AN-1344: 電流ループ・トランスミッタのフロント・エンドによる高いコモンモード電圧での信号の測定
はじめに
電流ループは、センサーのデータを長距離にわたって送受信するための一般的なシグナリング技術です。電流ループでは、トランスミッタからの情報が電流に含まれていて、非常に長いワイヤを通じてレシーバに中継されます(図1 を参照)。この伝送技術は、電気的ノイズに対して潜在的に感度がおさえられているので、データ伝送に最適な技術です。電圧での伝送とは異なり、電流ループはワイヤでの抵抗成分の誤差に強くなります。実際は、ループ内のワイヤ終端処理は理想的ではありませんので、すべての電流信号がすべての部品に流れてしまいます。しかしながら、供給電圧がループ全体の電圧降下よりも大きい限り、ワイヤでの抵抗成分によるドロップは電流信号に影響を与えません。
このアプリケーション・ノートでは、最大±600 V の非常に高い入力コモンモード電圧(CMV)においても、差動信号を正確に測定できる高精度差動アンプAD8479 について説明します(図2 を参照)。AD8479 は電流ループ・トランスミッタのフロント・エンドとして機能し、モーター・コントロールや高電圧の電流検出など、CMV の非常に高いアプリケーションでトランスミッタを動作させることができます。
回路の伝達関数
CMV が非常に高くてもAD8479 は差動電圧を受け入れて、固定ゲイン1 と式1 の伝達関数で出力を通して渡します。

ここで
VO は図3 に示す AD8479 の出力。
VD は図3 に示す AD8479 差動入力電圧。
VREF は +REF ピンと–REF ピンに印加される電圧。
+REF ピンと–REF ピンは接続されているため、入力に差動電圧が存在しない場合、出力はリファレンス電圧(VREF)と等しくなります。
出力は、AD8479 と負荷の間のインターフェースとして機能するADA4627-1 に流れます。出力をADA4627-1 に接続することで(AD8479 の出力に直接接続するのではなく)、負荷の変化の影響を大きく受ける出力電流の変動を回避できます。ADA4627-1 は、AD8479 のリファレンス・ピンの電圧も印加するので、出力の式は以下のようになります。

AD8479 と ADA4627-1 を組み合わせることで、電流ループ・トランスミッタのフロント・エンド回路は非常に高いCMV で信号を測定できるようになります。
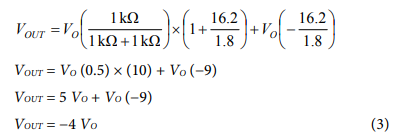
式 2 と図3 に示す値から、以下の結果を導くことができます。

式 1 から、以下の関係が真になります。
VO = VD + VREF
ここで VREF = VOUT。
このため、以下のようになります。

分圧器の定理を使用して、以下のように計算します。

仮想短絡であるため、以下のように計算します。
–VIN = +VIN
+VIN = 0.5 VO
このため、以下のようになります。

図 5 に、情報が流れる電流経路を示します。アンプ(ADA4627-1)の入力インピーダンスが高いため、電流は直接負荷に流れ、回路全体の伝達関数は以下のようになります。

電流ループ・トランスミッタの精度
重要な各抵抗が合計誤差に均等に作用すると想定して、抵抗許容誤差による合計誤差の近似値を求めます。3 つの重要な抵抗はR1、R2、R3 です。最悪の許容誤差が1 % に達する抵抗を使用する場合、合計抵抗誤差は最大3 % になります。二乗和平方根(RSS)誤差を想定した場合、合計RSS 誤差は1√3 = 1.732 %になります。
| Error Component | Error | Error Value | Total Uncompensated Error (%FSR) |
| AD8479 | Offset | 3mV | 0.03% |
| AD8479 | Gain | 0.02% | 0.02% |
| Maximum Full-Scale Error | 0.05% |
最悪の抵抗許容誤差3 % を、能動部品のオフセットによる最悪の誤差に追加すると、以下のようになります。
フル・スケール誤差= 3 % + 0.05 % = 3.05 %
これらの誤差は、理想的な抵抗を選択し、それらの抵抗の許容誤差から得られたものであると想定しています。図6 に、アプリケーション回路の実際の誤差性能を示します。
最大未補償誤差0.47% FSR で、システムは精度に関して非常に信頼性の高い性能を示します。抵抗とAD8479 による誤差にもかかわらず、システムはさまざまなCMV 値で優れた精度を維持できます。この性能により、AD8479 を電流ループ・トランスミッタのフロント・エンドとして使用することで、最大96V でも(最大±600V CMV での動作を確保)高精度の計測が可能になります。誤差の大半は受動部品に起因するため、許容誤差が極めて厳格な、高精度の抵抗を使用することでシステム性能をさらに向上させることができます。
図 7 に、3 つのCMV でのトランスミッタの出力性能を示します。0V CMV では0.0038μA のオフセットで45.3ppm のゲイン誤差、48V CMVでは−0.2443μA のオフセットで45.4ppm のゲイン誤差、96V CMV では−0.5262μA のオフセットで45.4ppmのゲイン誤差が存在します。この性能特性は、CMV を増やしてもトランスミッタのフロント・エンドの出力に対する影響はほとんどないことを示しています。この結果は、オフセット電圧が極めて低い広帯域幅の高精度アンプADA4627-1 により、AD8479 が最大±600V のCMV においても差動信号を正確に測定できることによるものです。
また、このアプリケーション回路のコモンモード比(CMR)は、0V と48V CMV、48V と96V CMV で測定した結果、両方とも94dB という優れた値でした。
結論
長距離にわたって信号を伝送する場合、電圧での伝送と比べて、電流ループでの伝送は信頼性に優れています。信号は長距離にわたって伝送されるループ電流に含まれ、電圧での伝送における主な問題であるワイヤでの電圧降下の影響がほぼなくなります。信号を電圧として伝送する場合、電源電流が原因となり、ワイヤで電圧降下が発生します。この値は通常、信号測定で誤差として現れます。さらに、電流ループでの伝送のほうが電圧での伝送よりも耐ノイズ性に優れています。このアプリケーション・ノートでは、電流ループ・トランスミッタのフロント・エンドとしてのAD8479 の実装について説明しました。この実装により、非常に高いCMV 信号において高精度の計測が可能になります。この回路は、産業用アプリケーションやモーター・アプリケーションなど、産業用プロセス監視アプリケーションの高精度測定のニーズに対応できます。テストで検証されたとおり、このアプリケーション回路は、最大96V のCMV(最大600V CMV で動作)でも高精度の計測を可能にし、幅広い入力電圧とCMV の範囲において、その精度を確保します。このアプリケーション・ノートで使用したアナログ・デバイセズ製のアンプ・デバイスは、堅牢かつ高精度なアプリケーションのニーズに応えることができる、高い信頼性を備えています。






