要約
This application note presents three voltage-controlled oscillator (VCO) designs for popular IF frequencies of 130MHz, 165MHz, and 380MHz. These designs reduce the number of iterations required for optimized results. Analysis can be accomplished with a simple spreadsheet program.
Additional Information
- Wireless Product Line Page
- Quick View Data Sheet for the MAX2360/MAX2362/MAX2364
- Applications Technical Support
Introduction
This application note presents three voltage-controlled oscillator (VCO) designs for popular IF frequencies of 130MHz, 165MHz, and 380MHz. These designs reduce the number of iterations required for optimized results. Analysis can be accomplished with a simple spreadsheet program.
VCO Design
Figure 2 shows the differential tank circuit used for the MAX2360 IF VCO.For analysis purposes, the tank circuit must be reduced to an equivalent simplified model. Figure 1 depicts the basic VCO model. The frequency of oscillation can be characterized by EQN1:

fosc = frequency of oscillation
L = inductance of the coil in the tank circuit
Cint = internal capacitance of the MAX2360 tank port
Ct = total equivalent capacitance of the tank circuit

Figure 1. Basic VCO model.
Rn = equivalent negative resistance of the MAX2360 tank port
Cint = internal capacitance of the MAX2360 tank port
Ct = total equivalent capacitance of the tank circuit
L = inductance of the coil in the tank circuit

Figure 2. The MAX2360 tank circuit.
Inductor L resonates with the total equivalent capacitance of the tank and the internal capacitance of the oscillator (Ct + Cint) (see Figure 1). Ccoup provides DC block and couples the variable capacitance of the varactor diodes to the tank circuit. Ccent is used to center the tank's oscillationfrequency to a nominal value. It is not required but adds a degree of freedom by allowing you to fine-tune resonance between inductor values. Resistors (R) provide reverse-bias voltage to the varactor diodes via the tune voltage line (Vtune). Their value should be chosen large enough so as not to affect loaded tank Q but small enough so that 4kTBR noise is negligible. The resistors' noise voltage gets modulated by Kvco, producing phase noise. Capacitance CV is the variable tuning component in the tank. The capacitance of the varactor diode (CV) is a function of reverse-bias voltage (see Appendix A for the varactor model). Vtune is the tuning voltage from a phase-locked loop (PLL).
Figure 3 shows the lumped Cstray VCO model. Parasitic capacitance and inductance plague every RF circuit. In order to predict the frequency of oscillation, the parasitic elements must be taken into account. The circuit in Figure 3 lumps the parasitic elements in one capacitor called Cstray. The frequency of oscillation can be characterized by EQN2:

L = inductance of the coil in the tank circuit
Cint = internal capacitance of the MAX2360 tank port
Ccent = tank capacitor used to center oscillation frequency
Cstray = lumped stray capacitance
Ccoup = tank capacitor used to couple the varactor to the tank
CV = net variable capacitance of the varactor diode (including series inductance)
Cvp = varactor pad capacitance

Figure 3. Lumped Cstray model.
Figure 4 depicts the detailed VCO model. It takes into account the capacitance of the pads but does not include the effects of series inductance for simplicity. Cstray is defined as:

CL = capacitance of the inductor
CLP = capacitance of inductor pads
CDIFF = capacitance due to parallel traces

Figure 4. Detailed VCO model.
Rn = equivalent negative resistance of the MAX2360 tank port
Cint = internal capacitance of the MAX2360 tank port
LT = inductance of series trace to the inductor tank circuit
CDIFF = capacitance due to parallel traces
L = inductance of the coil in the tank circuit
CL = capacitance of the inductor
CLP = capacitance of inductor pads
Ccent = tank capacitor used to center oscillation frequency
Ccoup = tank capacitor used to couple the varactor to the tank
Cvar = variable capacitance of the varactor diode
Cvp = varactor pad capacitance
LS = series inductance of the varactor
R = resistance of varactor reverse-bias resistors
To simplify analysis, inductance LT is ignored in this design. The effects of LT are more pronounced at higher frequencies. To mathematically model the shift in frequency due to LT with the spreadsheets that follow, the value of CDIFF can be increased appropriately. Minimize inductance LT to prevent undesired series resonance. This can be accomplished by making the traces short.
Tuning Gain
Tuning gain (Kvco) must be minimized for best closed-loop phase noise. Resistors in the loop filter as well as the resistors "R" (Figure 2) will produce broadband noise. Broadband thermal noise (
) will modulate the VCO by Kvco, which is measured in MHz/V. There are two ways to minimize Kvco. One is to minimize the frequency range over which the VCO must tune. The second way is to maximize the tuning voltage available. To minimize the frequency range over which the VCO must tune, tight tolerance components must be used, as will be shown. To maximize tuning voltage, a charge pump with a large compliance range is needed. This is usually accomplished by using a larger Vcc. The compliance range for the MAX2360 is 0.5V to Vcc-0.5V. In battery-powered applications, the compliance range is usually fixed by the battery voltage or regulator.
Basic Concept for Trimless Design
VCO design manufacturability with real-world components will require an error budget analysis. In order to design a VCO to oscillate at a fixed frequency (fosc), the tolerance of components must be taken into consideration. Tuning gain (Kvco) must be designed into the VCO to account for these component tolerances. The tighter the component tolerance, the smaller the tuning gain and the lower the closed-loop phase noise. For the worst-case error budget design, we will look at three VCO models:
- Maximum-value components (EQN5)
- Nominal tank, all components perfect (EQN2)
- Minimum-value components (EQN4)
All three VCO models must cover the desired nominal frequency. Figure 5 shows how the three designs must converge to provide a manufacturable design solution. Observations of EQN1 and Figure 5 reveal that minimum-value components shift the oscillation frequency higher, and maximum-value components shift the oscillation frequency lower.

Figure 5. Worst-case and nominal-tank centering.
Minimum tuning range must be used in order to design a tank with the best closed-loop phase noise. Therefore, the nominal tank should be designed to cover the center frequency with overlap to take into account device tolerance. The worst-case high-tune tank and worst-case low-tune tank should tune just to the edge of the desired oscillation frequency. EQN2 can be modified by component tolerance to produce a worst-case high-tune tank EQN4 and worst-case low-tune tank EQN5.


TL = % tolerance of inductor (L)
TCINT = % tolerance of capacitor (CINT)
TCCENT = % tolerance of capacitor (CCENT)
TCCOUP = % tolerance of capacitor (CCOUP)
TCV = % tolerance of varactor capacitance (CV)
EQN4 and EQN5 assume that the strays do not have a tolerance.
General Design Procedure
Step 1
Estimate or measure pad capacitance and other strays. The stray capacitance on the MAX2360 Rev A EV Kit has been measured with a Boonton Model 72BD capacitance meter. CLP = 0.981pF, CVP = 0.78pF, CDIFF = 0.118pF.
Step 2
Determine the value for capacitance Cint. This can be found in the MAX2360/MAX2362/MAX2364 Data Sheet on page 5. The typical operating characteristic TANK 1/S11 vs. FREQUENCY shows the equivalent parallel RC values for several popular LO frequencies. Keep in mind that the LO frequency is twice the IF frequency.
Example:
For an IF frequency of 130MHz, the LO operates at 260MHz. From the 1/s11 chart, Rn = -1.66kΩ and Cint = 0.31pF.
Step 3
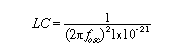
Choose an inductor. A good starting point is using the geometric mean. This is an iterative process.

This equation assumes L in (nH) and C in (pF) (1x10-9 x 1x10-12 = 1x10-21). L = 19.3nH for a fosc = 260.76MHz. This implies a total tank capacitance C = 19.3pF. An appropriate initial choice for an inductor would be 18nH Coilcraft 0603CS-18NXGBC 2% tolerance.
When choosing an inductor with finite step sizes, the following formula EQN6.1 is useful. The total product LC should be constant for a fixed oscillation frequency fosc.

LC = 372.5 for a fosc = 260.76MHz. The trial-and-error process with the spreadsheet in Table1 yielded an inductor value of 39nH 5% with a total tank capacitance of 9.48pF. The LC product for the tank in Figure 6 is 369.72, which is close enough to the desired LC product of 372.5. One can see this is a useful relationship to have on hand. For best phase noise, choose a high Q inductor like the Coilcraft 0603CS series. Alternatively, a microstrip inductor can be used if the tolerance and Q can be controlled reasonably.

Figure 6. 130.38MHz IF tank schematic.
Step 4
Determine the PLL compliance range. This is the range the VCO tuning voltage (Vtune) is designed to work over. For the MAX2360, the compliance range is 0.5V to VCC-0.5V. For a VCC = 2.7V, this would set the compliance range to 0.5 to 2.2V. The charge-pump output sets this limit. The voltage swing on the tank is 1VP-P centered at 1.6VDC. Even with large values for Ccoup, the varactor diodes are not forward-biased. This is a condition to be avoided, as the diode rectifies the AC signal on the tank pins, producing undesirable spurious response and loss of lock in a closed-loop PLL.
Step 5
Choose a varactor. Look for a varactor with good tolerance over your specified compliance range. Keep the series resistance small. For a figure of merit, check that the self-resonant frequency of the varactor is above the desired operating point. Look at the CV(2.5V)/CV(0.5V) ratio at your voltage compliance range. If the coupling capacitors Ccoup were chosen large, then the maximum tuning range can be calculated using EQN2. Smaller values of capacitor Ccoup reduce this effective frequency tuning range. When choosing a varactor, it should have a tolerance specified at your given compliance-range mid and end points. Select a hyperabrupt varactor such as the Alpha SMV1763-079 for the linear tuning range. Take the value for total tank capacitance, and use that for Cjo of the varactor. Remember that Ccoup reduces the net capacitance coupled to the tank.
Step 6
Pick a value for Ccoup. Large values of Ccoup increase the tuning range by coupling more of the varactor in the tank at the expense of decreasing tank loaded Q. Smaller values of Ccoup increase the effective Q of the coupled varactor and loaded Q of the tank at the expense of reducing the tuning range. Typically this value is chosen as small as possible, while still getting the desired tuning range. Another benefit of choosing a small value for Ccoup is that it reduces the voltage swing across the varactor diode. This helps thwart forward-biasing the varactor.
Step 7
Pick a value for Ccent, which is usually around 2pF or greater for tolerance purposes. Use Ccent to center up the VCO's frequency.
Step 8
Iterate with the spreadsheet.
MAX2360VCO Tank Designs for IF Frequencies of 130.38MHz, 165MHz, and 380MHz
The following spreadsheets show designs for several popular IF frequencies for the MAX2360. Keep in mind that the LO oscillates at twice the desired IF frequency.
| Light grey indicates calculated values |
| Darker grey indicates user input |
| MAX2360 Tank Design and Tuning Range for 130.38MHz IF Frequency | ||||
| Total Tank Capacitance vs. V tune | ||||
| V tune | Total C | Ct (Nominal) | Ct (Low) | Ct (High) |
| 0.5V | Ct high | 10.9296pF | 10.1242pF | 11.6870pF |
| 1.375V | Ct mid | 9.4815pF | 8.4068pF | 10.4077pF |
| 2.2V | Ct low | 8.0426pF | 6.9014pF | 9.0135pF |
| Tank Components | Tolerance | ||
| C coup | 18pF | 0.9pF | 5% |
| C cent | 2.7pF | 0.1pF | 4% |
| C stray | 0.69pF | ||
| L | 39nH | 5.00% | |
| C int | 0.31pF | 10.00% | |
| Parasitics and Pads (C stray) | ||
| Due to Q | C L | 0.08pF |
| Ind. pad | C Lp | 0.981pF |
| Due to || | C diff | 0.118pF |
| Var. pad | C vp | 0.78pF |
| Varactor Specs | |||
| Alpha SMV1255-003 | |||
| Cjo | 82pF | Varactor Tolerance | |
| Vj | 17V | 0.5V | 19.00% |
| M | 14 | 1.5V | 29.00% |
| Cp | 0pF | 2.5V | 35.00% |
| Rs | 1Ω | Reactance | |
| Ls | 1.7nH | X Ls | 2.79 |
| Freq | 260.76MHz | ||
| Nominal Varactor | X c | Net Cap | |
| Cv high | 54.64697pF | -11.16897 | 72.80216pF |
| Cv mid | 27.60043pF | -22.11379 | 31.57772pF |
| Cv low | 14.92387pF | -40.89758 | 16.01453pF |
| Negative Tol Varactor (Low Capacitance) | |||
| Cv high | 44.26404pF | -13.78885 | 55.46841pF |
| Cv mid | 19.59631pF | -31.14619 | 21.52083pF |
| Cv low | 9.700518pF | -62.91935 | 10.14983pF |
| Positive Tol Varactor (High Capacitance) | |||
| Cv high | 65.02989pF | -9.385688 | 92.47168pF |
| Cv mid | 35.60456pF | -17.14248 | 42.51182pF |
| Cv low | 20.14723pF | -30.2945 | 22.18712pF |
| Nominal LO (Nom) Range | Low Tol IF (High) Range | Nominal IF (Nom) Range | High Tol IF(Low) Range | |
| F low | 243.77MHz | 129.93MHz | 121.89MHz | 115.03MHz |
| F mid | 261.73MHz | 142.59MHz | 130.86MHz | 121.90MHz |
| F high | 284.18MHz | 157.37MHz | 142.09MHz | 130.98MHz |
| BW | 40.40MHz | 27.44MHz | 20.20MHz | 15.95MHz |
| % BW | 15.44% | 19.24% | 15.44% | 13.09% |
| Nominal IF Frequency | 130.38MHz |
| Design Constraints | |||
| Condition for bold number | <IF | =IF | >IF |
| Delta | 0.45 | -0.48 | 0.60 |
| Test | pass | pass | pass |
| Raise or lower cent freq by | -0.48 | MHz | |
| Inc or dec BW | -1.05 | MHz | |
| Cent adj for min BW | 130.46 | MHz | |
| K vco | 23.77MHz/V |

Figure 7. 165MHz IF tank schematic.
| Light grey indicates calculated values |
| Darker grey indicates user input |
| MAX2360 Tank Design and Tuning Range for 165MHz IF Frequency | ||||
| Total Tank Capacitance vs. V tune | ||||
| V tune | Total C | Ct (Nominal) | Ct (Low) | Ct (High) |
| 0.5V | Ct high | 10.0836pF | 9.2206pF | 10.8998pF |
| 1.375V | Ct mid | 8.5232pF | 7.3878pF | 9.5095pF |
| 2.2V | Ct low | 7.0001pF | 5.8130pF | 8.0193pF |
| Tank Components | Tolerance | ||
| C coup | 18pF | 0.9pF | 5% |
| C cent | 1.6pF | 0.1pF | 6% |
| C stray | 0.62pF | ||
| L | 27nH | 5.00% | |
| C int | 0.34pF | 10.00% | |
| Parasitics and Pads (C stray) | ||
| Due to Q | C L | 0.011pF |
| Ind. pad | C Lp | 0.981pF |
| Due to || | C diff | 0.118pF |
| Var. pad | 18C vppF | 0.78pF |
| Varactor Specs | |||
| Alpha SMV1255-003 | |||
| Cjo | 82pF | Varactor Tolerance | |
| Vj | 17V | 0.5V | 19.00% |
| M | 14 | 1.5V | 29.00% |
| Cp | 0pF | 2.5V | 35.00% |
| Rs | 1ohm | Reactance | |
| Ls | 1.7nH | X Ls | 3.52 |
| Freq | 330.00MHz | ||
| Nominal Varactor | X c | Net Cap | |
| Cv high | 54.646968pF | -8.8255163 | 90.986533pF |
| Cv mid | 27.600432pF | -17.473919 | 34.574946pF |
| Cv low | 14.923873pF | -32.316524 | 16.750953pF |
| Negative Tol Varactor (Low Capacitance) | |||
| Cv high | 44.264044pF | -10.895699 | 65.431921pF |
| Cv mid | 19.596307pF | -24.611153 | 22.872103pF |
| Cv low | 9.7005176pF | -49.717729 | 10.440741pF |
| Positive Tol Varactor (High Capacitance) | |||
| Cv high | 65.029892pF | -7.4164003 | 123.93257pF |
| Cv mid | 35.604558pF | -13.545673 | 48.128632pF |
| Cv low | 20.147229pF | -23.938166 | 23.626152pF |
| Nominal LO (Nom) Range | Low Tol IF (High) Range | Nominal IF (Nom) Range | High Tol IF (Low) Range | |
| F low | 305.02MHz | 163.63MHz | 152.51MHz | 143.15MHz |
| F mid | 331.77MHz | 182.81MHz | 165.88MHz | 153.26MHz |
| F high | 366.09MHz | 206.08MHz | 183.04MHz | 166.90MHz |
| BW | 61.07MHz | 42.45MHz | 30.53MHz | 23.74MHz |
| % BW | 18.41% | 23.22% | 18.41% | 15.49% |
| Nominal IF Frequency | 165MHz |
| Design Constraints | |||
| Condition for bold number | < IF | = IF | > IF |
| Delta | 1.37 | -0.88 | 1.90 |
| Test | pass | pass | pass |
| Raise or lower cent freq by | -0.88 | MHz | |
| Inc or dec BW | -3.26 | MHz | |
| Cent adj for min BW | 165.26 | MHz | |
| K vco | 35.92MHz/V |

Figure 8. 380MHz IF tank schematic.
| Light grey indicates calculated values |
| Darker grey indicates user input |
| MAX2360 Tank Design and Tuning Range for 380MHz IF Frequency | ||||
| Total Tank Capacitance vs. V tune | ||||
| V tune | Total C | Ct (Nominal) | Ct (Low) | Ct (High) |
| 0.5V | Ct high | 6.9389pF | 6.6119pF | 7.2679pF |
| 1.35V | Ct mid | 6.2439pF | 5.9440pF | 6.5449pF |
| 2.2V | Ct low | 5.7813pF | 5.5040pF | 6.0593pF |
| Tank Components | Tolerance | ||
| C coup | 15pF | 0.8pF | 5% |
| C cent | 2.4pF | 0.1pF | 4% |
| C stray | 1.42pF | ||
| L | 6.8nH | 2.00% | |
| C int | 0.43pF | 12310.00 | |
| Parasitics and Pads (C stray) | ||
| Due to Q | C L | 0.08pF |
| Ind. pad | C Lp | 0.981pF |
| Due to || | C diff | 0.85pF |
| Var. pad | C vp | 0.78pF |
| Varactor Specs | |||
| Alpha SMV1255-003 | |||
| Cjo | 8.2pF | Varactor Tolerance | |
| Vj | 15V | 0.5V | 7.50% |
| M | 9.5 | 1.5V | 9.50% |
| Cp | 0.67pF | 2.5V | 11.50% |
| Rs | 0.5Ω | Reactance | |
| Ls | 0.8nH | X Ls | 3.82 |
| Freq | 760.00MHz | ||
| Nominal Varactor | X c | Net Cap | |
| Cv high | 6.67523pF | -31.37186 | 7.600784pF |
| Cv mid | 4.286281pF | -48.8569 | 4.649858pF |
| Cv low | 2.904398pF | -72.10251 | 3.06689pF |
| Negative Tol Varactor (Low Capacitance) | |||
| Cv high | 6.174588pF | -33.91552 | 6.958364pF |
| Cv mid | 3.879084pF | -53.98553 | 4.174483pF |
| Cv low | 2.570392pF | -81.47176 | 2.696846pF |
| Positive Tol Varactor (High Capacitance) | |||
| Cv high | 7.175873pF | -29.18313 | 8.256705pF |
| Cv mid | 4.693477pF | -44.61818 | 5.132957pF |
| Cv low | 3.238404pF | -64.66593 | 3.441726pF |
| Nominal LO (Nom) Range | Low Tol IF (High) Range | Nominal IF (Nom) Range | High Tol IF (Low) Range | |
| F low | 732.69MHz | 379.11MHz | 366.35MHz | 354.43MHz |
| F mid | 772.40MHz | 399.84MHz | 386.20MHz | 373.50MHz |
| F high | 802.70MHz | 415.51MHz | 401.35MHz | 388.17MHz |
| BW | 70.00MHz | 36.41MHz | 35.00MHz | 33.74MHz |
| % BW | 9.06% | 9.11% | 9.06% | 9.03% |
| Nominal IF Frequency | 380MHz |
| Design Constraints | |||
| Condition for bold number | < IF | = IF | > IF |
| Delta | 0.89 | -6.20 | 8.17 |
| Test | pass | pass | pass |
| Raise or lower cent freq by | -6.20 | MHz | |
| Inc or dec BW | -9.07 | MHz | |
| Cent adj for min BW | 383.64 | MHz | |
| K vco | 41.18MHz/V |
Appendix A

Figure 9. Varactor model.
Alpha Application Note AN1004 has additional information on varactor models. Varactor capacitance is defined in EQN7.

| Alpha SMV1255-003 | Alpha SMV1763-079 |
| Cjo = 82 pF | Cjo = 8.2 pF |
| Vj =17 V | Vj =15 V |
| M = 14 | M = 9.5 |
| Cp = 0 | Cp = 0.67 |
| Rs = 1Ω | Rs = 0.5Ω |
| Ls = 1.7 nH | Ls = 0.8 nH |
The series inductance of the varactor is taken into account by backing out the inductive reactance and calculating a new effective capacitance CV.
