°きざみです。理論検討では、別に「カットオフ周波数を1/√2(-3dB)にする」という決まりもないようで、どうやら「カットオフ周波数での減衰量はオレが決める」という感じのようで、注意が必要です。
RLC2次LPFの特性と𝑸値の関係を式で表してみる
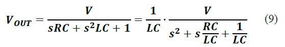
ここまでの説明で、サレン・キー型LPFとRLC型2次LPFは回路動作として「等価」になると説明しました。つまりサレン・キー型LPFであっても、理論的/原理的な解析は、RLC型2次LPFをモデルとして考えればよいのです。LTspiceのシミュレーションだけですと、いまひとつ信憑性に欠けるので、式でフィルタ動作の振る舞いを見ていきましょう。答えだけ示せばよいのですが、「理解不能な伝達関数多項式と実回路の関係を把握したい」という目的のため、基本的な解析方法の考え方も含めて、ずらずらと式を並べてみます「丁寧に説明しているのだな」と思ってください(汗)。
図4の回路に流れる電流は

ここで𝑠はラプラス演算子で、𝑠=𝑗2𝜋𝑓=𝑗𝜔と考えてください。「𝑗2𝜋𝑓と表すのが面倒なので、そのかわりに𝑠としている」、「𝑠なんて使っているが、数学の普通の記号𝑥と同じだ(ちょっとこれは乱暴ですが)」というくらいに、ざっくり考えていただいてかまいません。またR1の抵抗値を𝑅、L1のインダクタンス値を𝐿、C1の容量値を𝐶としています。
C1に生じる電圧𝑉𝑂𝑈𝑇は

この式を変形します。

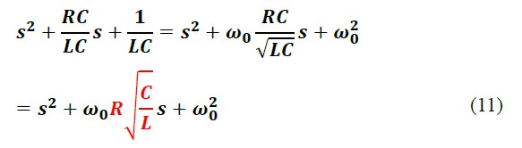
この回路の共振角周波数𝜔0は

ですから、式(9)の1/𝐿𝐶以外のところの分母は

となります。ここで𝑄 値の定義である式(5)から、上記の赤部がイコール1/𝑄となり、

として𝑄と𝜔0をもつ変数𝑠の関数になります。
ところでこれは「1/𝐿𝐶以外のところの分母」でした。式全体としては〔ここでも式(10)を使って〕

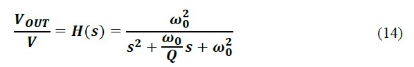
この式を入出力の比の特性である「伝達関数」にすると

このようにしてRLC型2次LPFの素子定数による伝達関数𝐻(𝑠)と、𝑄値そして𝜔0とを関連付けることができます。
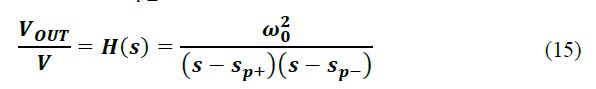
伝達関数の式を因数分解してみる
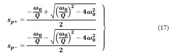
ここでこの式(14)の分母を因数分解してみます。因数分解するには、式(14)の分母をイコール・ゼロとしたときの解、つまり根を求め、根ごとに1次式(因数項)を構成して、それぞれを掛け算するという操作を行います。この式の分母は2次多項式(以降「分母多項式」と呼びます。2次方程式といったほうが分かり易いですね)なので、根はふたつになります(𝑠𝑝+と𝑠𝑝−とします)。とくにここでは、この根を𝑄>0.5の条件で詳しく考え、以降に示す共役複素数(共役根)𝑠𝑝+と𝑠𝑝−だとして取扱います。一括して𝑠𝑝±とも表していきます。そうすると、

として因数分解(式変形)できます。
この𝑠𝑝+と𝑠𝑝−は「極」と呼ばれます。「なぜ極と呼ばれるのか?」ですが、以降に示すように𝑠を複素変数とすると、𝑠が変化していき、この式、𝐻(𝑠)の分母がゼロになるときに、𝐻(𝑠)全体は無限大の大きさ(∞)になります。この「無限大になる」ところ、これが極です。英語ではpoleといいます。また数学的には「特異点」といいます。「極大点」とでも考えればよいでしょう。もともとは複素関数論から来ている考え方です。
このとき𝑠=𝑠𝑝±であり、この𝑠𝑝±が式(14)、式(15)の伝達関数𝐻(𝑠)の「極」となります。「極は𝐻(𝑠)が無限大になるときの変数𝑠の大きさ」とでも考えておけばよいでしょう。
「大きさ」といっても、𝑠𝑝±は多くの場合で(とくにこの技術ノートで考える、𝑄>0.5の条件では)複素数になります。
実際に因数分解してみる(極をもとめてみる)
それでは実際に𝑠𝑝±を求めてみましょう。中学校のときに習った解の公式を用いて、

この解、つまり根𝑠𝑝±(𝑠𝑝±と𝑠𝑝±のふたつの根)が、「極」です。
ここで𝑠𝑝±が実数になるのはルートの中が正ですから、𝑄≤0.5が条件となります。この𝑄値の領域では、得られるフィルタ特性はなだらかになります。そのためこの条件のときは、わざわざアクティブ・フィルタにすることもなく、また利用シーンも限定的です。
いっぽう𝑄>0.5だと、ルートの中がマイナスになりますので、ルートの項は「虚数」となります。そうすると𝑠𝑝±(𝑠𝑝+と𝑠𝑝−)は共役複素数となるふたつの根(極)になります。このときが多岐な特性のアクティブ・フィルタを実現できる条件になります。
次の節、そして以降の技術ノートTNJ-046で、𝑄>0.5での複数の条件のときの根、つまり極が複素数となるケースを細かく見ていき、極を複素数平面で表すとどうなるかを考えます。
分母の根つまり「極」が複素数のケースを考える
式(14)の分母の多項式の根𝑠𝑝±(𝑠𝑝+と𝑠𝑝−)、つまり「極」を、もう少し詳しく考えてみます。𝑄>0.5だと式(16)のルートの中がマイナスになりますので、ルートの部分は「虚数」、また極自体は共役複素数となります(上記に説明したとおりです)。この条件のことを検討してみましょう。
ふたつの極は共役複素数になる!
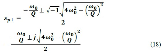
式(16)での解の公式から得られたとおり、式(14)の分母多項式の根(つまり「極」)は±のふたつがあり、

これらは𝑄>0.5だと共役複素数(共役根)になります。
実数部と虚数部を考える
ここでそれぞれの実数部と虚数部を考えます。実数部は以降の式(19)のとおり簡単です。いっぽう、ルートの項は虚数(𝑄>0.5の条件で)になりますが、「虚数部」(虚数としての大きさ)を得るためには、ルートの中の二項をひっくり返すことが必要です…。そうしないと虚数単位記号𝑗と、虚数部の「大きさ」を得ることができません。式で示すと、

となるわけです。𝑠𝑝+,𝑠𝑝−それぞれの実数部の大きさは

虚数部の大きさは、式(18)の𝑗の項から

となります。つまり、

この𝑠𝑝±の位置を複素数平面上(実際はラプラス平面上)に表してみると、図7のように表記することができます。この図では𝜔0=1として、𝑄=1の条件(𝑅𝑒=1/2,𝐼𝑚=√3/2)でプロットしてみました。この位置になるのですね…。

別に難しい計算をしているわけではない
ここまでの計算は、別に難しい計算をしているわけではありません。中学のときに習った解の公式と複素数さえ理解していれば、式の展開(ストーリー)を理解することができると思います。
ところで…
ところで虚数部については、「ルートの中の二項をひっくり返す…」ということがポイントなのでした。私としては「𝜔0=1のとき根の大きさ|𝑠𝑝|=1になるはず(|𝑠𝑝|=𝜔0という関係)」ということは理解していましたが、いざ式(17)を考えてみると、どうしても答えが合わず…。「ひっくり返す」ことに気がつかず、「なぜ合わないのだろうか?」と気がつくまでに半日を要してしまいました(笑)。以前執筆した書籍を見てみると、ちゃんとやっていましたね…(汗)。すっかり忘れています…。
この実数部の大きさと虚数部の大きさ、そして𝑄との関係については、次回の技術ノートTNJ-045であらためて取り上げてみます。
まとめ
ということで、今回の技術ノートでは「サレン・キー型LPFはRLC型2次LPFと等価」というお話しをいたしました。それぞれ共振の鋭さ𝑄というものをパラメータとして特性が決まってくることが分かりました。
また、伝達関数の分母多項式をイコール・ゼロとしたふたつの解、つまり根が「極」というものであり、この極が𝑄>0.5の条件のとき共役複素数になるとも説明しました。そして共役複素数を複素数平面上でどうなるかを簡単に見てきました。
またこの根を得るという行為は「式を因数分解していくこと」なわけです。
次回の技術ノートTNJ-045では、今回の理解を基礎として、いよいよ「理解不能な伝達関数多項式と実回路の関係を把握する」というお話をしてみたいと思います。
著者について
デジタル回路(FPGAやASIC)からアナログ、高周波回路まで多...