モータ・ドライブの電流ループにおける非理想的な効果、その影響をシステムのレベルで理解する
デジタル制御方式のモータ・ドライブは、相電流の値をフィードバックすることによって機能します。適切な動作を得るためには、相電流の値を高い精度で測定しなければなりません。実際、その測定精度はトルク・リップルやトルクのセトリング・タイムといったシステムのパラメータに直接影響を及ぼします。つまり、システムの性能と相電流の測定精度の間には強い相関があるということです。ただ、その相関をフィードバック・システムにおける明確な要件に変換するのは容易ではありません。本稿では、システム・レベルの観点から、モータの制御に最適なフィードバック系の設計方法について解説します。また、誤差が生じる原因を明確にした上で、その影響を低減する方法を明らかにします。
はじめに
モータ・ドライブやサーボ・モータでは、電流ループの性能が非常に重要です(図1)。なぜなら、その性能はモータからのトルク出力に直接影響を及ぼすからです。具体的には、滑らかな応答、正確な位置決め、速度プロファイルなどが左右されるということです。トルク出力の滑らかさについて言えば、トルク・リップルが重要な指標になります。特にプロファイリングや切断など、最終的に達成可能な精度にトルク・リップルが直接影響を及ぼすアプリケーションにおいて重要です。電流ループには、応答時間やセトリング・タイムといった動特性に関連するパラメータが存在します。それらは、利用可能な制御帯域幅が製造効率に直接影響を及ぼすオートメーションのアプリケーションにおいて非常に重要な意味を持ちます。それらのパラメータには、モータの設計や、ドライブ内の複数の要因からの直接的な影響が及びます。

図1. モータ・ドライブの電流ループ。フィードバック・パスには非理想的な要素が存在します。
モータ・ドライブにおいて、トルク・リップルは複数の原因によって生じます。例えば、ステータ巻線やスロットの配置はコギング・トルクの発生原因になります。また、ロータのEMF(起電力)の高調波など、モータ自体に起因してトルク・リップルが生じることも少なくありません1。それ以外に、相電流の値をフィードバックするシステムのオフセット誤差やゲイン誤差もトルク・リップルの発生原因になります(図1)2。
インバータのデッド・タイムもトルク・リップルに直接影響を及ぼします。その場合、ステータの電気的な周波数の高調波成分(主に5次、7次)3が、PWM(Pulse Width Modulation:パルス幅変調)の出力電圧に付加されます。そのため、高調波の周波数における電流ループの外乱除去性能に依存して電流ループに影響が及ぶことになります。
本稿では、相電流の値の測定に起因して生じるトルク・リップルに焦点を絞ります。まず、トルク・リップルに関連する各種の誤差について理論式をベースとした分析を実施します。その上で、それらの誤差の影響を最小限に抑えるための方法について詳しく説明します。
電流の測定誤差に起因するトルク・リップル
3相永久磁石モータの電磁トルクは以下の式によって表されます。

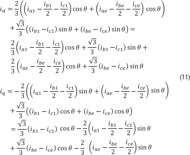
ここで、Teは電磁トルク、PPは極対数、λPMは永久磁石の磁束、LdとLqは同期回転座標系におけるステータのインダクタンス、idとiqは同期回転座標系におけるステータの電流です。理想条件における定常状態では、idとiqはDC量になります。その結果、生成されるトルクもDC量になります。それに対し、idまたはiqにAC成分が含まれているとトルク・リップルが発生します。idqと生成されるトルクの間には直接的な関係があります。そこで本稿では、様々な測定誤差がidとiqにどのような影響を及ぼすのかを分析することにします。その分析の基礎として、3相モータでフィードバックされる電流値については以下のように考えることにします。

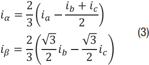
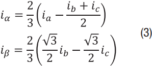
ここで、ixは相電流の測定値、ix1は真の相電流の値、ixeは測定誤差です(x = a, b, c)。本稿では、誤差の性質について仮定は設けません。つまり、測定誤差の要因としてはオフセット、ゲイン誤差、AC成分が存在し得ると想定します。ここでクラーク変換を使用すると、3相の電流は、次式のように、固定された2相の量iαとiβに投影されます。

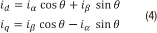
ここでパーク変換を使用すると、上記の電流は、次式のように、回転する2相の量idとiqに投影されます。

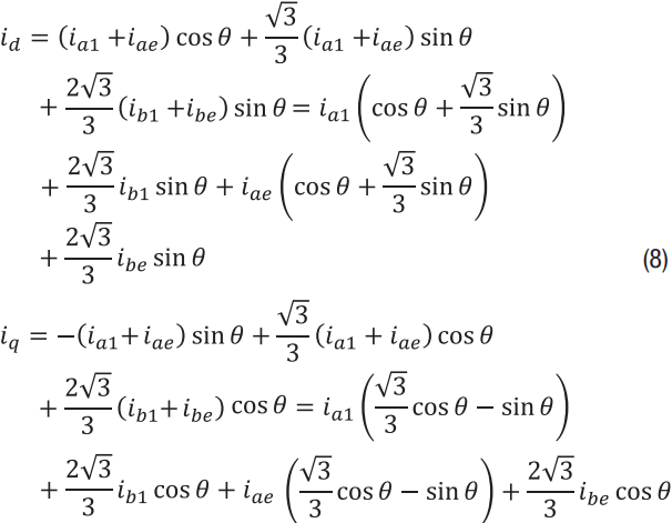
ここでθはロータの角度です。3相モータのフィールド指向制御(FOC:Field Oriented Control)では、3相すべての電流の値を把握しなければなりません。そのためによく使用されるのは、3つの電流すべてを測定する手法です。当然のことながら、そのためには3つのセンサーと3つのフィードバック・チャンネルが必要になります。もう1つ、よく使用される手法があります。それは、2つのチャンネルによって2つの電流だけを測定し、3つ目の電流は計算で求めるというものです。コストと複雑さの観点からは、センサーと測定チャンネルの数は少ない方が望ましいはずです。ただ、3つの電流すべてを測定すれば、測定誤差に対するシステムの堅牢性がはるかに高まります(詳細は後述)。
2相の電流だけを測定する
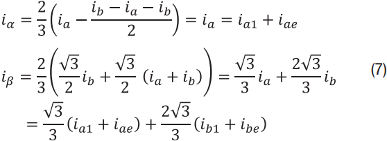
ここでは、3相ドライブにおいて2相の電流だけを測定するケースについて考えます。残る1相の電流は、3相の電流の和が0であるとの仮定に基づいて計算します。電流ia、ibを測定する場合、残るicは次式によって求められるということです。

式(2)と式(5)を使用すると、次式が得られます。

静止座標系における電流は以下のようになります。

回転座標系における電流は次式のようになります。

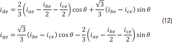
ここで、idとiqには、真の相電流に関連する項と測定誤差に関連する項が存在することに注意してください(idq = i dq1 + i dqe)。この分析においては誤差の項ideとiqeが最も重要です。それらは以下に示す式で表されます。

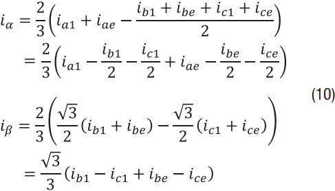
3相すべての電流を測定する
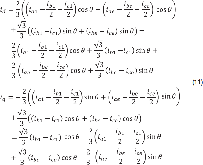
続いて、3相永久磁石モータの電磁ト続いて、3相すべての電流を測定する場合について考えてみましょう。2相の電流だけ測定する場合と同様の手順により、静止座標系における電流は以下のように導出されます。

回転座標系においては、以下のようになります。

これらの式についても、真の相電流idq1に関連する項と、測定誤差idqeに関連する項が存在することに注意する必要があります。誤差の項ideとiqeの式は以下のようになります。

サンプリングの適切なタイミング
ここで、図2Aをご覧ください。スイッチング動作をベースとするインバータから3相モータに電力が供給される場合、相電流は基本成分とスイッチング成分によって構成されます。

図2. スイッチング動作をベースとするインバータによって駆動される3相モータの相電流(A)。Bの拡大図は、サンプリングによって電流リップルが除去される様子を表しています。
ここでモータ・ドライブに必要な制御を実現するためには、相電流からスイッチング成分を除去しなければなりません。なぜなら、スイッチング成分は電流制御ループの性能に悪影響を及ぼすからです。一般に、スイッチング成分を除去するためには、PWM周期に同期する形で電流値をサンプリングして平均成分を抽出します。ここで、PWM周期が開始する時点と中央の時点において電流は平均値をとります。したがって、これらの瞬間に厳密に同期した状態でサンプリングを実行すれば、図2Bに示すようにスイッチング成分が効果的に除去されます。しかし、サンプリングのタイミングに誤差があるとエイリアシングが発生します。その結果、電流ループの性能が低下します。以下では、タイミング誤差の原因と、その誤差が電流ループに及ぼす影響について説明します。その上で、サンプリングのタイミング誤差に対してシステムの堅牢性を高める方法を紹介します。
サンプリングのタイミング誤差
通常、相電流における基本成分の周波数は数十Hzです。一方、電流ループの帯域幅としては数kHzが確保されます。そのため、わずかなタイミング誤差が発生しただけで制御性能に大きな影響が及ぶことはなさそうに感じられるかもしれません。しかし、di/dtを制限するのが相インダクタンスだけである場合、わずかなタイミング誤差が生じただけでも電流に大きな歪みが生じます。例えば、5mHのインダクタに対し、1マイクロ秒にわたって250Vの電圧が印加されると電流は50mAも変化します。また、システムにおいて、フルスケールの電流が10Aという条件で分解能が12ビットのA/Dコンバータ(ADC)を使用する場合、タイミング誤差によってADCの下位4.3ビットに相当する精度が失われます。ただ、数ビット分の精度が失われるというのは最良のシナリオにおいて現れる影響です。実際には、フィードバック・システムのゲイン誤差やエイリアシングによってトルク・リップルが生じる場合もあります。
では、不適切なタイミングでサンプリングが実行されるのはどのような場合でしょうか。最も一般的な原因としては以下のようなことが挙げられます。
- PWM の動作と ADC の動作のリンクが不十分。その場合、 適切なタイミングでサンプリングを実行することはできま せん。
- 同時にサンプリングを実施するための独立したサンプル&ホールド回路の数が不足している。測定する相数に応じて 同回路は2 つまたは3 つ必要です。
- ゲートを駆動する信号の伝搬遅延により、PWM のタイマーに対してモータの電圧の位相がずれている。
一般に、di/dtに影響を与える可能性がある要素によって、サンプリングのタイミング誤差による深刻度が決まります。もちろんタイミング誤差の大きさは重要ですが、モータの速度、負荷、モータのインピーダンス、DCバスの電圧といったシステムのパラメータも誤差に対して直接的な影響を及ぼします。
サンプリング誤差がシステムの性能に与える影響
ここまでに示した式を使用すれば、サンプリング誤差による影響の大きさを把握することができます。まず、2相の電流を測定する場合において、iaは理想的な瞬間にサンプリングされ(iae= 0)、ibは遅れてサンプリングされる(その結果、ibe≠0になる)と仮定します。その場合、式(9)で決まる誤差の項は次式のようになります。

一方、3相の電流を測定する場合において、iaとicは理想的な瞬間にサンプリングされ(iae = i ce = 0)、ibは遅れてサンプリングされる(ibe≠0)と仮定します。その場合、式(12)で決まる誤差の項は次式のようになります。

式(13)と式(14)から、いくつかの興味深い結論が得られます。まず、2相の電流を測定する場合と3相の電流を測定する場合を比較すると、以下のようになります。

つまり、フィードバック・システムで行われる電流測定のうち1つに遅延がある場合、2チャンネルを備えるドライブへの影響は、3チャンネルを備えるドライブへの影響の1.73倍になるということです。
式(13)と式(14)を使用すれば、測定時の遅延がモータのトルクに及ぼす影響を明確にすることも可能です。その分析において、相電流はモータの端子(V000またはV111)にOVが印加されている間にサンプリングされると仮定します。また、その期間中にdi/dtを駆動する電圧はBEMF(Back Electromotive Force)だけだと仮定します。BEMFが正弦波である場合、di/dtも正弦関数に追従します。つまり、BEMFがゼロ・クロスする際にdi/dt = 0となり、BEMFがピークに達した際にdi/dtは最大になります。ここで、理想的な瞬間に対して少し遅れて(遅延の値は固定)相電流がサンプリングされると仮定します。その場合、相電流の誤差は以下のような正弦関数になります。

上の式においてx = a, b, cであり、φはdq座標系に対する位相角を表します。例えば、式(13)のideについては以下の式が得られます。

ここでcos(-φ)の項はオフセットであり、cos(2θ - φ)は基本周波数の2倍で振動するAC成分です。電流dqにこれらの成分が含まれている場合、モータのトルクにもそれに依存する成分が生じます。ここでもう1つ注意すべきことがあります。それは、3相の電流を測定する場合、選択したdq座標の方向がφ = -πであるため、オフセットの項がゼロになるというものです。つまり、3つのチャンネルにゲイン誤差は生じません。2つのセンサーを使用するシステムと3つのセンサーを使用するシステムの違いを図3に示します。

図3. サンプリングのタイミング誤差の影響。電流センサーを3つ使用する場合(A、B)と、2つ使用する場合(C、D)の各電流値(ia,ib,ic と id, iq)をプロットしています。
図3A、図3Bから、3つのセンサーを使用する場合、ibを測定する際の遅延によって周波数が基本周波数の2倍の電流(トルク・リップル)が生じていることがわかります。この点には注意が必要です。また、idとiqのDC成分には影響が及んでいないことにも注目してください。
図3C、図3Dから、2つのセンサーを使用する場合、ibを測定する際の遅延によって3つのセンサーを使用する場合の1.73倍のAC成分が生じていることがわかります。これは注目すべきポイントです。それだけでなく、idとiqのDC成分にも影響が及んでいます。
サンプリングのタイミング誤差の影響を最小限に抑える方法
ADC製品の分解能は着々と高まっています。その動向に留意すると、制御ループの性能に関する要件が厳しくなるにつれ、サンプリングのタイミング誤差の影響を最小限に抑えることが望ましくなります。以前は、ADCの分解能としては10~12ビットが一般的でした。しかし、現在では16ビットの分解能が標準的になりつつあります。この分解能の向上を利用しない手はありません。タイミング誤差に起因して下位の数ビットに相当する精度が低下するとしたら、より分解能の高いADCを採用すべきです。
サンプリングのタイミング誤差に起因する影響を最小限に抑える最も効果的な方法は、すべての相において可能な限り理想的な瞬間に近いタイミングでサンプリングを実行することです。そのための方策としては、まずデジタル制御方式のスイッチング電源を構成するために最適なコントローラを選択します。また、ゲート駆動回路の伝搬遅延/スキューを最適化するのも効果的な対策になります。
それでもタイミング誤差の最小化についての要件を満たせない場合にはどうすればよいのでしょうか。その場合、3つの電流センサーと3つの独立したサンプル&ホールド回路を備えるADCを採用するとよいでしょう。そうすれば大幅な性能向上を達成できます。
オフセット誤差
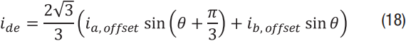
本稿で示した式を使用すれば、電流の測定結果に含まれるオフセットによってシステムがどのように反応するのかを説明することができます。まず、2つのセンサーを使用して2つの相電流を測定するケースを考えます。オフセットを考慮すると、例えば式(9)の誤差成分ideは次式のように表せます。

ここで、ia,offsetとib,offsetは、それぞれaチャンネルとbチャンネルに現れるオフセットです。これらにより、モータの基本周波数に対応する電流(およびトルク)にAC成分が現れます。システムを起動する際にオフセットのキャリブレーションを実施しているのにもかかわらずオフセットが生じていたとします。その場合、そのオフセットはドリフトによって生じたものだということになります。センサーにも同様のドリフトが現れると仮定すると、ia,offset = ib,offset = ioffsetという近似が成り立ちます(以下参照)。

つまり、誤差成分の振幅は位相のオフセットの振幅の2倍になるということです。誤差電流のq軸成分についても同様の結果が得られます。3相の電流を測定する場合について同じように考えを進めると、まず式(12)からi deは次式のようになります。

続いて、初期のオフセットがキャリブレーションされており、すべてのセンサーが等しくドリフトすると仮定します。すると、ia,offset =ib,offset = ic,offset = ioffsetが成り立ち、次式が得られます。

これを見れば、3つのセンサーを使用して3相の電流を測定する場合に得られるメリットは明白です。すなわち、電流センサーのオフセットはトルク・リップルに影響を与えません。センサーが全く同様にドリフトするわけではないとしても、同じ傾向を示す可能性が高いと言えます。つまり、3つのセンサーを使用する場合、オフセット誤差をキャリブレーションしていないシステムであってもトルク・リップルは必ず大幅に低減されるということです。
オフセット誤差の影響を最小限に抑える方法
電流をフィードバックするシステムのオフセットは、モータ・ドライブで生じるトルク・リップルの支配的な原因の1つです。したがって、オフセットは可能な限り小さく抑えなければなりません。一般に、電流をフィードバックするシステムでは2種類のオフセット誤差が生じます。1つは、どの時点、どの温度においても存在する静的なオフセットです。もう1つは、温度や時間などのパラメータに依存するオフセット・ドリフトです。一般に、静的なオフセットを最小限に抑えるためにはオフセットのキャリブレーションを実行します。このキャリブレーションは、製造時またはモータの電流が0のとき(通常はモータが停止しているとき)に実施できます。通常、この手法を適用すれば静的なオフセットは問題にはなりません。
一方、オフセット・ドリフトへの対処方法は複雑です。通常、このドリフトはモータの動作中にゆっくりと生じます。そのため、オンライン・キャリブレーションで補償するのは困難です。また、一般的には、モータを停止させることも選択肢にはなりません。オンライン・キャリブレーションについては、オブザーバをベースとする手法がいくつか提案されています4。ただ、オブザーバはモータの電気的/機械的システムのモデルに依存します。オンラインの推定を有効なものにするためには、モータのパラメータに関する正確な知識が必要ですが、この条件が満たされることは少ないでしょう。
先述したように、オフセット・ドリフトを最も効果的に低減するためには、3相の電流を測定する方法を導入すべきです。ここでは、各チャンネルが同じ種類の部品を使用していると仮定します。その場合、各チャンネルのドリフトは同程度になる可能性が高いでしょう。結果として、オフセットは相殺されることになり、トルク・リップルを抑えられます。各チャンネルが同じ速さでドリフトしていない場合でも、同じ方向にドリフトしている限りは、3つのチャンネルを使用することによってオフセットを相殺する効果が得られます。
2相の電流だけを測定する場合、各チャンネルのドリフトが同じ速さであってもトルク・リップルが生じます。言い換えると、2つのセンサーを使用するシステムは、オフセット・ドリフトに対して非常に敏感だということです。その場合、トルク・リップルを回避する唯一の方法は、ドリフトを確実に低く抑えるというものになります。しかし、それを実現しようとすると、フィードバック・システムのコストと複雑さが増大してしまうでしょう。性能に関する特定の要件に対しては、3チャンネルのフィードバック・システムこそが費用対効果の高いソリューションになる可能性があります。
ゲイン誤差
システムにおいて、フィードバックされる電流値にゲイン誤差が含まれている場合、誤差信号ixeは実際の相電流ix1(x = a, b,c)に比例します(以下参照)。

つまり、ixeは基本周波数に対応する正弦関数になります。式(22)を式(16)と見比べてみてください。すると、ゲインに起因する誤差の性質は、サンプリングのタイミングが不適切である場合に生じる誤差に似ていることがわかります。したがって、以下に示すような結論が導かれます。
- すべてのチャンネルに同じ大きさのゲイン誤差が生じている場合、トルク・リップルは発生せず、ゲイン誤差だけが発生している状態になります。このことは、2 チャンネルのシステムにも3 チャンネルのシステムにも当てはまります。
- 各チャンネルのゲイン誤差の大きさが異なる場合、基本周波数の2 倍の周波数にトルク・リップルの成分が生じます。
- 2 相の電流を測定する場合、3 相の電流を測定する場合よりもゲイン誤差に対して1.73 倍敏感になります。
実測による検証
最後に、ここまでに説明した内容を実測によって検証した結果を示します。具体的には、オフセット誤差とゲイン誤差が電流の測定値と出力トルクに与える影響を確認します。図4に示すのは、検証に使用した測定環境です。

図4. 検証に使用した測定環境
モータ・ドライブのボードには、電流値をフィードバックするための回路が実装されています。その回路では、モータの3つの相に対応する形でホール効果トランスジューサを使用しています。電流測定の対象を2相にするか3相にするのかは、ソフトウェアで選択できるようにしています。オフセットのキャリブレーションは、モータが停止しているときに実施します。そのため、通常の動作(ドリフトの影響が生じる時間がない)ではオフセットとゲイン誤差は非常に小さくなります。これらの誤差は、(キャリブレーション・ルーチンを実行しても)温度ドリフトによって現れるはずです。その影響を示すために、キャリブレーション・ルーチンの実行後に制御用ソフトウェアを使用して人為的にオフセットとゲイン誤差を適用します。制御アルゴリズムから見た測定値は、実際の電流値とは異なります。測定値には、先述した誤差の影響が含まれています。ここで図5をご覧ください。これは、基準速度として520rpmを設定した場合のiqとidの測定結果です。モータの電気的な周波数は35Hzとなります。

図5. iqとidの測定結果。赤色が実際の値、青色が測定値(上から下へ)。オフセット誤差が1%の場合とゲイン誤差が非対称な場合(1.05/0.95)の結果を示しています。
この例では、モータ・ドライブが設定された速度を維持できるようにするために、d軸とq軸の電流が比較的一定の値になるように制御しています。それでも、特にオフセット誤差が存在する場合、実際の電流には明らかに大きな高調波成分が含まれています。それらの高調波成分は、出力トルク・リップルに直接影響を及ぼします。これについては図6をご覧ください。図6に示したように、テスト用の装置に生じたわずかなシャフトの位置ずれにより、機械的なトルクの脈動が発生しています。この点には注意が必要です。それらは、機械的な周波数といくつかの低次高調波の周波数に現れています。ただ、オフセットとゲイン誤差の原因に関連する高調波成分の変動は依然として明確に確認できます。図6を見ると、電気的な周波数(35Hz)における高調波成分はオフセット誤差の大きさに比例して増大しています。一方、電気的な周波数の2倍の周波数に現れる高調波成分は、理論的に予測されたとおり、ゲイン誤差の非対称性に依存して増大しています。

図6. 2相の電流を測定する場合のトルク・リップルの測定値(公称値に対する比率)。オフセット誤差を変化させた場合(左)とゲイン誤差を変化させた場合(右)の結果を示しています。
続いて図7をご覧ください。この結果からは、3相の電流を測定することによる効果が明確に見てとれます。3相の電流を測定する場合、オフセット誤差に起因するトルク・リップルは完全に除去されます。また、ゲイン誤差によって生じたトルク・リップルは1/1.73に低減されています。これらの結果は、理論的な計算による結果に合致しています。

図7. 3相の電流を測定する場合のトルク・リップルの測定値(公称値に対する比率)。オフセット誤差を変化させた場合(左)とゲイン誤差を変化させた場合(右)の結果を示しています。
まとめ
本稿では、電流値をフィードバックするシステムにおける非理想的な効果が、システムの性能にどのような影響を及ぼすのかを明らかにしました。まず理論式をベースとした分析を行った上で、それを裏づける実測結果を示しました。3相の電流を測定するシステムでは、2相の電流だけを測定するシステムに比べて測定誤差に対する堅牢性が大幅に向上することをご理解いただけたはずです。
参考資料
1 Weizhe Qian、Sanjib K. Panda、Jian-Xin Xu「Torque Ripple Minimization in PM Synchronous Motors Using Iterative Learning Control(PM同期モータにおけるトルク・リップルの最小化、反復学習制御を活用する)」IEEE Transactions on Power Electronics(IEEEパワーエレクトロニクス論文誌)、 Vol. 19、No. 2、2004年
2 Dae-Woong Chung、Seung-Ki Sul、Dong-Choon Lee「Analysis and Compensation of Current Measurement Error in Vector Controlled AC Motor Drives(ベクトル制御方式のACモータ・ドライブにおける電流の測定誤差の分析と補償)」Industry Applications Conference、1996、Thirty-First IAS Annual Meeting、IAS 1996、Conference Record of the 1996 IEEE、Vol.1(IEEE産業応用会議1996(第31回IAS年次大会)会議録 第1巻)、1996年
3 Somyo Kaitwanidvilai、Werachet Khan-ngern、Montri Panarut「The Impact of Deadtime Effect on Unwanted Harmonics Conducted Emission of PWM Inverters(PWMインバータの不要な高調波による伝導エミッション、それに対するデッド・タイム効果の影響)」Environmental Electromagnetics, 2000. CEEM 2000. Proceedings. Asia-Pacific Conference on(2000年アジア太平洋環境電磁気学会議)、Shanghai(開催地:上海)、2000年
4 Yutaro Uenaka、Masaki Sazawa、Kiyoshi Ohishi「Fine Self-Tuning Method of Both Current Sensor Offset and Electrical Parameter Variations for SPM Motor(SPMモータにおける電流センサーのオフセットと電気的パラメータの変動を自動的に微調整する方法)」IECON 2010 - 36th Annual Conference on IEEE Industrial Electronics Society(IEEE産業エレクトロニクス学会 第36回年次大会)、2010年