AN-1374: ADE7912/ADE7913 フロントエンド仕様

はじめに

このアプリケーション・ノートでは、ADE7912/ADE7913 に使用するΣ-Δ 変調器のデジタル・フィルタリングのいくつかの側面について説明します。これらのフィルタの役割は、高周波ノイズを除去し、同時に変調器出力をさまざまなレートにデシメートすることです。これらのレートは8 kHz ~ 1 kHz の範囲でマイクロコントローラの処理帯域幅に変更することができます。

デジタル・デシメーション・フィルタリング

機能の説明

ADE7912/ADE7913 に実装されているデシメーション・フィルタリングのブロック図を図1 に示します。デバイスがCLKIN =4.096 MHz でクロックされている場合、Σ-Δ 変調器は周波数1MHz のビットストリームを出力します。SINC4 フィルタは4 種類のデシメーション・レシオ(32、64、128、および256)を使用し、32 kHz、16 kHz、8 kHz、4 kHz の出力を提供します。帯域幅を有効な周波数に制限するとともに、データ・レートをできるだけ低い値に抑えるために、減衰率60 dB の追加のローパスフィルタ(LPF)を使用しています。これにより、後に続くRMS 計算や電力計算がより正確になり、メトロロジー計算のためにマイクロコントローラが確保しなければならない帯域幅が狭くなります。

図 1. ADE7912/ADE7913 に実装されているデシメーション・フィルタリングのブロック図
図 1. ADE7912/ADE7913 に実装されているデシメーション・フィルタリングのブロック図

この LPF はさらに1/4 のデシメーションを行うほか、それ自体柔軟性を備えており、2 種類の異なる帯域幅を実現します。LPFは2 つの分離した6 次フィルタとして実装されています。一方は狭い帯域用で、他方はより広い帯域用です。

ADE7912/ADE7913 では複数の出力データ・レート(ODRs)を使用できます。つまり、8 kHz、4 kHz、2 kHz、1 kHz を使用でき、さらにこれらの各レートに対して2 つの帯域幅を選択できます(表1 参照)。この選択可能なODR により、ユーザーは幅広いシナリオに対応して、マイクロコントローラに実装されるデータパスの中で独自のトレードオフを行うことができます。

表 1. さまざまなODR と帯域幅を得るためのCONFIG レジスタ設定 
CONFIG Register ODR (kHz) SINC4 + LPF Bandwidth (kHz)
Bits[5:4] (ADC_FREQ) Setting Bit 7 (BW) Setting
00 0 8 3.338
00 1 8 2.137
01 0 4 1.670
01 1 4 1.069
10 0 2 0.836
10 1 2 0.535
11 0 1 0.418
11 1 1 0.268

ODR と帯域幅の選択は、CONFIG レジスタのビット7(BW)とビット[5:4](ADC_FREQ)によって行います。ADE7912/ADE7913 をCLKIN = 4.096 MHz でクロックする際に必要な、BW とADC_FREQ のさまざまな設定を表 1 に示します。帯域幅は、ゲインが3 dB 減衰するポイントによって示されています。

SINC4 + LPF フィルタの周波数応答と時間遅延特性

さまざまなデシメーション・レシオ(DR)におけるSINC 4 のZ 領域の式を下に示します。

数式 1.

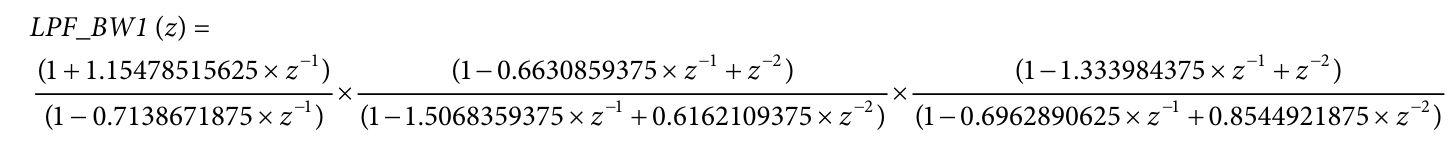
狭い方の帯域幅(BW、CONFIG レジスタのビット7 を1 にセット)に対応するLPF のZ 領域の式を下に示します。

数式 2.

ここで、LPF_BW1 は狭い方の帯域幅に対応するLPF です。

広い方の帯域幅(BW、CONFIG レジスタのビット7 を0 にクリア)に対応するLPF のZ 領域の式を下に示します。

数式 3.

ここで、LPF_BW2 は広い方の帯域幅に対応するLPF です。

さまざまなフィルタの振幅周波数応答と時間遅延

さまざまなフィルタによって信号パスに生じる振幅周波数応答と時間遅延に関する詳細な情報を、図2 ~図 25 と表2 ~表 32に示します。出力データ・レート(ODR)はADE7912/ADE7913 によってA/D コンバータ(ADC)のサンプルが与えられる出力周波数で、フィルタの帯域幅(BW)はゲインが3 dB に減衰するポイントです。すべてのODR とBW のケースについて、全周波数応答、つまり−3 dB ポイントまでの応答とフラットバンド応答(0 dB から−0.8 dB 減衰まで)が示されています。

位相遅延は、正弦波がフィルタを通過する際の位相伝搬遅延を決定します。また、すべてのODR とBWのケースのさまざまな周波数における位相遅延が表に示されています。

電圧信号も電流信号も同じ時間遅延で伝搬するため、電力計算の観点からは、これらの時間遅延は最終的な結果に影響しません。しかし、トランジェント・イベントやゼロ交差に同期したイベントの場合、時間遅延を知ると役立つことがあります。

周波数ポイントは、区間ごとに線形補間を行うことによって正確な中間値を得ることができるように選択されます。これらの周波数ポイントは、たとえば振幅補正が必要な場合に役立つことがあります。

ODR = 8 kHz、BW = 3.338 kHz

図 2. ODR = 8 kHz、BW = 3.338 kHz における全周波数応答
図 2. ODR = 8 kHz、BW = 3.338 kHz における全周波数応答
図 3. ODR = 8 kHz、BW = 3.338 kHz における3 dB ポイント応答
図 3. ODR = 8 kHz、BW = 3.338 kHz における3 dB ポイント応答
図 4. ODR = 8 kHz、BW = 3.338 kHz におけるフラットバンド応答
図 4. ODR = 8 kHz、BW = 3.338 kHz におけるフラットバンド応答
表 2. ODR = 8 kHz、BW = 3.338 kHz における各周波数のSINC4 + LPF ゲイン応答(周波数範囲= 50 Hz ~ 450 Hz)
Frequency (Hz)
50 100 150 200 250 300 350 400 450
Magnitude (milli_dB) 0 −0.32 −0.87 −1.66 −2.67 −3.93 −5.44 −7.21 −9.26
表 3. ODR = 8 kHz、BW = 3.338 kHz における各周波数のSINC4 + LPF ゲイン応答(周波数範囲= 500 Hz ~ 900 Hz) 
Frequency (Hz)
500 550 600 650 700 750 800 850 900
Magnitude (milli_dB) −11.6 −14.22 −17.15 −20.40 −23.97 −27.87 −32.11 −36.69 −41.61
表 4. ODR = 8 kHz、BW = 3.338 kHz における各周波数のSINC4 + LPF ゲイン応答(周波数範囲= 950 Hz ~ 1350 Hz) 
Frequency (Hz)
950 1000 1050 1100 1150 1200 1250 1300 1350
Magnitude (milli_dB) −46.86 −52.45 −58.37 −64.6 −71.13 −77.95 −85.05 −92.41 −100
表 5. ODR = 8 kHz、BW = 3.338 kHz における各周波数のSINC 4 + LPF ゲイン応答(周波数範囲= 1400 Hz ~ 2200 Hz) 
Frequency (Hz)
1400 1500 1600 1700 1800 1900 2000 2100 2200
Magnitude (dB) −0.108 −0.124 −0.141 −0.159 −0.177 −0.197 −0.218 −0.241 −0.265
表 6. ODR = 8 kHz、BW = 3.338 kHz における各周波数のSINC 4 + LPF ゲイン応答(周波数範囲= 2300 Hz ~ 3100 Hz)
Frequency (Hz)
2300 2400 2500 2600 2700 2800 2900 3000 3100
Magnitude (dB) −0.291 −0.318 −0.346 −0.374 −0.402 −0.434 −0.486 −0.6 −0.859
表 7. ODR = 8 kHz、BW = 3.338 kHz における各周波数のSINC 4 + LPF ゲイン応答(周波数範囲= 3200 Hz ~ 3500 Hz)
Frequency (Hz)
3200 3300 3338 3400 3500
Magnitude (dB) −1.414 −2.452 −3.0 −4.09 −6.27
表 8. ODR = 8 kHz、BW = 3.338 kHz における各周波数のSINC4 +LPF 位相遅延応答
Frequency (Hz)
50 500 750 1000 1500 2000 2500 3000 3300
Phase Delay (μs) 225 226 227 229 234 241 254 277 321

ODR = 8 kHz、BW = 2.137 kHz

図 5. ODR = 8 kHz、BW = 2.137 kHz における全周波数応答
図 5. ODR = 8 kHz、BW = 2.137 kHz における全周波数応答
図 6. ODR = 8 kHz、BW = 2.137 kHz における3 dB ポイント応答
図 6. ODR = 8 kHz、BW = 2.137 kHz における3 dB ポイント応答
図 7. ODR = 8 kHz、BW = 2.137 kHz におけるフラットバンド応答
図 7. ODR = 8 kHz、BW = 2.137 kHz におけるフラットバンド応答
表 9. ODR = 8 kHz、BW = 2.137 kHz における各周波数のSINC4 + LPF ゲイン応答(周波数範囲= 50 Hz ~ 450 Hz)
Frequency (Hz)
50 100 150 200 250 300 350 400 450
Magnitude (milli_dB) 0 −0.56 −1.5 −2.77 −4.34 −6.19 −8.25 −10.51 −12.91
表 10. ODR = 8 kHz、BW = 2.137 kHz における各周波数のSINC4 + LPF ゲイン応答(周波数範囲= 500 Hz ~ 900 Hz)
Frequency (Hz)
500 550 600 650 700 750 800 850 900
Magnitude (milli_dB) −15.44 −18.08 −20.82 −23.68 −26.70 −29.90 −33.36 −37.13 −41.29
表 11. ODR = 8 kHz、BW = 2.137 kHz における各周波数のSINC 4 + LPF ゲイン応答(周波数範囲= 950 Hz ~ 1400 Hz)
Frequency (Hz)
950 1000 1050 1100 1150 1200 1250 1300 1400
Magnitude (milli_dB) −45.90 −51.01 −56.64 −62.8 −69.41 −76.40 −83.64 −90.96 −105
表 12. ODR = 8 kHz、BW = 2.137 kHz における各周波数のSINC 4 + LPF ゲイン応答(周波数範囲= 1500 Hz ~ 2200 Hz)
Frequency (Hz)
1500 1600 1700 1800 1900 2000 2100 2137 2200
Magnitude (dB) −0.119 −0.140 −0.188 −0.314 −0.621 −1.274 −2.243 −3.01 −4.167
表 13. ODR = 8 kHz、BW = 2.137 kHz における各周波数のSINC4 +LPF 位相遅延応答
Frequency (Hz)
50 500 750 1000 1500 1750 2000 2100
Phase Delay (μs) 294 296 299 304 322 338 365 377

ODR = 4 kHz、BW = 1.67 kHz

図 8. ODR = 4 kHz、BW = 1.67 kHz における全周波数応答
図 8. ODR = 4 kHz、BW = 1.67 kHz における全周波数応答
図 9. ODR = 4 kHz、BW = 1.67 kHz における3 dB ポイント応答
図 9. ODR = 4 kHz、BW = 1.67 kHz における3 dB ポイント応答
図 10. ODR = 4 kHz、BW = 1.67 kHz におけるフラットバンド応答
図 10. ODR = 4 kHz、BW = 1.67 kHz におけるフラットバンド応答
表 14. ODR = 4 kHz、BW = 1.67 kHz における各周波数のSINC4 + LPF ゲイン応答(周波数範囲= 50 Hz ~ 450 Hz)
Frequency (Hz)
50 100 150 200 250 300 350 400 450
Magnitude (milli_dB) 0 −1.323 −3.589 −6.865 −11.234 −16.784 −23.596 −31.732 −41.222
表 15. ODR = 4 kHz、BW = 1.67 kHz における各周波数のSINC4 + LPF ゲイン応答(周波数範囲= 500 Hz ~ 900 Hz)
Frequency (Hz)
500 550 600 650 700 750 800 850 900
Magnitude (milli_dB) −52.06 −64.199 −77.554 −92.011 −107.44 −123.73 −140.81 −158.66 −177.37
表 16. ODR = 4 kHz、BW = 1.67 kHz における各周波数のSINC4 + LPF ゲイン応答(周波数範囲= 950 Hz ~ 1350 Hz)
Frequency (Hz)
950 1000 1050 1100 1150 1200 1250 1300 1350
Magnitude (dB) −0.197 −0.218 −0.240 −0.265 −0.291 −0.318 −0.346 −0.373 −0.401
表 17. ODR = 4 kHz、BW = 1.67 kHz における各周波数のSINC 4 + LPF ゲイン応答(周波数範囲= 1400 Hz ~ 1900 Hz)
Frequency (Hz)
1400 1450 1500 1550 1600 1670 1700 1800 1900
Magnitude (dB) −0.433 −0.486 −0.598 −0.856 −1.407 −3.01 −4.071 −8.807 −14.39
表 18. ODR = 4 kHz、BW = 1.67 kHz における各周波数のSINC4 +LPF 位相遅延応答
Frequency (Hz)
50 250 500 750 1000 1250 1500 1650
Phase Delay (μs) 450 452 458 467 483 508 555 608

ODR = 4 kHz、BW = 1.069 kHz

図 11. ODR = 4 kHz、BW = 1.069 kHz における全周波数応答
図 11. ODR = 4 kHz、BW = 1.069 kHz における全周波数応答
図 12. ODR = 4 kHz、BW = 1.069 kHz における3 dB ポイント応答
図 12. ODR = 4 kHz、BW = 1.069 kHz における3 dB ポイント応答
図 13. ODR = 4 kHz、BW = 1.069 kHz におけるフラットバンド応答
図 13. ODR = 4 kHz、BW = 1.069 kHz におけるフラットバンド応答
表 19. ODR = 4 kHz、BW = 1.069 kHz における各周波数のSINC4 + LPF ゲイン応答(周波数範囲= 50 Hz ~ 450 Hz)
Frequency (Hz)
50 100 150 200 250 300 350 400 450
Magnitude (milli_dB) 0 −2.19 −5.60 −9.92 −14.85 −20.23 −26.10 −32.76 −40.68
表 20. ODR = 4 kHz、BW = 1.069 kHz における各周波数のSINC4 + LPF ゲイン応答(周波数範囲= 500 Hz ~ 900 Hz)
Frequency (Hz)
500 550 600 650 700 750 800 850 900
Magnitude (milli_dB) −50.39 −62.16 −75.77 −90.33 −104.7 −119.2 −139.8 −186.9 −311.5
表 21. ODR = 4 kHz、BW = 1.069 kHz における各周波数のSINC 4 + LPF ゲイン応答(周波数範囲= 950 Hz ~ 1300 Hz)
Frequency (Hz)
950 1000 1050 1069 1100 1150 1200 1250 1300
Magnitude (dB) −0.617 −1.265 −2.423 −3.015 −4.147 −6.326 −8.776 −11.343 −13.936
表 22. ODR = 4 kHz、BW = 1.069 kHz における各周波数のSINC4 +LPF 位相遅延応答
Frequency (Hz)
50 250 500 750 1000 1250
Phase Delay (μs) 588 593 609 643 730 795

ODR = 2 kHz、BW = 0.836 kHz

図 14. ODR = 2 kHz、BW = 0.836 kHz における全周波数応答
図 14. ODR = 2 kHz、BW = 0.836 kHz における全周波数応答
図 15. ODR = 2 kHz、BW = 0.836 kHz における3 dB ポイント応答
図 15. ODR = 2 kHz、BW = 0.836 kHz における3 dB ポイント応答
図 16. ODR = 2 kHz、BW = 0.836 kHz におけるフラットバンド応答
図 16. ODR = 2 kHz、BW = 0.836 kHz におけるフラットバンド応答
表 23. ODR = 2 kHz、BW = 0.836 kHz における各周波数のSINC4 + LPF ゲイン応答(周波数範囲= 50 Hz ~ 450 Hz)
Frequency (Hz)
50 100 150 200 250 300 350 400 450
Magnitude (milli_dB) 0 −5.5 −15.37 −30.27 −50.55 −76 −106 −139 −176
表 24. ODR = 2 kHz、BW = 0.836 kHz における各周波数のSINC 4 + LPF ゲイン応答(周波数範囲= 500 Hz ~ 1000 Hz)
Frequency (Hz)
500 550 600 650 700 750 800 836 850 900 950 1000
Magnitude (dB) −0.216 −0.263 −0.316 −0.372 −0.431 −0.594 −1.39 −3.05 −4.03 −8.75 −14.33 −20.0
表 25. ODR = 2 kHz、BW = 0.836 kHz における各周波数のSINC4 +LPF 位相遅延応答
Frequency (Hz)
50 125 250 350 400 500 750 830
Phase Delay (μs) 901 904 915 930 939 965 1109 1223

ODR = 2 kHz、BW = 0.535 kHz

図 17. ODR = 2 kHz、BW = 0.535 kHz における全周波数応答
図 17. ODR = 2 kHz、BW = 0.535 kHz における全周波数応答
図 18. ODR = 2 kHz、BW = 0.535 kHz における3 dB ポイント応答
図 18. ODR = 2 kHz、BW = 0.535 kHz における3 dB ポイント応答
図 19. ODR = 2 kHz、BW = 0.535 kHz におけるフラットバンド応答
図 19. ODR = 2 kHz、BW = 0.535 kHz におけるフラットバンド応答
表 26. ODR = 2 kHz、BW = 0.535 kHz における各周波数のSINC4 + LPF ゲイン応答(周波数範囲= 50 Hz ~ 450 Hz)
Frequency (Hz)
50 100 150 200 250 300 350 400 450
Magnitude (milli_dB) 0 −7.69 −17.99 −30.48 −48.05 −73.36 −102.34 −137.17 −305.62
表 27. ODR = 2 kHz、BW = 0.535 kHz における各周波数のSINC4 + LPF ゲイン応答(周波数範囲= 500 Hz ~ 750 Hz)
Frequency (Hz)
500 535 550 600 650 700 750
Magnitude (dB) −1.24 −3.01 −4.10 −8.72 −13.88 −19.01 −24.03
表 28. ODR = 2 kHz、BW = 0.535 kHz における各周波数のSINC4 +LPF 位相遅延応答 
Frequency (Hz)
50 125 250 350 400 500 535
Phase Delay (μs) 1177 1185 1217 1268 1309 1459 1525

ODR = 1 kHz、BW = 0.418 kHz

図 20. ODR = 1 kHz、BW = 0.418 kHz における全周波数応答
図 20. ODR = 1 kHz、BW = 0.418 kHz における全周波数応答
図 21. ODR = 1 kHz、BW = 0.418 kHz における3 dB ポイント応答
図 21. ODR = 1 kHz、BW = 0.418 kHz における3 dB ポイント応答
図 22. ODR = 1 kHz、BW = 0.418 kHz におけるフラットバンド応答
図 22. ODR = 1 kHz、BW = 0.418 kHz におけるフラットバンド応答
表 29. ODR = 1 kHz、BW = 0.418 kHz における各周波数のSINC4 + LPF ゲイン応答(周波数範囲= 50 Hz ~ 600 Hz)
Frequency (Hz)
50 100 150 200 250 300 350 400 418 450 500 550 600
Magnitude (dB) 0 −0.024 −0.070 −0.133 −0.210 −0.310 −0.424 −1.355 −2.98 −8.64 −19.95 −31.74 −45.78
表 30. ODR = 1 kHz、BW = 0.418 kHz における各周波数のSINC4 +LPF 位相遅延応答 
Frequency (Hz)
50 100 150 200 250 300 350 400
Phase Delay (μs) 1806 1820 1843 1879 1930 2005 2122 2349

ODR = 1 kHz、BW = 0.268 kHz

図 23. ODR = 1 kHz、BW = 0.268 kHz における全周波数応答
図 23. ODR = 1 kHz、BW = 0.268 kHz における全周波数応答
図 24. ODR = 1 kHz、BW = 0.268 kHz における3 dB ポイント応答
図 24. ODR = 1 kHz、BW = 0.268 kHz における3 dB ポイント応答
図 25. ODR = 1 kHz、BW = 0.268 kHz におけるフラットバンド応答
図 25. ODR = 1 kHz、BW = 0.268 kHz におけるフラットバンド応答
表 31. ODR = 1 kHz、BW = 0.268 kHz における各周波数のSINC4 + LPF ゲイン応答(周波数範囲= 50 Hz ~ 400 Hz)
Frequency (Hz)
50 100 150 200 250 268 300 350 400
Magnitude (dB) 0 −0.022 −0.065 −0.128 −1.20 −3.0 −8.615 −18.9 −28.91
表 32. ODR = 1 kHz、BW = 0.268 kHz における各周波数のSINC4 +LPF 位相遅延応答 
Frequency (Hz)
50 100 150 200 250
Phase Delay (μs) 2363 2402 2477 2615 2913

著者

Generic_Author_image

Gabriel Antonesei